首页 | 客服 | 上传赚现
AI助手
德优题库AI助手

AI助手

搜题▪组卷

(1)

服务热线

400-816-0029

    自建题库,共享分红

德优题库QQ交流群

231240. (2016•西工大附中•九模) 已知向量
(1)当时,求2cos2x﹣sin2x的值;
(2)求上的值域.
共享时间:2016-06-18 难度:2
[考点]
两角和与差的三角函数,平面向量数量积的性质及其运算,
[答案]
见试题解答内容
[解析]
解:(1)∵

,(3分)
.(6分)
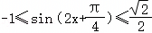
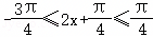
(2)∵
,(8分)
,∴
,(10分)
,(12分)
∴函数fx)的值域为.(13分)
[点评]
本题考查了"两角和与差的三角函数,平面向量数量积的性质及其运算,",属于"易错题",熟悉题型是解题的关键。
转载声明:
本题解析属于发布者收集录入,如涉及版权请向平台申诉! !版权申诉
171617. (2024•交大附中•高一下期中) (1)利用向量的方法证明:
cos(α﹣β)=cosαcosβ+sinαsinβ;
(2)探索是否可以用向量法证明:在△ABC中,若,则,若可以,请给出详细证明过程.
共享时间:2024-05-18 难度:1 相似度:1.5
170100. (2023•铁一中学•高一上期末) 已知,求cos(α﹣β)的值.
共享时间:2023-02-22 难度:1 相似度:1.5
170189. (2023•高新一中•高一下期末) 在△ABC中,角ABC的对边分别为abc,向量,且
(1)求sinA的值;
(2)若b=5,求角B的大小.
共享时间:2023-07-11 难度:1 相似度:1.5
169235. (2025•长安区一中•高一上期末) 已知函数的相邻两对称轴间的距离为
(1)求fx)的解析式;
(2)将函数fx)的图象向右平移个单位长度,再把横坐标缩小为原来的(纵坐标不变),得到函数ygx)的图象,当时,求函数gx)的值域.
(3)对于第(2)问中的函数gx),记方程上的根从小到依次为x1x2,⋯,xn,试确定n的值,并求x1+2x2+2x3+⋯+2xn﹣1+xn的值.
共享时间:2025-02-02 难度:1 相似度:1.5
168916. (2021•高陵一中•二模) 已知向量=(sinx,cosx),=(cosx,cosx),fx)=
(Ⅰ)在坐标系中画出函数fx)=的图像;
(Ⅱ)在△ABC中,BC,sinB=3sinC,若fA)=1,求△ABC的周长.
共享时间:2021-03-23 难度:1 相似度:1.5
168617. (2021•西安中学•二模) 已知向量=(sinx,cosx),=(cosx,cosx),fx)=
(Ⅰ)在坐标系中画出函数fx)=的图像;
(Ⅱ)在△ABC中,BC,sinB=3sinC,若fA)=1,求△ABC的周长.
共享时间:2021-03-17 难度:1 相似度:1.5
170348. (2022•长安区一中•高一上期末) 已知向量
(1)若,求向量的夹角;
(2)若函数.求当时函数fx)的值域.
共享时间:2022-02-23 难度:1 相似度:1.5
168433. (2021•西安中学•七模) 在△ABC中,内角ABC的对边分别为abc,已知bacosC+
(1)求角A
(2)若=3,求a的最小值.
共享时间:2021-06-06 难度:1 相似度:1.5
170504. (2022•高新一中•高一上期末) 已知tanα=2.
(1)求的值;
(2)求的值.
共享时间:2022-02-10 难度:1 相似度:1.5
170507. (2022•高新一中•高一上期末) 已知函数fx)=(2cos2x﹣1)sin2x+cos4x
(1)求函数fx)的对称中心;
(2)若α∈(0,π),且,求的值.
共享时间:2022-02-10 难度:1 相似度:1.5
167520. (2023•关山中学•高三上一月) 已知向量=(sinx),=(cosx,﹣1).
(1)当时,求2cos2x﹣sin2x的值;
(2)求fx)=(+)•在[﹣,0]上的最大值.
共享时间:2023-10-20 难度:1 相似度:1.5
170508. (2022•高新一中•高一上期末) 已知向量=(cos2ωx﹣sin2ωx,sinωx),=(,2cosωx),设函数fx)=的图象关于直线x对称,其中ω为常数,且ω∈(0,1).
(1)求函数fx)的最小正周期和单调递增区间;
(2)若将yfx)图象上各点的横坐标变为原来的,再将所得图象向右平移个单位,纵坐标不变,得到yhx)的图象,若关于x的方程hx)+k=0在[0,]上有且只有一个实数解,求实数k的取值范围.
共享时间:2022-02-10 难度:1 相似度:1.5
170509. (2022•高新一中•高一上期末) 设函数fx)=sinx+cosx+1,若实数abc使得afx)+bfxc)=1对任意x∈R恒成立,求的值.
共享时间:2022-02-10 难度:1 相似度:1.5
170619. (2021•长安区一中•高一上期末) 已知向量=(cosλx,sinλx),=(1,1),其中λ∈Z,x∈R.
(1)当λ=1时,求的取值范围;
(2)当λ=4时,求的取值范围;
(3)当λ>0且为偶数时,证明:对于任意的x∈R,都有
共享时间:2021-02-11 难度:1 相似度:1.5
170620. (2021•长安区一中•高一上期末) .已知向量=(sinx,﹣mcosx),=(cosx,cosx),函数fx)=2+mm∈R).
(1)若m=1,求fx)的单调减区间;
(2)若,将fx)的图象向左平移个单位长度后,得到函数gx)的图象,求函数gx)在区间上的最值.
共享时间:2021-02-11 难度:1 相似度:1.5

dygzsxyn

2016-06-18

高中数学 | | 解答题

  • 下载量
  • 浏览量
  • 收益额
  • 0
  • 3
  • 0
相同试题
试题下载
试题内容
调用试题名称
共享人
唐老师
试题题型
解答题
试题难度
试题题源
2020*西工大*期末
下载次数
168次
下载金币
5德优币(当前结余18德优币)
温馨提示
该试题下载至自主题库后,下载、备课永久免费!
试卷设置
试卷名称
省市校区
阶段科目
年份卷型
选择类型
已选考点
在线训练
视频讲解
温馨提示
视频讲解正在加载中、请等待!
温馨提示
对不起!这是别人共享的试题,需要下载到自主题库后,可将该试题添加到白板
视频解析购买
支付方式
德优币数
本次消耗0德优币
温馨提示

客服电话:400-816-0029,服务邮箱:610066832@qq.com

视频资源

试题找茬
纠错类型
纠错描述
温馨提示
共享试题、试卷经平台审核通过后方可展示,并永久享用用户下载分红权!