首页 | 客服 | 上传赚现
AI助手
德优题库AI助手

AI助手

搜题▪组卷

(1)

服务热线

400-816-0029

    自建题库,共享分红

德优题库QQ交流群

231850. (2025•铁一中学•高二下一月) 梯形ABCD中,ADBCEAD上的一点且有BEADAEBE=1,BCED,将△ABE沿BE翻折到△PEB使得二面角PBEC的平面角为θ,连接PCPDF为棱PD的中点.

(1)求证:FC∥面PBE
(2)当θ=PD时,求直线PC与平面BCF所成角的正弦值.
共享时间:2025-04-23 难度:2
[考点]
直线与平面平行,空间向量法求解直线与平面所成的角,
[答案]
(1)证明见解答;(2)
[解析]
解:(1)证明:取PE中点G,连接GBGF
因为BCED
在△PED中,GFED
所以GFBCGFBC
所以四边形BCFG为平行四边形,
所以FCGB
又因为FC⊄平面PBEGB⊂平面PBE
所以FC∥平面PBE
(2)BEAD,则BEPEBEED
所以BE⊥平面PDE,又BE⊂平面BCDE
平面PDE⊥平面BCDE
在平面PDE内,过点EEQEDPD于点Q
因为平面PDE∩平面BCDEDE
所以EQ⊥平面BCDE
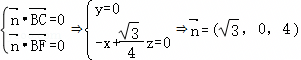
以{}为正交基底建立如图坐标系,
D(0,2,0),B(1,0,0),C(1,1,0),

为平面BCF的法向量,


所以

[点评]
本题考查了"直线与平面平行,空间向量法求解直线与平面所成的角,",属于"必考题",熟悉题型是解题的关键。
转载声明:
本题解析属于发布者收集录入,如涉及版权请向平台申诉! !版权申诉
166604. (2024•华清中学•高二上二月) 如图,在四棱锥PABCD中,底面ABCD为正方形,PA⊥平面ABCDPAAB=2.
(1)求证:AD∥平面PBC
(2)求直线BD平面PCD夹角的正弦值;
(3)求点B到平面PCD的距离.

共享时间:2024-12-25 难度:3 相似度:1.67
166757. (2024•建大附中•一模) 如图,在九面体ABCDEFGH中,平面AGF⊥平面ABCDEF,平面AFG∥平面HCDAB=6,底面ABCDEF为正六边形.
(1)证明:GH∥平面ABCDEF
(2)证明:GH⊥平面AFG
(3)求GE与平面ABG所成角的正弦值.

共享时间:2024-03-13 难度:3 相似度:1.67
166274. (2024•师大附中•高二上一月) 如图,在直三棱柱ABCA1B1C1中,△ABC为边长为2的正三角形,AA1=3,DAC中点,点E在棱CC1上,且CE=λCC1,0<λ<1.
(1)当时,求证A1E⊥平面BDE
(2)设O1为底面A1B1C1的中心,求直线CO1与平面BDE所成角的正弦值的最大值,并求取得最大值时λ的值.

共享时间:2024-10-30 难度:2 相似度:1
169145. (2020•西工大附中•二模) 已知三棱柱ABCA1B1C1中,AA1⊥平面ABC,∠BAC=120°,EF分别是BCA1C1的中点.
(1)证明:EF∥平面ABB1
(2)求直线B1E与平面A1BE所成角的正弦值.

共享时间:2020-03-17 难度:2 相似度:1
168388. (2023•交大附中•十三模) 如图所示,四棱锥PABCD的底面ABCD是矩形,PB⊥底面ABCDABBC=3,BP=3,CFCPDEDA
(1)证明:EF∥平面ABP
(2)求直线PC与平面ADF所成角的正弦值.

共享时间:2023-07-21 难度:2 相似度:1
168549. (2021•西安中学•六模) 如图,直三棱柱ABCA1B1C1中,ACBCAA1=2,MN分别为ABB1C1的中点.
(1)求证:MN∥平面ACC1A1
(2)若B1M=3,求二面角B1A1MN的余弦值.

共享时间:2021-05-15 难度:2 相似度:1
168619. (2021•西安中学•二模) 如图,矩形ABCD所在平面与半圆弧所在平面垂直,M是半圆弧上异于CD的点.
(Ⅰ)证明:直线DM⊥平面BMC
(Ⅱ)在线段AM上是否存在点P,使得MC∥平面PBD?说明理由.

共享时间:2021-03-17 难度:2 相似度:1
168758. (2021•西安中学•八模) 如图,边长为2的等边△ABC所在平面与菱形A1ACC1所在平面互相垂直,且BCB1C1BC=2B1C1A1CAC1
(1)求证:A1B1∥平面ABC
(2)求多面体ABCA1B1C1的体积V

共享时间:2021-06-14 难度:2 相似度:1
168871. (2021•西工大附中•十模) 如图,在四棱锥PABCD中,△ABD是边长为2的等边三角形,ADCDABBCQ为四边形ABCD的外接圆的圆心,PQ⊥平面ABCDM在棱PA上,且AM=2MP
(1)证明:MQ∥平面PBD
(2)若MQ与平面ABCD所成角为60°,求PC与平面PAD所成角的正弦值.

共享时间:2021-07-03 难度:2 相似度:1
168895. (2021•高新一中•二模) 如图,在△ABC中,∠C=90°,ACBCa,点PAB上,PEBCACEPFACBCF.沿PE将△APE翻折成△APE,使平面APE⊥平面ABC;沿PF将△BPF翻折成△BPF,使平面BPF⊥平面ABC
(Ⅰ)求证:BC∥平面APE
(Ⅱ)设,当λ为何值时,二面角CAB′﹣P的大小为60°?

共享时间:2021-03-23 难度:2 相似度:1
168918. (2021•高陵一中•二模) 如图,矩形ABCD所在平面与半圆弧所在平面垂直,M是半圆弧上异于CD的点.
(Ⅰ)证明:直线DM⊥平面BMC
(Ⅱ)在线段AM上是否存在点P,使得MC∥平面PBD?说明理由.

共享时间:2021-03-23 难度:2 相似度:1
169100. (2020•西工大附中•三模) 如图,在四棱锥BACDE中,平面ABC⊥平面ACDE,△ABC是一个边长为4的正三角形,在直角梯形ACDE中,AECDAEACAE=2,CD=3,点P在棱BD上,且BP=2PD
(1)求证:EP∥平面ABC
(2)设点M在线段AC上,若平面PEM与平面EAB所成的锐二面角的余弦值为,求MP的长.

共享时间:2020-04-14 难度:2 相似度:1
169352. (2024•师大附中•高一下期末) 如图,在四棱锥PABCD中,底面ABCD是边长为2的菱形,△DCP是等边三角形,,点MN分别为DPAB的中点.
(1)求证:MN∥平面PBC
(2)求证:平面PBC⊥平面ABCD
(3)求CM与平面PAD所成角的正弦值.

共享时间:2024-07-09 难度:2 相似度:1
169169. (2020•高新一中•三模) 如图,四边形ABCD是边长为2的菱形,BFDECG都垂直于平面ABCD,且CG=2BF=2ED=2.
(1)证明:AE∥平面BCF
(2)若∠DAB,求三棱锥DAEF的体积.

共享时间:2020-04-01 难度:2 相似度:1
168318. (2021•西安中学•十模) 如图,已知四边形ABCDBCEG均为直角梯形,ADBCCEBG,且∠BCD=∠BCE,∠ECD=120°,BCCDCE=2AD=2BG=2.
(1)求证:AG∥平面BDE
(2)求三棱锥EBCD的体积.

共享时间:2021-07-10 难度:2 相似度:1

dygzsxyn

2025-04-23

高中数学 | 高二下 | 解答题

  • 下载量
  • 浏览量
  • 收益额
  • 0
  • 3
  • 0
相同试题
试题下载
试题内容
调用试题名称
共享人
唐老师
试题题型
解答题
试题难度
试题题源
2020*西工大*期末
下载次数
168次
下载金币
5德优币(当前结余18德优币)
温馨提示
该试题下载至自主题库后,下载、备课永久免费!
试卷设置
试卷名称
省市校区
阶段科目
年份卷型
选择类型
已选考点
在线训练
视频讲解
温馨提示
视频讲解正在加载中、请等待!
温馨提示
对不起!这是别人共享的试题,需要下载到自主题库后,可将该试题添加到白板
视频解析购买
支付方式
德优币数
本次消耗0德优币
温馨提示

客服电话:400-816-0029,服务邮箱:610066832@qq.com

视频资源

试题找茬
纠错类型
纠错描述
温馨提示
共享试题、试卷经平台审核通过后方可展示,并永久享用用户下载分红权!