首页 | 客服 | 上传赚现
AI助手
德优题库AI助手

AI助手

搜题▪组卷

(1)

服务热线

400-816-0029

    自建题库,共享分红

德优题库QQ交流群

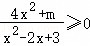
232207. (2023•铁一中学•高一上一月) 若任意x∈R,恒成立,则实数m的取值范围为(  )
A.{m|m<﹣2}
B..{m|m>0}  
C..{m|m≥﹣2} 
D..{m|m≥0}
共享时间:2023-10-16 难度:1
[考点]
函数恒成立问题,
[答案]
D
[解析]
解:因为x2﹣2x+3≥2,所以任意x∈R,恒成立,
即4x2+m≥0对任意x∈R恒成立,所以m≥﹣4x2对任意x∈R恒成立,
又当x∈R时,﹣4x2≤0,所以m≥0,
所以m的取值范围为{m|m≥0}.
故选:D
[点评]
本题考查了"函数恒成立问题,",属于"基础题",熟悉题型是解题的关键。
转载声明:
本题解析属于发布者收集录入,如涉及版权请向平台申诉! !版权申诉
166302. (2024•西安中学•高三上二月) max{ab}表示ab二者中较大的一个,函数fx)=﹣x2﹣7x﹣5,gx)=max{31﹣x,log3x+2)},若∀x1∈[a﹣1,a+1],∃x2∈[0,+∞),使得fx1)=gx2)成立,则a的取值范围是(  )
A.[﹣5,﹣2]
B..[﹣4,﹣3]                 
C.         
D.
共享时间:2024-12-28 难度:1 相似度:2
170316. (2022•长安区一中•高一下期末) 设函数fx)的定义域为R,若存在常数m>0,使|fx)|≤m|x|对一切实数x均成立,则称fx)为“F函数”.给出下列函数:①fx)=0;②fx)=x2;③;④;⑤fx)是定义在R上的奇函数,且对一切实数x1x2,有|fx1)﹣fx2)|≤2|x1x2|.其中是“F函数”的个数为(  )
13.(5分).2    13.(5分).3     13.(5分)4      13.(5分).5
A.2
B.3
C.4
D.5
共享时间:2022-07-24 难度:1 相似度:2
236190. (2018•西安中学•高二下期末) 若对于任意实数x≥0,函数fx)=ex+ax恒大于零,则实数a的取值范围是(  )
A.(﹣∞,﹣e)                 
B.(﹣∞,e
C.[e,+∞)           
D..(﹣e,+∞)
共享时间:2018-07-08 难度:1 相似度:2
232790. (2023•高新二中•高一上一月) 正数ab满足9a+bab,若不等式a+b≥﹣x2+2x+18﹣m对任意实数x恒成立,则实数m的取值范围是(  )
A.[3,+∞)
B..(﹣∞,3]  
C..(﹣∞,6] 
D..[6,+∞)
共享时间:2023-10-24 难度:1 相似度:2
230995. (2017•高新一中•一模) fx)=gx)=ax+5﹣2aa>0),若对于任意x1∈[0,1],总存在x0∈[0,1],使得gx0)=fx1)成立,则a的取值范围是(  )
A.[4,+∞) 
B.(0,]    
C.[,4]   
D.[,+∞)
共享时间:2017-03-15 难度:1 相似度:2
230972. (2017•高新一中•一模) fx)=gx)=ax+5﹣2aa>0),若对于任意x1∈[0,1],总存在x0∈[0,1],使得gx0)=fx1)成立,则a的取值范围是(  )
A.[4,+∞) 
B.(0,]    
C.[,4]   
D..[,+∞)
共享时间:2017-03-08 难度:1 相似度:2
230949. (2017•西工大附中•六模) 若存在两个正实数xy,使得等式3x+a(2y﹣4ex)(lnylnx)=0成立,其中e为自然对数的底数,则实数a的取值范围是(  )

A.(﹣∞,0)                   

C. 

B.                  

D.

共享时间:2017-05-26 难度:1 相似度:2
230834. (2019•高新一中•一模) fx)=gx)=ax+5﹣2aa>0),若对于任意x1∈[0,1],总存在x0∈[0,1],使得gx0)=fx1)成立,则a的取值范围是(  )
A.[4,+∞) 
B.(0,]    
C.[,4]   
D..[,+∞)
共享时间:2019-03-06 难度:1 相似度:2
171906. (2022•长安区一中•高一上期中) 已知函数yfx﹣1)的图象关于x=1对称,且对yfx),x∈R,当x1x2∈(﹣∞,0]时,成立,若f(2ax)<f(2x2+1)对任意的x∈R恒成立,则a的可能取值为(  )
A.﹣2       
B.﹣1        
C..1       
D..2
共享时间:2022-11-19 难度:1 相似度:2
171901. (2022•长安区一中•高一上期中) 已知函数,当1≤x≤9时,fx)>1恒成立,则实数m的取值范围为(  )
A.
B.(﹣∞,5)
C.(﹣∞,4)
D.(﹣∞,5]
共享时间:2022-11-19 难度:1 相似度:2
171536. (2023•高新一中•高一上期中) 定义在R上的函数fx)满足,且当x∈[0,1)时,fx)=1﹣|2x﹣1|.若对∀x∈[m,+∞),都有,则m的取值范围是(  )
A.
B.   
C. 
D.
共享时间:2023-11-13 难度:1 相似度:2
170962. (2024•曲江二中•高一上期中) 对于0≤m≤4中的任意m,不等式x2+mx>4x+m﹣3恒成立,则x的取值范围是(  )
A.﹣1≤x≤3 
B.x≤﹣1     
C.x≥3    
D.x<﹣1或x>3
共享时间:2024-11-24 难度:1 相似度:2
171751. (2022•师大附中•高一上期中) 已知函数fx)=xa的图像经过点,则(  )

A.fx)的图像经过点(2,4)  

B.fx)的图像关于原点对称

C..若x∈[1,2],则  

D..当x>0时,fx)≥2﹣x恒成立

共享时间:2022-11-26 难度:1 相似度:2
237630. (2019•西工大附中•高一上期中) 任意t∈R+时,f[ft)﹣]=2恒成立,函数yft)单调,则f)=(  )
A.2020      
B.2019      
C.   
D.
共享时间:2019-11-29 难度:1 相似度:2
166693. (2024•高新一中•高一上一月) 已知两个变量xy的关系式fxy)=x(1﹣y),则以下说法正确的是(  )

A.f(1,3)=f(3,1)=0 

B.对任意实数a,都有成立 

C.若对任意实数x,不等式fxax)≤﹣a+4恒成立,则实数a的取值范围是[﹣5,3]

D.若对任意正实数a,不等式fxax)≤﹣a+4恒成立,则实数x的取值范围是(﹣∞,0)

共享时间:2024-10-24 难度:1 相似度:2

dygzsxyn

2023-10-16

高中数学 | 高一上 | 选择题

  • 下载量
  • 浏览量
  • 收益额
  • 0
  • 3
  • 0
相同试题
试题下载
试题内容
调用试题名称
共享人
唐老师
试题题型
解答题
试题难度
试题题源
2020*西工大*期末
下载次数
168次
下载金币
5德优币(当前结余18德优币)
温馨提示
该试题下载至自主题库后,下载、备课永久免费!
试卷设置
试卷名称
省市校区
阶段科目
年份卷型
选择类型
已选考点
在线训练
视频讲解
温馨提示
视频讲解正在加载中、请等待!
温馨提示
对不起!这是别人共享的试题,需要下载到自主题库后,可将该试题添加到白板
视频解析购买
支付方式
德优币数
本次消耗0德优币
温馨提示

客服电话:400-816-0029,服务邮箱:610066832@qq.com

视频资源

试题找茬
纠错类型
纠错描述
温馨提示
共享试题、试卷经平台审核通过后方可展示,并永久享用用户下载分红权!