首页 | 客服 | 上传赚现
AI助手
德优题库AI助手

AI助手

搜题▪组卷

(1)

服务热线

400-816-0029

    自建题库,共享分红

德优题库QQ交流群

232356. (2023•铁一中学•高二上一月) 四棱锥PABCD中,四边形ABCD为梯形,其中ABDCAB=2BC=2CD=4,∠BCD=60°,平面PBD⊥平面ABCD
(1)证明:PBAD
(2)若PBPD,且三棱锥PBCD的体积为,点F满足,求平面DBF与平面PBC所成的锐二面角的余弦值.

共享时间:2023-10-22 难度:2
[考点]
直线与平面垂直,二面角的平面角及求法,
[答案]
(1)证明见解析;
(2)
[解析]
解:(1)证明:四棱锥PABCD中,四边形ABCD为梯形,其中ABDC
AB=2BC=2CD=4,∠BCD=60°,平面PBD⊥平面ABCD
由题设,△BCD为等边三角形,则AB=2BD=4,
又四边形ABCD为梯形,ABDC,则∠ABD=60°,
在△ABD中,AB=4,BD=2,所以AD2AB2+BD2﹣2AB×BD×cos∠ABD
AD2=42+22﹣2×4×2×cos60°=12,则
所以AD2+BD2AB2,即ADBD
PBD⊥面ABCD,面PBD∩面ABCDBDAD⊂面ABCD
AD⊥面PBD
PB⊂面PBD,故PBAD
(2)若OBD中点,PBPD
POBD,面PBD⊥面ABCD,面PBD∩面ABCDBDPO⊂面PBD
PO⊥面ABCD
连接OC,则OCBD,且OC⊂面ABCD,故POOC
综上,POBDOC两两垂直,以O为原点,xyz轴正方向的空间直角坐标系.

所以B(1,0,0),D(﹣1,0,0),
PBPD,且三棱锥PBCD的体积为,点F满足
由三棱锥PBCD的体积为,则
,故OP=3.
P(0,0,3),则
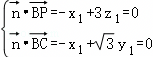
所以
是面BDF的一个法向量,
,取y=6,则,则
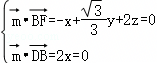
是面PBC的一个法向量,
,取z1=1,则x1=3,,则
所以
则锐二面角DBFC的余弦值为

[点评]
本题考查了"直线与平面垂直,二面角的平面角及求法,",属于"易错题",熟悉题型是解题的关键。
转载声明:
本题解析属于发布者收集录入,如涉及版权请向平台申诉! !版权申诉
167349. (2023•长安区一中•高三上二月) 如图,四边形ABCD为正方形.PD⊥平面ABCD,∠DPC=30°,AFPC于点FFECD,交PD于点E
(1)证明:CF⊥平面ADF
(2)求二面角DAFE的余弦值.

共享时间:2023-12-15 难度:2 相似度:2
167940. (2023•师大附中•三模) 在三棱锥SABC中,△ABC是边长为4的正三角形,平面SAC⊥平面ABCMN分别为ABSB的中点.
(1)证明:ACSB
(2)求二面角N﹣CMB正弦值的大小.

共享时间:2023-04-08 难度:2 相似度:2
22111. (2021•西安中学•二模) 德优题库如图,在三棱柱ABC-A1B1C1中,底面ABC是边长为4的等边三角形,∠A1AB=∠A1AC,D为BC的中点.
(1)证明:BC⊥平面A1AD.
(2)若△A1AD是等边三角形,求二面角D-AA1-C的正弦值.
共享时间:2021-03-18 难度:3 相似度:2
167238. (2023•周至六中•高二上一月) 如图,长方体ABCDA1B1C1D1的侧面A1ADD1是正方形.
(1)证明:A1D⊥平面ABD1
(2)若AD=2,AB=4,求二面角B1AD1C的余弦值.

共享时间:2023-10-26 难度:2 相似度:2
167670. (2024•西安中学•一模) 如图,在三棱柱ABCA1B1C1中,直线C1B⊥平面ABC,平面AA1 C1C⊥平面BB1C1C
(1)求证:ACBB1
(2)若ACBCBC1=2,在棱A1B1上是否存在一点P,使二面角PBCC1的余弦值为?若存在,求的值;若不存在,请说明理由.

共享时间:2024-03-11 难度:2 相似度:2
168411. (2021•西安中学•十模) 如图,在三棱锥PABC中,平面PAB⊥平面ABCAB=6,BC=2AC=2DE分别为线段ABBC上的点,且AD=2DBCE=2EBPDAC
(1)求证:PD⊥平面ABC
(2)若PA与平面ABC所成的角为,求平面PAC与平面PDE所成的锐二面角.

共享时间:2021-07-03 难度:2 相似度:2
168250. (2021•西安中学•五模) 如图,在四棱锥PABCD中,ABPCADBCADCD,且PCBC=2AD=2CD=2PA=2.
(1)证明:PA⊥平面ABCD
(2)在线段PD上,是否存在一点M,使得二面角MACD的大小为60°?如果存在,求的值;如果不存在,请说明理由.

共享时间:2021-05-01 难度:2 相似度:2
166799. (2024•西安工业大学附中•高二上一月) 如图,在三棱台ABCA1B1C1中,∠BAC=90°,ABAC=4,A1AA1B1=2,侧棱A1A⊥平面ABC,点D是棱CC1的中点.
(1)证明:BB1⊥平面AB1C
(2)求平面BCD与平面ABD的夹角的余弦值.

共享时间:2024-10-20 难度:2 相似度:2
166835. (2024•西安八十五中•一模) 如图,在三棱锥PABC中,PA⊥平面ABC
(1)求证:BC⊥平面PAB
(2)求二面角APCB的大小.

共享时间:2024-03-12 难度:2 相似度:2
167830. (2024•长安区一中•一模) 如图,已知ABCDCDEF都是直角梯形,ABDCDCEFAB=5,DC=3,EF=1,∠BAD=∠CDE=60°,二面角FDCB的平面角为60°.设MN分别为AEBC的中点.
(Ⅰ)证明:FNAD
(Ⅱ)求直线BM与平面ADE所成角的正弦值.

共享时间:2024-03-04 难度:3 相似度:1.67
167564. (2023•关山中学•高二上一月) 如图,在直三棱柱ABCA1B1C1中,AA1AC=4,AB=3,BC=5,点D是线段BC的中点.请用空间向量的知识解答下列问题:
(1)求证:ABA1C
(2)试求二面角DCA1A的余弦值.

共享时间:2023-10-16 难度:1 相似度:1.5
167602. (2023•新城一中•高二上二月) 如图,四棱锥PABCD中,底面ABCD为矩形,PA⊥平面ABCDEPD的中点.
(1)证明:PB∥平面AEC
(2)若AB=1,AD=2,AP=2,求二面角DAEC的平面角的余弦值.

共享时间:2023-12-19 难度:2 相似度:1
167623. (2024•师大附中•十模) 如图,已知正方体ABCDA1B1C1D1的棱长为2,EF分别为ADCC1的中点.
(1)已知点G满足,求证BEGF四点共面;
(2)求平面BA1C1与平面BEF所成的锐二面角的余弦值.

共享时间:2024-07-09 难度:2 相似度:1
167785. (2024•西安一中•三模) 如图,在斜三棱柱ABCA1B1C1中,ABBCMAC的中点,MB1AB
(1)证明:MC1AB
(2)若,求直线B1C与平面MB1C1所成角的正弦值.

共享时间:2024-04-07 难度:2 相似度:1
167807. (2024•西安一中•二模) 如图所示,在四棱锥PABCD中,PA⊥平面ABCDADBCADCD,且,|PA|=2.
(1)求三棱锥BACP的体积;
(2)求证:ABPC

共享时间:2024-03-29 难度:2 相似度:1

dygzsxyn

2023-10-22

高中数学 | 高二上 | 解答题

  • 下载量
  • 浏览量
  • 收益额
  • 0
  • 2
  • 0
相同试题
试题下载
试题内容
调用试题名称
共享人
唐老师
试题题型
解答题
试题难度
试题题源
2020*西工大*期末
下载次数
168次
下载金币
5德优币(当前结余18德优币)
温馨提示
该试题下载至自主题库后,下载、备课永久免费!
试卷设置
试卷名称
省市校区
阶段科目
年份卷型
选择类型
已选考点
在线训练
视频讲解
温馨提示
视频讲解正在加载中、请等待!
温馨提示
对不起!这是别人共享的试题,需要下载到自主题库后,可将该试题添加到白板
视频解析购买
支付方式
德优币数
本次消耗0德优币
温馨提示

客服电话:400-816-0029,服务邮箱:610066832@qq.com

视频资源

试题找茬
纠错类型
纠错描述
温馨提示
共享试题、试卷经平台审核通过后方可展示,并永久享用用户下载分红权!