首页 | 客服 | 上传赚现
AI助手
德优题库AI助手

AI助手

搜题▪组卷

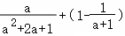
(1)

服务热线

400-816-0029

    自建题库,共享分红

德优题库QQ交流群

179899. (2024•爱知中学•八下期中) 分式计算
(1)化简:
(2)先化简,再求值:,其中a从﹣2,﹣1,0中的一个合适数代入求值.
共享时间:2024-05-12 难度:1
[考点]
分式的化简求值,
[答案]
(1)2;
(2),0.
[解析]
解:(1)



=2;
(2)



根据分式有意义的条件可得:a+1≠0,
a≠﹣1,
a=0,
a=0时,原式=0.
[点评]
本题考查了"分式的化简求值,",属于"基础题",熟悉题型是解题的关键。
转载声明:
本题解析属于发布者收集录入,如涉及版权请向平台申诉! !版权申诉
考点说明
灰色代表去掉的考点,绿色代表未变动的考点,红色代表新增的考点
283176. (2023•高新一中•三模) 先化简,再从﹣3,0,3中给x选一个你喜欢的数代入求值.
共享时间:2023-04-02 难度:1 相似度:2
179676. (2025•铁一中学•八下期中) 先化简:,再从0,1,2,3中选择一个适当的数代入求值.
 
共享时间:2025-05-22 难度:1 相似度:2
181563. (2024•曲江一中•八下二月) 先化简:,然后在﹣1,2,3中选一个你认为合适的数代入求
共享时间:2024-06-21 难度:1 相似度:2
181421. (2024•未央区•八下二月) 已知
(1)当m>0时,比较AB与0的大小,并说明理由;
(2)设,若m为整数,求整数y的值.
共享时间:2024-06-11 难度:1 相似度:2
181417. (2024•未央区•八下二月) 先化简,再求值:(1﹣)÷,其中x
共享时间:2024-06-11 难度:1 相似度:2
181243. (2024•西光中学•八下二月) 先化简,再求值,其中x=﹣3.
共享时间:2024-06-24 难度:1 相似度:2
181176. (2023•爱知中学•九上四月) 已知x=﹣2,求代数式的值.
共享时间:2023-01-10 难度:1 相似度:2
179950. (2024•高新陆港•八下期中) 先化简,再求值:,其中﹣1≤a≤2,选取一个合适的整数.
共享时间:2024-05-16 难度:1 相似度:2
179924. (2024•铁一中学•八下期中) 先化简,再求值:,其中m=﹣1.
共享时间:2024-05-30 难度:1 相似度:2
179130. (2025•师大附中•八下期中) 先化简:,再从1,2,3,4这四个数中取一个你喜欢的数作为x的值代入求值.
共享时间:2025-05-21 难度:1 相似度:2
185345. (2024•师大附中•八下期中) 先化简(x﹣1﹣)÷,然后从﹣1,1,2这三个数中选一个合适的数代入求值.
共享时间:2024-05-23 难度:1 相似度:2
173997. (2024•西工大附中•九上一月) 先化简再求值:,其中x=﹣2
共享时间:2024-10-27 难度:1 相似度:2
173203. (2024•西光中学•九上二月) 计算:先化简,再求值:,其中
共享时间:2024-12-10 难度:1 相似度:2
172939. (2024•高新一中•九上一月) 先化简,再求值:,其中x从﹣3,﹣1,1,3中选择一个适当的数.
共享时间:2024-10-23 难度:1 相似度:2
289800. (2016•铁一中学•五模) 先化简,再求值÷(),其中x2﹣2x﹣8=0.
共享时间:2016-05-02 难度:1 相似度:2

dg@dyw.com

2024-05-12

初中数学 | 八年级下 | 解答题

  • 下载量
  • 浏览量
  • 收益额
  • 0
  • 63
  • 0
相同试题
试题下载
试题内容
调用试题名称
共享人
唐老师
试题题型
解答题
试题难度
试题题源
2020*西工大*期末
下载次数
168次
下载金币
5德优币(当前结余18德优币)
温馨提示
该试题下载至自主题库后,下载、备课永久免费!
试卷设置
试卷名称
省市校区
阶段科目
年份卷型
选择类型
已选考点
在线训练
视频讲解
温馨提示
视频讲解正在加载中、请等待!
温馨提示
对不起!这是别人共享的试题,需要下载到自主题库后,可将该试题添加到白板
视频解析购买
支付方式
德优币数
本次消耗0德优币
温馨提示

客服电话:400-816-0029,服务邮箱:610066832@qq.com

视频资源

试题找茬
纠错类型
纠错描述
温馨提示
共享试题、试卷经平台审核通过后方可展示,并永久享用用户下载分红权!