首页 | 客服 | 上传赚现
AI助手
德优题库AI助手

AI助手

搜题▪组卷

(1)

服务热线

400-816-0029

    自建题库,共享分红

德优题库QQ交流群

233391. (2022•西工大附中•高三上一月) 已知函数:
(1)当x>0时,求函数中y的最小值,并求此时x的取值;
(2)求直线与上述函数的交点的中点坐标.
共享时间:2022-10-18 难度:1
[考点]
基本不等式及其应用,
[答案]
(1)
(2)
[解析]
解:(1)当x>0时,
当且仅当时等号成立,
故函数中y的最小值为,此时
(2)联立可得
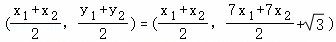
设函数与直线的两个交点坐标为Ax1y1),Bx2y2),
则线段AB中点坐标为
由韦达定理可得,代入中点坐标可得线段AB中点坐标为
[点评]
本题考查了"基本不等式及其应用,",属于"基础题",熟悉题型是解题的关键。
转载声明:
本题解析属于发布者收集录入,如涉及版权请向平台申诉! !版权申诉
166411. (2024•远东二中•高一上一月) 德优题库如图所示,用总长为定值l的篱笆围成长方形的场地,以墙为一边,并用平行于一边的篱笆隔开.
(1)设场地面积为y,垂直于墙的边长为x,试用解析式将y表示成x的函数,并确定这个函数的定义域;
(2)怎样围才能使得场地的面积最大?最大面积是多少?
共享时间:2024-10-29 难度:1 相似度:2
171913. (2022•长安区一中•高一上期中) 已知[x]表示不超过x的最大整数,称为高斯取整函数,例如[3.4]=3,[﹣4.2]=﹣5,不等式2≤x+1<3的解集为A,不等式2x2﹣3x≤0的解集为B
(1)求AB
(2)已知xA,正数ab满足a+b=[x],求的最小值.
共享时间:2022-11-19 难度:1 相似度:2
236558. (2017•高新一中•高二下期末) .设xyz∈R,且x+2y+3z=1.
(1)当z=1,|x+y|+|y+1|>2时,求x的取值范围.
(2)当z=﹣1,x>0,y>0时,求的最小值.
共享时间:2017-07-18 难度:1 相似度:2
232849. (2023•滨河中学•高一上一月) 已知:a>0,b>0,且a+b=1.
(1)求的最小值;
(2)求恒成立,求实数m的取值范围.
共享时间:2023-10-18 难度:1 相似度:2
232805. (2023•高新二中•高一上一月) 已知x>0,y>0,且2x+8yxy=0,求:
(1)xy的最小值;
(2)x+y的最小值.
共享时间:2023-10-24 难度:1 相似度:2
232759. (2023•高新一中•高一上二月) 已知x>0,y>0,且x+2y=1.
(1)求xy的最大值;
(2)求的最小值.
共享时间:2023-12-27 难度:1 相似度:2
172137. (2022•碑林区•高一上期中) abc均为正数,且a+b=1.
(1)求的最小值;
(2)证明:
共享时间:2022-11-15 难度:1 相似度:2
172113. (2022•高新一中•高一上期中) 已知x>0,y>0,且,求:
(1)xy的最小值;
(2)x+y的取小值.
共享时间:2022-11-15 难度:1 相似度:2
172026. (2022•西工大附中•高一上期中) abc均为正数,且a+b=1.
(1)求的最小值;
(2)证明:
共享时间:2022-11-22 难度:1 相似度:2
171546. (2023•高新一中•高一上期中) 已知x>0,y>0,且满足
(1)求x+y的最小值;
(2)求的最大值.
共享时间:2023-11-13 难度:1 相似度:2
167388. (2023•高新一中•高一上一月) 已知正数ab满足a+4b=4.
(1)求ab的最大值;
(2)求的最小值.
共享时间:2023-10-22 难度:1 相似度:2
169789. (2023•师大附中•高二上期末) 已知abc是全不相等的正实数,求证:>3.
共享时间:2023-02-13 难度:1 相似度:2
169014. (2020•西安中学•一模) 已知ab∈(0,+∞),a(1﹣b)=ba﹣1),fx)=|2x+1|+|x﹣2|.
(Ⅰ)求a2+b2的最小值;
(Ⅱ)若对任意ab∈(0,+∞),都有fx)≤4(a2+b2),求实数x的取值范围.
共享时间:2020-03-12 难度:1 相似度:2
168876. (2021•西工大附中•十模) .已知函数的定义域为R.
(1)求实数d的取值范围;
(2)设实数md的最大值,若正数abc满足a+b+cm2,求的最小值.
共享时间:2021-07-03 难度:1 相似度:2
232291. (2023•铁一中学•高三上四月) 已知关于x不等式ax2﹣3x+2>0的解集为{x|x<1或xb}.
(1)求ab值;
(2)当x>0,y>0,且满足时,求2x+y+3的最小值.
共享时间:2023-02-28 难度:2 相似度:1.5

dygzsxyn

2022-10-18

高中数学 | 高三上 | 解答题

  • 下载量
  • 浏览量
  • 收益额
  • 0
  • 2
  • 0
相同试题
试题下载
试题内容
调用试题名称
共享人
唐老师
试题题型
解答题
试题难度
试题题源
2020*西工大*期末
下载次数
168次
下载金币
5德优币(当前结余18德优币)
温馨提示
该试题下载至自主题库后,下载、备课永久免费!
试卷设置
试卷名称
省市校区
阶段科目
年份卷型
选择类型
已选考点
在线训练
视频讲解
温馨提示
视频讲解正在加载中、请等待!
温馨提示
对不起!这是别人共享的试题,需要下载到自主题库后,可将该试题添加到白板
视频解析购买
支付方式
德优币数
本次消耗0德优币
温馨提示

客服电话:400-816-0029,服务邮箱:610066832@qq.com

视频资源

试题找茬
纠错类型
纠错描述
温馨提示
共享试题、试卷经平台审核通过后方可展示,并永久享用用户下载分红权!