首页 | 客服 | 上传赚现
AI助手
德优题库AI助手

AI助手

搜题▪组卷

(1)

服务热线

400-816-0029

    自建题库,共享分红

德优题库QQ交流群

233117. (2023•西安八十五中•高二上一月) 如图,在正三棱柱ABCA1B1C1中,各棱长均为4,NCC1的中点.则点C1到平面ABN的距离为            

共享时间:2023-10-28 难度:1
[考点]
点、线、面间的距离计算,
[答案]

[解析]
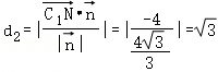
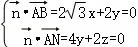
解:建立如图所示的空间直角坐标系,则根据题意可得:

A(0,0,0),C(0,4,0),C1(0,4,4),N(0,4,2),

设平面ABN的一个法向量为
,取
设点C1到平面ABN的距离为d2

故答案为:
[点评]
本题考查了"点、线、面间的距离计算,",属于"基础题",熟悉题型是解题的关键。
转载声明:
本题解析属于发布者收集录入,如涉及版权请向平台申诉! !版权申诉
236883. (2015•西安一中•高二上期末) 如图,在正三棱柱ABCA1B1C1中,所有棱长均为1,则点B1到平面ABC1的距离为           .

共享时间:2015-02-12 难度:1 相似度:2
230906. (2017•西安中学•三模) 已知三棱锥PABC的顶点PABC在球O的表面上,△ABC是边长为的等边三角形,如果球O的表面积为36π,那么P到平面ABC距离的最大值为              
共享时间:2017-04-05 难度:1 相似度:2
167209. (2023•周至四中•高二上一月) 已知正方体ABCDA1B1C1D1的棱长为4,,点NB1B的中点,则|MN|=        
共享时间:2023-10-15 难度:1 相似度:2
167561. (2023•关山中学•高二上一月) 如图,四面体ABCD中,ABBCBD两两垂直,BCBD=2,AB=4,则点B到平面ACD的距离为             

共享时间:2023-10-16 难度:1 相似度:2
236106. (2018•西安中学•高二上期末) 如图,四棱锥PABCD的底面是边长为2的正方形,侧面PCD⊥底面ABCD,且PCPD=2,MN分别为棱PCAD的中点,则点N到平面MBD的距离为           

共享时间:2018-02-04 难度:1 相似度:2
170590. (2021•西安中学•高二上期末) 在空间直角坐标系中,A(1,1,1),B(2,3,4),平面BCD的一个法向量是(﹣1,2,1),则点A到平面BCD的距离为       
共享时间:2021-02-14 难度:1 相似度:2
171216. (2024•师大附中•高一下期中) 如图,已知圆锥轴截面PAB为等腰直角三角形,底面圆O的直径为2,成C在圆O上,且BCE为线段PB上异于PB的点,则CE+OE的最小值为          

共享时间:2024-05-18 难度:1 相似度:2
232887. (2024•交大附中•高一下二月) 如图,在三棱柱ABCA1B1C1中,底面ABC为正三角形,且侧棱AA1⊥底面ABC,底面边长与侧棱长都等于2,OO1分别为ACA1C1的中点,则平面AB1O1与平面BC1O之间的距离为             

共享时间:2024-06-19 难度:1 相似度:2
231390. (2016•西工大附中•七模) 三棱锥DABC及其三视图中的正(主)视图和侧(左)视图如图所示,则棱DB的长为        

共享时间:2016-06-05 难度:1 相似度:2
172285. (2022•师大附中•高二下期中) 已知球面上三点ABC,且AB=6,BC=8,AC=10,球的半径为13,则球心到平面ABC的距离为       
共享时间:2022-05-22 难度:1 相似度:2
172307. (2022•师大附中•高二下期中) 已知球面上三点ABC,且AB=6,BC=8,AC=10,球的半径为13,则球心到平面ABC的距离为        
共享时间:2022-05-16 难度:1 相似度:2
172331. (2021•西安中学•高二上期中) 在直三棱柱A1B1C1ABC中,底面ABC为直角三角形,∠BACABACAA1=1.已知GE分别为A1B1CC1的中点,DF分别为线段ACAB上的动点(不包括端点).若GDEF,则线段DF的长度的最小值为     
共享时间:2021-11-26 难度:1 相似度:2
166501. (2024•铁一中学•高二上二月) 如图,二面角α﹣l﹣β等于135°,AB是棱l上两点,AClBDl,且,则CD的长等于        

共享时间:2024-12-24 难度:2 相似度:1.5
166872. (2024•西安八十三中•高二上二月) 正方体ABCDA1B1C1D1的棱长为5,点M在棱AB上,且AM=2,点P是正方体下底面ABCD内(含边界)的动点,且动点P到直线A1D1的距离与点P到点M的距离的平方差为25,则动点PB点的最小值是          
共享时间:2024-12-23 难度:2 相似度:1.5
171841. (2022•西安中学•高二上期中) 如图,平行六面体ABCDA1B1C1D1的底面ABCD是边长为1的正方形,且∠A1AD=∠A1AB=60°,AA1=2,则线段AC1的长为         .

共享时间:2022-11-28 难度:2 相似度:1.5

dygzsxyn

2023-10-28

高中数学 | 高二上 | 填空题

  • 下载量
  • 浏览量
  • 收益额
  • 0
  • 4
  • 0
相同试题
试题下载
试题内容
调用试题名称
共享人
唐老师
试题题型
解答题
试题难度
试题题源
2020*西工大*期末
下载次数
168次
下载金币
5德优币(当前结余18德优币)
温馨提示
该试题下载至自主题库后,下载、备课永久免费!
试卷设置
试卷名称
省市校区
阶段科目
年份卷型
选择类型
已选考点
在线训练
视频讲解
温馨提示
视频讲解正在加载中、请等待!
温馨提示
对不起!这是别人共享的试题,需要下载到自主题库后,可将该试题添加到白板
视频解析购买
支付方式
德优币数
本次消耗0德优币
温馨提示

客服电话:400-816-0029,服务邮箱:610066832@qq.com

视频资源

试题找茬
纠错类型
纠错描述
温馨提示
共享试题、试卷经平台审核通过后方可展示,并永久享用用户下载分红权!