首页 | 客服 | 上传赚现
AI助手
德优题库AI助手

AI助手

搜题▪组卷

(1)

服务热线

400-816-0029

    自建题库,共享分红

德优题库QQ交流群

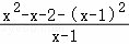
278349. (2025•铁一陆港初级中学•十模) 先化简:,再从﹣3,﹣1,1,3中选取一个使原式有意义的数代入求值.
共享时间:2025-06-24 难度:2
[考点]
分式有意义的条件,分式的化简求值,
[答案]
x+1,﹣2.
[解析]
解:原式=


x+1,
x﹣1≠0,x﹣3≠0,x+1≠0,
x≠1,3,﹣1.
∴当x=﹣3时,原式=﹣3+1=﹣2.
[点评]
本题考查了"分式有意义的条件,分式的化简求值,",属于"必考题",熟悉题型是解题的关键。
转载声明:
本题解析属于发布者收集录入,如涉及版权请向平台申诉! !版权申诉
考点说明
灰色代表去掉的考点,绿色代表未变动的考点,红色代表新增的考点
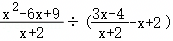
211400. (2025•铁一湖滨中学•八模) 化简:,并在﹣1、0、1、2中选一个你喜欢的数求值
共享时间:2025-06-15 难度:2 相似度:2
172939. (2024•高新一中•九上一月) 先化简,再求值:,其中x从﹣3,﹣1,1,3中选择一个适当的数.
共享时间:2024-10-23 难度:1 相似度:1.5
181176. (2023•爱知中学•九上四月) 已知x=﹣2,求代数式的值.
共享时间:2023-01-10 难度:1 相似度:1.5
179950. (2024•高新陆港•八下期中) 先化简,再求值:,其中﹣1≤a≤2,选取一个合适的整数.
共享时间:2024-05-16 难度:1 相似度:1.5
179924. (2024•铁一中学•八下期中) 先化简,再求值:,其中m=﹣1.
共享时间:2024-05-30 难度:1 相似度:1.5
179899. (2024•爱知中学•八下期中) 分式计算
(1)化简:
(2)先化简,再求值:,其中a从﹣2,﹣1,0中的一个合适数代入求值.
共享时间:2024-05-12 难度:1 相似度:1.5
179676. (2025•铁一中学•八下期中) 先化简:,再从0,1,2,3中选择一个适当的数代入求值.
 
共享时间:2025-05-22 难度:1 相似度:1.5
179130. (2025•师大附中•八下期中) 先化简:,再从1,2,3,4这四个数中取一个你喜欢的数作为x的值代入求值.
共享时间:2025-05-21 难度:1 相似度:1.5
173997. (2024•西工大附中•九上一月) 先化简再求值:,其中x=﹣2
共享时间:2024-10-27 难度:1 相似度:1.5
173203. (2024•西光中学•九上二月) 计算:先化简,再求值:,其中
共享时间:2024-12-10 难度:1 相似度:1.5
288172. (2018•铁一中学•一模) 先化简,再求值,其中x=﹣2
共享时间:2018-03-05 难度:1 相似度:1.5
289800. (2016•铁一中学•五模) 先化简,再求值÷(),其中x2﹣2x﹣8=0.
共享时间:2016-05-02 难度:1 相似度:1.5
181417. (2024•未央区•八下二月) 先化简,再求值:(1﹣)÷,其中x
共享时间:2024-06-11 难度:1 相似度:1.5
288047. (2018•爱知中学•三模) 先化简,再求值:÷(1﹣),其中x
共享时间:2018-04-06 难度:1 相似度:1.5
287851. (2019•滨河中学•五模) 先化简代数式,再从﹣2,0,1,3中选一个合适的数代入求值.
共享时间:2019-05-04 难度:1 相似度:1.5

csyn@dyw.com

2025-06-24

初中数学 | | 解答题

  • 下载量
  • 浏览量
  • 收益额
  • 0
  • 17
  • 0
相同试题
试题下载
试题内容
调用试题名称
共享人
唐老师
试题题型
解答题
试题难度
试题题源
2020*西工大*期末
下载次数
168次
下载金币
5德优币(当前结余18德优币)
温馨提示
该试题下载至自主题库后,下载、备课永久免费!
试卷设置
试卷名称
省市校区
阶段科目
年份卷型
选择类型
已选考点
在线训练
视频讲解
温馨提示
视频讲解正在加载中、请等待!
温馨提示
对不起!这是别人共享的试题,需要下载到自主题库后,可将该试题添加到白板
视频解析购买
支付方式
德优币数
本次消耗0德优币
温馨提示

客服电话:400-816-0029,服务邮箱:610066832@qq.com

视频资源

试题找茬
纠错类型
纠错描述
温馨提示
共享试题、试卷经平台审核通过后方可展示,并永久享用用户下载分红权!