首页 | 客服 | 上传赚现
AI助手
德优题库AI助手

AI助手

搜题▪组卷

(1)

服务热线

400-816-0029

    自建题库,共享分红

德优题库QQ交流群

167904. (2024•西安八十九中•三模) 已知函数fx)=|2x+1|+|x+m|(其中m∈[﹣1,0]).

(Ⅰ)在给定的平面直角坐标系中画出时函数fx)的图象;
(Ⅱ)求函数fx)的图象与直线y=3围成多边形的面积的最大值,并指出面积最大时m的值.
共享时间:2024-04-02 难度:2
[考点]
函数的图象与图象的变换,分段函数的应用,
[答案]
(Ⅰ)图象见解析;
(Ⅱ)函数yfx)的图象与直线y=3围成多边形的面积的最大值为,此时m=0.
[解析]
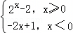
解:(Ⅰ)当时,fx)=|2x+1|+|x|=
在坐标平面内作出函数fx)的图象,如图:

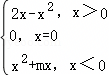
(Ⅱ)依题意,fx)=|2x+1|+|x+m|=,其图象如图:

y=3,得函数yfx)的图象与直线y=3的两个交点
直线yx+1﹣m与直线y=3交于点E(2+m,3),
显然f(﹣m)=1﹣2m,即点C(﹣m,1﹣2m),
函数yfx)的图象与直线y=3围成多边形为四边形ABCD
其面积为:S四边形ABCDSABESCDE[(2+m)﹣(﹣)]×[3﹣()]﹣[3﹣(1﹣2m)]=
显然函数在[﹣1,0]上单调递增,
m=0时,
所以函数yfx)的图象与直线y=3围成多边形的面积的最大值为,此时m=0.
[点评]
本题考查了"函数的图象与图象的变换,分段函数的应用,",属于"易错题",熟悉题型是解题的关键。
转载声明:
本题解析属于发布者收集录入,如涉及版权请向平台申诉! !版权申诉
考点说明
灰色代表去掉的考点,绿色代表未变动的考点,红色代表新增的考点
238012. (2015•西安中学•高一上期中) 已知函数fx)=是奇函数,
(1)求实数m的值;
(2)画出函数yfx)的图象(不用列表),并根据图象写出该函数的单调区间;
(3)若函数yfx)在区间[﹣1,a﹣2]上单调递增,求实数a的取值范围.
共享时间:2015-11-26 难度:1 相似度:1.5
237104. (2021•西工大附中•高一上期中) 已知函数fx)的定义域为(0,+∞),且是奇函数.
(1)求fx)的表达式;
(2)若fx)在[ab]上的值域是,求证:ab是方程的两个根.
共享时间:2021-11-30 难度:1 相似度:1.5
271822. (2022•鄠邑二中•高三上一月) 德优题库已知函数f(x)=x2-2|x|-1(-3≤x≤3).
(1)证明f(x)是偶函数;
(2)画出这个函数的图象;
(3)求函数f(x)的值域.
共享时间:2022-10-23 难度:1 相似度:1.5
169398. (2024•西安中学•高三上期末) 已知函数fx)=|x﹣2|,gx)=|2x+3|﹣|2x﹣1|.
(1)画出yfx)和ygx)的图像;
(2)若fx+a)≥gx),求a的取值范围.

共享时间:2024-02-08 难度:1 相似度:1.5
237974. (2015•师大附中•高一上期中) 某商品在近30天内每件的销售价格p(元)与时间t(天)的函数关系是p,该商品的日销售量Q(件)与时间t(天)的函数关系是Q=﹣t+40(0<t≤30,t∈N),求这种商品的日销售金额的最大值,并指出日销售金额最大的一天是30天中的第几天?
共享时间:2015-11-17 难度:1 相似度:1.5
170729. (2020•西安中学•高一上期末) 近年来,雾霾日趋严重,我们的工作、生活受到了严重的影响,如何改善空气质量已成为当今的热点问题.某空气净化器制造厂,决定投入生产某型号的空气净化器,根据以往的生产销售经验得到下面有关生产销售的统计规律:每生产该型号空气净化器x(百台),其总成本为Px)(万元),其中固定成本为12万元,并且每生产1百台的生产成本为10万元(总成本=固定成本+生产成本).销售收入Qx)(万元)满足Qx)=,假定该产品产销平衡(即生产的产品都能卖掉),根据以上统计规律,请完成下列问题:
(1)求利润函数yfx)的解析式(利润=销售收入﹣总成本);
(2)工厂生产多少百台产品时,可使利润最多?
共享时间:2020-02-05 难度:1 相似度:1.5
172027. (2022•西工大附中•高一上期中) 通过研究学生的学习行为,心理学家发现,学生的接受能力依赖于老师引入概念和描述问题所用的时间:讲授开始时,学生的兴趣激增;中间有一段不太长的时间,学生的兴趣保持较理想的状态;随后学生的注意力开始分散.分析结果和实验表明,用fx)表示学生掌握和接受概念的能力(fx)的值越大,表示学生的接受能力越强),x表示提出和讲授概念的时间(单位:min),可有以下公式:fx)=
(1)讲课开始后5min和讲课开始后20min比较,何时学生的注意力更集中?
(2)讲课开始后多少分钟,学生的注意力最集中,能持续多久?
(3)一道数学难题,需要讲解13min,并且要求学生的注意力至少达到55,那么老师能否在学生达到所需状态下讲授完这道题目?请说明理由.
共享时间:2022-11-22 难度:1 相似度:1.5
172138. (2022•碑林区•高一上期中) 通过研究学生的学习行为,心理学家发现,学生的接受能力依赖于老师引入概念和描述问题所用的时间:讲授开始时,学生的兴趣激增;中间有一段不太长的时间,学生的兴趣保持较理想的状态;随后学生的注意力开始分散.分析结果和实验表明,用fx)表示学生掌握和接受概念的能力(fx)的值越大,表示学生的接受能力越强),x表示提出和讲授概念的时间(单位:min),可有以下公式:fx)=
(1)讲课开始后5min和讲课开始后20min比较,何时学生的注意力更集中?
(2)讲课开始后多少分钟,学生的注意力最集中,能持续多久?
(3)一道数学难题,需要讲解13min,并且要求学生的注意力至少达到55,那么老师能否在学生达到所需状态下讲授完这道题目?请说明理由.
共享时间:2022-11-15 难度:1 相似度:1.5
233144. (2023•师大附中•高一下二月) 已知函数fx)=ln(1﹣xln(1+x),现提供fx)的大致图象的8个选项:

(1)请你作出选择,你选的是 E 
(2)对于函数图象的判断,往往只需了解函数的基本性质.为了验证你的选择的正确性,请你解决
下列问题:
fx)的定义域是 (﹣1,1) 
②就奇偶性而言,fx)是 偶函数 
③当0<x<1时,fx)的符号为正还是负?并证明你的结论.
(解决了上述三个问题,你要调整你的选项,还来得及.)
共享时间:2023-06-16 难度:1 相似度:1.5
237972. (2015•师大附中•高一上期中) 已知函数y=|x|•(x﹣4),试完成以下问题:
(Ⅰ)在如图所示平面直角坐标系中画出该函数的图象;
(Ⅱ)利用图象直接回答:当方程|x|(x﹣4)=k分别有一解、两解、三解时,k的取值范围.

共享时间:2015-11-17 难度:1 相似度:1.5
237853. (2017•高新一中•高一上期中) fx)=|lgx|,ab为实数,且0<ab,若ab满足fa)=fb)=2f),试写出ab的关系,并证明这一关系中存在b满足3<b<4.
共享时间:2017-11-20 难度:1 相似度:1.5
236717. (2016•西北大附中•高二下期末) 设奇函数fx)的定义域为[﹣5,5],当x∈[0,5]时,函数yfx)的图象如图所示,则使函数值y<0的x的取值集合为       

共享时间:2016-07-10 难度:1 相似度:1.5
238054. (2025•交大附中•高一上期中) 1)函数y=log2x﹣1)的图象是由y=log2x的图象如何变化得到的?
(2)在右边的坐标系中作出y=|log2x﹣1)|的图象.
(3)设函数y与函数y=|log2x﹣1)|的图象的两个交点的横坐标分别为x1x2,设Mx1x2﹣2(x1+x2)+4,请判断M的符号.
共享时间:2015-11-12 难度:2 相似度:1
237639. (2019•西工大附中•高一上期中) .已知函数fx)=x|x|.
(1)画出yfx)图象并直接写出单调区间;
(2)证明:f(3)fxa)=f[3(xa)];
(3)不等式4fx)+9fxa)≥0,对任意x∈[﹣3,1]恒成立,求实数a的取值范围.
共享时间:2019-11-29 难度:2 相似度:1
236153. (2018•西安中学•高二下期末) 已知函数fx)=|x+1|﹣|2x﹣3|.
(Ⅰ)在图中画出yfx)的图象;
(Ⅱ)求不等式|fx)|>1的解集.

共享时间:2018-07-19 难度:2 相似度:1

qh@dyw.com

2024-04-02

高中数学 | | 解答题

  • 下载量
  • 浏览量
  • 收益额
  • 0
  • 11
  • 0
相同试题
试题下载
试题内容
调用试题名称
共享人
唐老师
试题题型
解答题
试题难度
试题题源
2020*西工大*期末
下载次数
168次
下载金币
5德优币(当前结余18德优币)
温馨提示
该试题下载至自主题库后,下载、备课永久免费!
试卷设置
试卷名称
省市校区
阶段科目
年份卷型
选择类型
已选考点
在线训练
视频讲解
温馨提示
视频讲解正在加载中、请等待!
温馨提示
对不起!这是别人共享的试题,需要下载到自主题库后,可将该试题添加到白板
视频解析购买
支付方式
德优币数
本次消耗0德优币
温馨提示

客服电话:400-816-0029,服务邮箱:610066832@qq.com

视频资源

试题找茬
纠错类型
纠错描述
温馨提示
共享试题、试卷经平台审核通过后方可展示,并永久享用用户下载分红权!