首页 | 客服 | 上传赚现
AI助手
德优题库AI助手

AI助手

搜题▪组卷

(1)

服务热线

400-816-0029

    自建题库,共享分红

德优题库QQ交流群

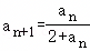
237829. (2018•铁一中学•高二下期中) 已知数列{an}满足a1=1,,(n∈N*).
(1)求a2a3a4的值;
(2)猜想{an}的通项公式,并用数学归纳法证明你的结论.
共享时间:2018-05-28 难度:2
[考点]
数列递推式,数学归纳法,
[答案]
见试题解答内容
[解析]
解:(1)∵a1=1,.∴a2
(2)由a2a3a4的值,可猜想an
证明:①当n=1时,由a1=1得结论成立;
②假设nkk∈N*)时结论成立,
ak
nk+1时,

∴当nk+1时结论成立.
由①②可知,an对任意正整数n都成立.
[点评]
本题考查了"数列递推式,数学归纳法,",属于"必考题",熟悉题型是解题的关键。
转载声明:
本题解析属于发布者收集录入,如涉及版权请向平台申诉! !版权申诉
231515. (2015•西安中学•一模) 已知数列{an}满足:a1=0且=1.
(1)求{an}的通项公式;
(2)令bnn∈N+),数列{bn}的前n项和为Sn,证明:Sn<1.
共享时间:2015-03-05 难度:1 相似度:1.5
170036. (2023•西工大附中•高三上期末) 已知数列{an}的首项为1,Sn为数列的前n项和,Sn+1xSn+1,其中x>0,n∈N*n≥2,
(1)求{an}的通项公式;
(2)证明:函数Fnx)=Sn+1﹣2在内有且仅有一个零点(记为xn)且
共享时间:2023-02-04 难度:1 相似度:1.5
231538. (2015•西安一中•一模) 已知数列{an}满足:a1=0且=1.
(1)求{an}的通项公式;
(2)令bnn∈N+),数列{bn}的前n项和为Sn,证明:Sn<1.
共享时间:2015-03-01 难度:1 相似度:1.5
231465. (2016•西工大附中•九模) 数列{an}的前n项和为Sn,若an+1=﹣4Sn+1,a1=1.
(1)求数列{an}的通项公式;
(2)设bnnan,求数列{bn}的前n项和Tn
共享时间:2016-06-15 难度:2 相似度:1
230793. (2022•临潼区•二模) 已知数列{an}满足n∈N*),bn=log4an
(Ⅰ)求数列{an}的通项公式;
(Ⅱ)求数列的前n项和Tn
共享时间:2022-03-18 难度:2 相似度:1
230816. (2022•临潼区•二模) 已知数列{an}满足n∈N*),bn=log4an
(Ⅰ)求数列{an}的通项公式;
(Ⅱ)求数列的前n项和Tn
共享时间:2022-03-18 难度:2 相似度:1
231072. (2016•西安一中•一模) 已知{an}中,a1=1,其前n项和为Sn,且满足an
(Ⅰ)求证:数列{}是等差数列;
(Ⅱ)证明:S1+S2+S3+…+Sn
共享时间:2016-03-14 难度:2 相似度:1
231096. (2016•西安一中•一模) 设{an}是公比大于1的等比数列,Sn为数列{an}的前n项和.已知S3=7且a1+3,3a2a3+4构成等差数列.
(Ⅰ)求数列{an}的通项公式;
(Ⅱ)令bnlnann=1,2,…,求数列{bn}的前n项和Tn
共享时间:2016-03-14 难度:2 相似度:1
231264. (2016•西工大附中•五模) 已知等差数列{an}的各项均为正数,a1=1,且a2a3a6成等比数列.
(Ⅰ)求an的通项公式;
(Ⅱ)设bn,求数列{bn}的前n项和Sn
共享时间:2016-05-11 难度:2 相似度:1
231288. (2016•西工大附中•五模) 已知等差数列{an}的各项均为正数,a1=1,且a2a3a6成等比数列.
(Ⅰ)求an的通项公式;
(Ⅱ)设bn,求数列{bn}的前n项和Sn
共享时间:2016-05-04 难度:2 相似度:1
231393. (2016•西工大附中•七模) 已知正项数列{an}前n项和为Sn,且2Snan2+n﹣1(n∈N+).
(Ⅰ)求数列{an}通项公式;
(Ⅱ)令bn,求数列{bn}的前n项和Tn
共享时间:2016-06-05 难度:2 相似度:1
231442. (2016•西工大附中•六模) 已知数列{an}各项均为正数,且a1=1,an+12an+1an2+an
(1)求数列{an}的通项公式;
(2)设bn,数列{bn}的前n项和为Tn,求证:Tn<2.
共享时间:2016-05-25 难度:2 相似度:1
232155. (2024•西工大附中•高二下一月) (1)已知数列{an}满足,求an
(2)等比数列{an}的前n项和为Sn,已知S1S3S2成等差数列.
i)求{an}的公比q
ii)若a1a3=3,求Sn
共享时间:2024-04-26 难度:2 相似度:1
166254. (2024•师大附中•高二上二月) 设数列{an}的前n项和为Sn,且a1=1,an+1=2Sn+1.
(1)求数列{an}的通项公式;
(2)设cn=(2n﹣1)•an求数列{cn}的前n项和Tn
共享时间:2024-12-29 难度:2 相似度:1
231563. (2015•西安一中•二模) 数列{an}满足a1=1,n∈N+).
(1)证明:数列是等差数列;
(2)求数列{an}的通项公式an
(3)设bnnn+1)an,求数列{bn}的前n项和Sn
共享时间:2015-03-25 难度:2 相似度:1

dygzsxyn

2018-05-28

高中数学 | 高二下 | 解答题

  • 下载量
  • 浏览量
  • 收益额
  • 0
  • 3
  • 0
相同试题
试题下载
试题内容
调用试题名称
共享人
唐老师
试题题型
解答题
试题难度
试题题源
2020*西工大*期末
下载次数
168次
下载金币
5德优币(当前结余18德优币)
温馨提示
该试题下载至自主题库后,下载、备课永久免费!
试卷设置
试卷名称
省市校区
阶段科目
年份卷型
选择类型
已选考点
在线训练
视频讲解
温馨提示
视频讲解正在加载中、请等待!
温馨提示
对不起!这是别人共享的试题,需要下载到自主题库后,可将该试题添加到白板
视频解析购买
支付方式
德优币数
本次消耗0德优币
温馨提示

客服电话:400-816-0029,服务邮箱:610066832@qq.com

视频资源

试题找茬
纠错类型
纠错描述
温馨提示
共享试题、试卷经平台审核通过后方可展示,并永久享用用户下载分红权!