首页 | 客服 | 上传赚现
AI助手
德优题库AI助手

AI助手

搜题▪组卷

(1)

服务热线

400-816-0029

    自建题库,共享分红

德优题库QQ交流群

231049. (2016•师大附中•十模) 某学校为调查高三年学生的身高情况,按随机抽样的方法抽取80名学生,得到男生身高情况的频率分布直方图(图(1))和女生身高情况的频率分布直方图(图(2)).已知图(1)中身高在170~175cm的男生人数有16人.

(Ⅰ)试问在抽取的学生中,男、女生各有多少人?
(Ⅱ)根据频率分布直方图,完成下列的2×2列联表,并判断能有多大(百分几)的把握认为“身高与性别有关”?
  ≥170cm <170cm 总计
男生身高      
女生身高      
总计      
(Ⅲ)在上述80名学生中,从身高在170~175cm之间的学生中按男、女性别分层抽样的方法,抽出5人,从这5人中选派3人当旗手,求3人中恰好有一名女生的概率.
参考公式:K2
参考数据:
PK2k0 0.025 0.010 0.005 0.001
k0 5.024 6.635 7.879 10.828
共享时间:2016-06-26 难度:1
[考点]
频率分布直方图的应用,
[答案]
见试题解答内容
[解析]
解:(Ⅰ)直方图中,
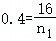
∵身高在170~175cm的男生的频率为0.08×5=0.4,
设男生数为n1,则,得n1=40.
由男生的人数为40,得女生的人数为80﹣40=40.
(Ⅱ)男生身高≥170cm的人数=(0.08+0.04+0.02+0.01)×5×40=30,女生身高≥170cm的人数0.02×5×40=4,所以可得到下列列联表:
  ≥170cm <170cm 总计
男生身高 30 10 40
女生身高 4 36 40
总计 34 46 80

∴能有99.9%的把握认为身高与性别有关;
(Ⅲ)在170~175cm之间的男生有16人,女生人数有4人.
按分层抽样的方法抽出5人,则男生占4人,女生占1人.
设男生为A1A2A3A4,女生为B
从5人任选3名有:(A1A2A3),(A1A2A4),(A1A2B),(A1A3A4),(A1A3B),(A1A4B),(A2A3A4),(A2A3B),
A2A4B),(A3A4B),共10种可能,
3人中恰好有一名女生有:(A1A2B),(A1A3B),(A1A4B),(A2A3B),(A2A4B),(A3A4B),共6种可能,
故所求概率为
[点评]
本题考查了"频率分布直方图的应用,",属于"常考题",熟悉题型是解题的关键。
转载声明:
本题解析属于发布者收集录入,如涉及版权请向平台申诉! !版权申诉
166587. (2024•华清中学•高二上一月) 2023年10月22日,2023襄阳马拉松成功举行,志愿者的服务工作是马拉松成功举办的重要保障,某单位承办了志愿者选拔的面试工作.现随机抽取了100名候选者的面试成绩,并分成五组:第一组[45,55),第二组[55,65),第三组[65,75),第四组[75,85),第五组[85,95],绘制成如图所示的频率分布直方图.已知第一、二组的频率之和为0.3,第一组和第五组的频率相同.
(1)估计这100名候选者面试成绩的平均数.
(2)现从以上各组中用分层抽样的方法选取20人,担任本次宣传者.若本次宣传者中第二组面试者的面试成绩的平均数和方差分别为62和40,第四组面试者的面试成绩的平均数和方差分别为80和70,据此估计这次第二组和第四组所有面试者的方差.

共享时间:2024-10-12 难度:1 相似度:2
232419. (2023•滨河中学•高二上二月) 为了让学生适应陕西“3+3”的新高考模式,某校在高二期末考试中使用赋分制给等级考科目的成绩进行赋分,先按照考生原始分从高到低按比例划定A+、AB+、BB﹣、C+、CC﹣、D+、DE共5等11级,然后在相应赋分区间内利用转换公式进行赋分,A+和E级排名各占比5%,其余各级排名各占比10%.现从全年级的等级考化学成绩中随机取100名学生的原始成绩进行分析,其频率分布直方图如图所示:
(1)求图中a的值;
(2)若采用分层抽样的方法,从原始成绩在[50,60)和[60,70)内的学生中共抽取6人查看他们的答题情况,再从中选取2人进行个案分析,求这2人中恰有一人原始成绩在[50,60)内的概率;
(3)已知落在[80,90)的平均成绩,方差,落在[90,100]的平均成绩,方差,求落在[80,100]的平均成绩,并估计落在[80,100]的成绩的方差.

共享时间:2023-12-19 难度:1 相似度:2
230749. (2022•临潼区•一模) 为了解“朗读记忆”和“默读记忆”两种记忆方法的效率(记忆的平均时间)是否有差异,将40名学生平均分成两组分别采用两种记忆方法记忆同一篇文章.由于事先没有约定用什么图表记录记忆所用时间(单位:min),其结果是“朗读记忆”用茎叶图表示(如图①),“默读记忆”用频率分布直方图表示(分组区间为[24,28),[28,32),…,[48,52])(如图②).

(Ⅰ)分别计算“朗读记忆”和估算“默读记忆”(估算时,用各组的中点值代替该组的平均值)记忆这篇文的平均时间(单位:min);
(Ⅱ)依据(Ⅰ),用m表示40位学生记忆的平均时间,完成下列2×2列联表,判断“朗读记忆”和“默读记忆”两种记忆方法与其效率记忆的平均时间m是否有关联,并说明理由.
参考公式和数据:
  小于m 不小于m 合计
朗读记忆(人数)      
默读记忆(人数)      
合计      
PK2k 0.100 0.050 0.010 0.001
k 2.706 3.841 6.635 10.828
共享时间:2022-03-04 难度:1 相似度:2
230771. (2022•临潼区•一模) 为了解“朗读记忆”和“默读记忆”两种记忆方法的效率(记忆的平均时间)是否有差异,将40名学生平均分成两组分别采用两种记忆方法记忆同一篇文章.由于事先没有约定用什么图表记录记忆所用时间(单位:min),其结果是“朗读记忆”用茎叶图表示(如图①),“默读记忆”用频率分布直方图表示(分组区间为[24,28),[28,32),…,[48,52])(如图②).

(Ⅰ)分别计算“朗读记忆”和估算“默读记忆”(估算时,用各组的中点值代替该组的平均值)记忆这篇文的平均时间(单位:min);
(Ⅱ)依据(Ⅰ),用m表示40位学生记忆的平均时间,完成下列2×2列联表,判断“朗读记忆”和“默读记忆”两种记忆方法与其效率记忆的平均时间m是否有关联,并说明理由.
参考公式和数据:
  小于m 不小于m 合计
朗读记忆(人数)      
默读记忆(人数)      
合计      
PK2k 0.100 0.050 0.010 0.001
k 2.706 3.841 6.635 10.828
共享时间:2022-03-08 难度:1 相似度:2
230794. (2022•临潼区•二模) 某学校为担任班主任的教师办理手机语音月卡套餐,为了解通话时长,采用随机抽样的方法,得到该校100位班主任每人的月平均通话时长T(单位:分钟)的数据,其频率分布直方图如图所示,将频率视为概率.
(1)求图中m的值;
(2)估计该校担任班主任的教师月平均通话时长的中位数;
(3)在[450,500),[500,550]这两组中采用分层抽样的方法抽取6人,再从这6人中随机抽取2人,求抽取的2人恰在同一组的概率.

共享时间:2022-03-18 难度:1 相似度:2
231169. (2016•西工大附中•二模) 某校对高一1班同学按照“国家学生体质健康数据测试”项目按百分制进行了测试,并对50分以上的成绩进行统计,其频率分布直方图如图所示,若90~100分数段的人数为2人.
(1)请求出70﹣80分数段的人数;
(2)现根据测试成绩从第一组和第五组(从低分段到高分段依次为第一组、第二组、…、第五组)中任意选出两人为一组,若选出的两人成绩差大于20,则称该组为“搭档组”,试求选出的两人为“搭档组”的概率.

共享时间:2016-03-22 难度:1 相似度:2
231241. (2016•西工大附中•九模) 某高校共有学生15000人,其中男生10500人,女生4500人.为调查该校学生每周平均体育运动时间的情况,采用分层抽样的方法,收集300位学生每周平均体育运动时间的样本数据(单位:小时).
(1)应收集多少位女生的样本数据?
(2)根据这300个样本数据,得到学生每周平均体育运动时间的频率分布直方图(如图所示),其中样本数据的分组区间为:[0,2],(2,4],(4,6],(6,8],(8,10],(10,12].估计该校学生每周平均体育运动时间超过4小时的概率.
(3)在样本数据中,有60位女生的每周平均体育运动时间超过4小时,请完成每周平均体育运动时间与性别列联表,并判断是否有95%的把握认为“该校学生的每周平均体育运动时间与性别有关”.
PK2k0 0.10 0.05 0.010 0.005
k0 2.706 3.841 6.635 7.879
附:K2

共享时间:2016-06-18 难度:1 相似度:2
231539. (2015•西安一中•一模) 某中学将100名高一新生分成水平相同的甲、乙两个“平行班”,每班50人.陈老师采用AB两种不同的教学方式分别在甲、乙两个班级进行教改实验.为了解教学效果,期末考试后,陈老师甲、乙两个班级的学生成绩进行统计分析,画出频率分布直方图(如图).记成绩不低于90分者为“成绩优秀”.
(1)从乙班随机抽取2名学生的成绩,记“成绩优秀”的个数为ξ,求ξ的分布列和数学期望;
(2)根据频率分布直方图填写下面2×2列联表,并判断是否有95%的把握认为:“成绩优秀”与教学方式有关
  甲班(A方式) 乙班(B方式) 总计
成绩优秀      
成绩不优秀      
总计      
PK2k 0.25 0.15 0.10 0.05 0.025
k 1.323 2.072 2.706 3.841 5.024
共享时间:2015-03-01 难度:1 相似度:2
231728. (2014•师大附中•八模) 为选拔选手参加“中国谜语大会”,某中学举行了一次“谜语大赛”活动.为了了解本次竞赛学生的成绩情况,从中抽取了部分学生的分数(得分取正整数,满分为100分)作为样本(样本容量为n)进行统计.按照[50,60),[60,70),[70,80),[80,90),[90,100]的分组作出频率分布直方图,并作出样本分数的茎叶图(图中仅列出了得分在[50,60),[90,100]的数据).
(Ⅰ)求样本容量n和频率分布直方图中的xy的值;
(Ⅱ)在选取的样本中,从竞赛成绩在80分以上(含80分)的学生中随机抽取2名学生参加“中国谜语大会”,求所抽取的2名学生中至少有一人得分在[90,100]内的概率.

共享时间:2014-06-12 难度:1 相似度:2
232285. (2023•铁一中学•高三上四月) 某研究小组为研究经常锻炼与成绩好差的关系,从全市若干所学校中随机抽取100名学生进行调查,其中有体育锻炼习惯的有45人.经调查,得到这100名学生近期考试的分数的频率分布直方图.记分数在600分以上的为优秀,其余为合格.
  经常锻炼 不经常锻炼 合计
合格 25    
优秀   10  
合计     100
(1)请完成2×2列联表.根据小概率值α=0.01的独立性检验,分析成绩优秀与体育锻炼有没有关系.
(2)现采取分层抽样的方法,从这100人中抽取10人,再从这10人中随机抽取5人进行进一步调查,记抽到5人中优秀的人数为X,求X的分布列.
附:,其中na+b+c+d
P(χ2≥5) 0.050 0.010 0.001
k 3.841 6.635 10.828

共享时间:2023-02-28 难度:1 相似度:2
232870. (2024•西安三中•高二下一月) 为了营造浓厚的读书氛围,激发学生的阅读兴趣,净化学生的精神世界,赤峰市教育局组织了书香校园知识大赛,全市共有500名学生参加知识大赛初赛,所有学生的成绩均在区间[50,100]内,组委会将初赛成绩分成5组:[50,60),[60,70),[70,80),[80,90),[90,100]加以统计,得到如图所示的频率分布直方图.
(1)试估计这500名学生初赛成绩的平均数及中位数(同一组的数据以该组区间的中间值作为代表);(中位数精确到0.01)
(2)组委会在成绩为[60,80)的学生中用分层抽样的方法随机抽取5人,然后再从抽取的5人中任选取2人进行调查,求选取的2人中恰有1人成绩在[60,70)内的概率.

共享时间:2024-04-19 难度:1 相似度:2
167190. (2023•周至四中•一模) 某校组织了600名高中学生参加中国共青团相关的知识竞赛,将竞赛成绩分成[50,60),[60,70),[70,80),[80,90),[90,100]五组,得到如图所示的频率分布直方图.若图中未知的数据abc成等差数列,成绩落在区间[60,70)内的人数为300.
(1)求出频率分布直方图中abc的值;
(2)估计该校学生分数的中位数和平均数(同一组中的数据用该组区间的中点值代替);
(3)现采用分层抽样的方法从分数落在[80,90),[90,100]内的两组学生中抽取6人,再从这6人中随机抽取2人进行现场知识答辩,求抽取的这2人中恰有1人的得分在区间[90,100]内的概率.

共享时间:2023-03-04 难度:1 相似度:2
233439. (2023•铁一中学•高一下二月) 我校举行的“青年歌手大选赛”吸引了众多有才华的学生参赛.为了了解本次比赛成绩情况,从中抽取了50名学生的成绩(得分取正整数,满分为100分)作为样本进行统计.请根据下面尚未完成并有局部污损的频率分布表和频率分布直方图(如图所示)解决下列问题:
(1)求出abxy的值;
(2)在选取的样本中,从成绩是80分以上(含80分)的同学中随机抽取2名同学参加元旦晚会,求所抽取的2名同学中至少有1名同学来自第5组的概率;
(3)根据频率分布直方图,估计这50名学生成绩的众数、中位数和平均数.
频率分布表
        
组别
分组 频数 频率
第1组 [50,60) 8 0.16
第2组 [60,70) a
第3组 [70,80) 20 0.40
第4组 [80,90) 0.08
第5组 [90,100] 2 b
  合计

共享时间:2023-06-22 难度:1 相似度:2
233475. (2023•铁一中学•高二下三月) 某村为提高村民收益,种植了一批蜜柚,现为了更好地销售,从该村的蜜柚树上随机摘下了100个蜜柚进行测重,测得其质量(单位:克)均分布在区间[1500,3000]内,并绘制了如图所示的频率分布直方图:
(1)按分层随机抽样的方法从质量落在区间[1750,2000),[2000,2250)的蜜柚中随机抽取5个,再从这5个蜜柚中随机抽取2个,求这2个蜜柚质量均小于2000克的概率;
(2)以各组数据的中间数值代表这组数据的平均水平,以频率代表概率,已知该村的蜜柚树上大约还有5000个蜜柚待出售,某电商提出两种收购方案:
A.所有蜜柚均以40元/千克收购;
B.低于2250克的蜜柚以60元/个的价格收购,高于或等于2250克的蜜柚以80元/个的价格收购.
请你通过计算为该村选择收益最好的方案.

共享时间:2023-07-19 难度:1 相似度:2
235983. (2020•交大附中•高二上期末) 海水养殖场进行某水产品的新、旧网箱养殖方法的产量对比,收获时各随机抽取了100个网箱,测量各箱水产品的产量(单位:kg),其频率分布直方图如图:
(1)记A表示事件“旧养殖法的箱产量低于50kg”,估计A的概率;
(2)写出新养殖法的箱产量的众数;
(3)填写下面列联表,并根据列联表判断是否有99%的把握认为箱产量与养殖方法有关:
  箱产量<50kg 箱产量≥50kg
旧养殖法    
新养殖法    
附:
PK2k 0.050 0.010 0.001
k 3.841 6.635 10.828

共享时间:2020-02-16 难度:1 相似度:2

dygzsxyn

2016-06-26

高中数学 | | 解答题

  • 下载量
  • 浏览量
  • 收益额
  • 0
  • 7
  • 0
相同试题
试题下载
试题内容
调用试题名称
共享人
唐老师
试题题型
解答题
试题难度
试题题源
2020*西工大*期末
下载次数
168次
下载金币
5德优币(当前结余18德优币)
温馨提示
该试题下载至自主题库后,下载、备课永久免费!
试卷设置
试卷名称
省市校区
阶段科目
年份卷型
选择类型
已选考点
在线训练
视频讲解
温馨提示
视频讲解正在加载中、请等待!
温馨提示
对不起!这是别人共享的试题,需要下载到自主题库后,可将该试题添加到白板
视频解析购买
支付方式
德优币数
本次消耗0德优币
温馨提示

客服电话:400-816-0029,服务邮箱:610066832@qq.com

视频资源

试题找茬
纠错类型
纠错描述
温馨提示
共享试题、试卷经平台审核通过后方可展示,并永久享用用户下载分红权!