首页 | 客服 | 上传赚现
AI助手
德优题库AI助手

AI助手

搜题▪组卷

(1)

服务热线

400-816-0029

    自建题库,共享分红

德优题库QQ交流群

230957. (2017•西工大附中•六模) 已知椭圆C中心在原点,焦点在坐标轴上,直线与椭圆C在第一象限内的交点是M,点Mx轴上的射影恰好是椭圆C的右焦点F2,椭圆C另一个焦点是F1,且
(Ⅰ)求椭圆C的方程;
(Ⅱ)直线l过点(﹣1,0),且与椭圆C交于PQ两点,求△F2PQ的内切圆面积的最大值.
共享时间:2017-05-26 难度:2
[考点]
椭圆的标准方程,直线与圆锥曲线的综合,
[答案]
(Ⅰ)椭圆C方程为
(Ⅱ)△F2PQ的内切圆面积的最大值为
[解析]
解:(Ⅰ)根据直线与椭圆C在第一象限内的交点是M,点Mx轴上的射影恰好是椭圆C的右焦点F2
可知焦点在x轴上且M点坐标(c).F1(﹣c,0),F2c,0).

,∴c=1.设椭圆C方程:
M点坐标(1,)代入椭圆C方程得
又∵c=1,∴a=2,b
∴椭圆C方程为
(Ⅱ)直线l过点(﹣1,0),且与椭圆C交于PQ两点,
则△F2PQ的周长为4a=8,则•4arr为三角形内切圆半径),
要使△F2PQ的内切圆面积最大,即使△F2PQ的面积最大,
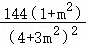
F2F1为定长,△F2PQ的面积为•2|y1y2|,(y1y2分别为PQ的纵坐标),
可设直线l的方程为xmy﹣1,代入椭圆方程可得(4+3m2y2﹣6my﹣9=0,
y1+y2y1y2=﹣
|y1y2|2=(y1+y22﹣4y1y2
显然m=0上式取得最大值,
∴当且仅当直线L过(﹣1,0),与x轴垂直时△F2PQ的面积最大.
此时P(﹣1,),Q(﹣1,﹣
∴|F2P|=|F2Q|=,|PQ|=3.
设△F2PQ的内切圆半径为r,则
r,其面积S
[点评]
本题考查了"椭圆的标准方程,直线与圆锥曲线的综合,",属于"易错题",熟悉题型是解题的关键。
转载声明:
本题解析属于发布者收集录入,如涉及版权请向平台申诉! !版权申诉
276. (2014•陕西省•真题) 已知椭圆+=1ab0)经过点(0),离心率为,左右焦点分别为F1(﹣c0),F2c0).
)求椭圆的方程;
)若直线ly=x+m与椭圆交于AB两点,与以F1F2为直径的圆交于CD两点,且满足=,求直线l的方程.
                                                                                                                                         
共享时间:2014-07-07 难度:4 相似度:2
170124. (2023•铁一中学•高三上期末) 已知椭圆经过点(pq),离心率.其中pq分别表示标准正态分布的期望值与标准差.
(1)求椭圆C的方程;
(2)设直线xmy+1与椭圆C交于AB两点,点A关于x轴的对称点为A'.①试建立△AOB的面积关于m的函数关系;②莆田十中高三(1)班数学兴趣小组通过试验操作初步推断:“当m变化时,直线A'Bx轴交于一个定点”.你认为此推断是否正确?若正确,请写出定点坐标,并证明你的结论;若不正确,请说明理由.

共享时间:2023-02-08 难度:2 相似度:2
168804. (2021•西工大附中•十三模) 已知椭圆C+=1(ab>0)的左、右焦点分别为F1F2,点M(0,2)是椭圆的一个顶点,△F1MF2是等腰直角三角形.
(1)求椭圆C的方程;
(2)设点P是椭圆C上一动点,求线段PM的中点Q的轨迹方程;
(3)过点M分别作直线MAMB交椭圆于AB两点,设两直线的斜率分别为k1k2,且k1+k2=8,探究:直线AB是否过定点,并说明理由.
共享时间:2021-07-22 难度:2 相似度:2
166369. (2024•长安区一中•高三上四月) 设椭圆+=1(ab>0)的左焦点为F,上顶点为B.已知椭圆的离心率为,点A的坐标为(b,0),且|FB|•|AB|=6
(Ⅰ)求椭圆的方程;
(Ⅱ)设直线lykxk>0)与椭圆在第一象限的交点为P,且l与直线AB交于点Q.若sin∠AOQO为原点),求k的值.
共享时间:2024-02-12 难度:2 相似度:2
169787. (2023•师大附中•高二上期末) 椭圆C的中心在坐标原点焦点在x轴上,右焦点F的坐标为(2,0),且点F到短轴的一个端点的距离是
(Ⅰ)求椭圆C的方程;
(Ⅱ)过点F作斜率为k的直线l,与椭圆C交于AB两点,若>﹣,求k的取值范围.
共享时间:2023-02-13 难度:2 相似度:2
168435. (2021•西安中学•七模) 如图,已知椭圆的离心率为E的左顶点为A、上顶点为B,点P在椭圆上,且△PF1F2的周长为
(Ⅰ)求椭圆的方程;
(Ⅱ)设CD是椭圆E上两不同点,CDAB,直线CDx轴、y轴分别交于MN两点,且的取值范围.

共享时间:2021-06-06 难度:1 相似度:1.5
168919. (2021•高陵一中•二模) 已知离心率为的椭圆C的一个顶点恰好是抛物线x2=4y的焦点,过点M(4,0)且斜率为k的直线交椭圆CAB两点.
(Ⅰ)求椭圆C的方程;
(Ⅱ)求k的取值范围;
(Ⅲ)若k≠0,AP关于x轴对称,直线BPx轴于N,求证:|ON|为定值.
共享时间:2021-03-23 难度:1 相似度:1.5
166877. (2024•西安八十三中•高二上二月) .已知动圆P与圆相切,且与圆相内切,记圆心P的轨迹为曲线C
(1)求曲线C的方程;
(2)设Q为曲线C上的一个不在x轴上的动点,过点F2OQO为坐标原点)的平行线交曲线CMN两个不同的点,记△QMN的面积为S,求S的最大值.
共享时间:2024-12-23 难度:1 相似度:1.5
168620. (2021•西安中学•二模) 已知离心率为的椭圆C的一个顶点恰好是抛物线x2=4y的焦点,过点M(4,0)且斜率为k的直线交椭圆CAB两点.
(Ⅰ)求椭圆C的方程;
(Ⅱ)求k的取值范围;
(Ⅲ)若k≠0,AP关于x轴对称,直线BPx轴于N,求证:|ON|为定值.
共享时间:2021-03-17 难度:1 相似度:1.5
169792. (2023•师大附中•高二上期末) 如图,已知椭圆,过其左焦点且斜率为1的直线与椭圆及其准线的交点从左到右的顺序为ABCD,设fm)=||AB|﹣|CD||.
(1)求fm)的解析式;
(2)求fm)的最值.

共享时间:2023-02-13 难度:1 相似度:1.5
166680. (2024•高新一中•高二上二月) 在平面直角坐标系xOy中,已知点,||MF1|﹣|MF2||=4,动点M的轨迹为C
(Ⅰ)求C的方程;
(Ⅱ)若直线ly=﹣x+tCAB两点,且|AB|=2,求直线l的方程.
共享时间:2024-12-27 难度:1 相似度:1.5
168713. (2021•西安中学•仿真) 如图,椭圆C1的一个顶点为P(0,﹣1),离心率为l1l2是过点P且互相垂直的两条直线,其中,l1交圆C2x2+y2=4于AB两点,l2交椭圆C1于另一点D
(Ⅰ)求椭圆C1的方程;
(Ⅱ)若△ABD面积为,求直线l1的方程.

共享时间:2021-06-05 难度:1 相似度:1.5
169194. (2020•交大附中•三模) 已知椭圆C1+=1的离心率与双曲线y2=1的离心率互为倒数,直线lyx+2与以原点为圆心,以椭圆C1的短半轴长为半径的圆相切.
(1)求椭圆C1的方程;
(2)设椭圆C1的左焦点为F1,右焦点为F2,直线l1过点F1且垂直于椭圆的长轴,动直线l2垂直l1于点P,线段PF2垂直平分线交l2于点M,求点M的轨迹C2的方程;
(3)设第(2)问中的C2x轴交于点Q,不同的两点RSC2上,且满足,求的取值范围.
共享时间:2020-04-15 难度:1 相似度:1.5
168735. (2021•西安中学•仿真) 如图,椭圆C1的一个顶点为P(0,﹣1),离心率为l1l2是过点P且互相垂直的两条直线,其中,l1交圆C2x2+y2=4于AB两点,l2交椭圆C1于另一点D
(Ⅰ)求椭圆C1的方程;
(Ⅱ)求△ABD面积取最大值时,直线l1的方程.

共享时间:2021-06-10 难度:1 相似度:1.5
166606. (2024•华清中学•高二上二月) 已知椭圆的离心率为,且过点A(0,1).
(1)求椭圆C的方程;
(2)已知点MN在椭圆C上,且AMAN,证明:直线MN过定点.
共享时间:2024-12-25 难度:5 相似度:1.5

dygzsxyn

2017-05-26

高中数学 | | 解答题

  • 下载量
  • 浏览量
  • 收益额
  • 0
  • 3
  • 0
相同试题
试题下载
试题内容
调用试题名称
共享人
唐老师
试题题型
解答题
试题难度
试题题源
2020*西工大*期末
下载次数
168次
下载金币
5德优币(当前结余18德优币)
温馨提示
该试题下载至自主题库后,下载、备课永久免费!
试卷设置
试卷名称
省市校区
阶段科目
年份卷型
选择类型
已选考点
在线训练
视频讲解
温馨提示
视频讲解正在加载中、请等待!
温馨提示
对不起!这是别人共享的试题,需要下载到自主题库后,可将该试题添加到白板
视频解析购买
支付方式
德优币数
本次消耗0德优币
温馨提示

客服电话:400-816-0029,服务邮箱:610066832@qq.com

视频资源

试题找茬
纠错类型
纠错描述
温馨提示
共享试题、试卷经平台审核通过后方可展示,并永久享用用户下载分红权!