首页 | 客服 | 上传赚现
AI助手
德优题库AI助手

AI助手

搜题▪组卷

(1)

服务热线

400-816-0029

    自建题库,共享分红

德优题库QQ交流群

237617. (2020•西安中学•高二下期中) 已知a>0,b>0,c>0,且a+b+c=2.
(1)求a2+b+c的取值范围;
(2)求证:++≥18.
共享时间:2020-05-11 难度:1
[考点]
不等式的证明,
[答案]
见试题解答内容
[解析]
解:(1)∵a>0,b>0,c>0且a+b+c=2,
∴2﹣ab+c>0,∴0<a<2,


a2+b+c的取值范围为
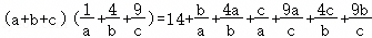
(2)∵a>0,b>0,c>0,



当且仅当时等号成立,
a+b+c=2,∴
[点评]
本题考查了"不等式的证明,",属于"基础题",熟悉题型是解题的关键。
转载声明:
本题解析属于发布者收集录入,如涉及版权请向平台申诉! !版权申诉
231151. (2016•西工大附中•四模) (Ⅰ)已知c>0,关于x的不等式:x+|x﹣2c|≥2的解集为R.
求实数c的取值范围;
(Ⅱ)若c的最小值为m,又pqr是正实数,且满足p+q+r=3m,求证:p2+q2+r2≥3.
共享时间:2016-04-17 难度:1 相似度:2
168347. (2022•长安区一中•三模) .已知abc都为正实数,且a+b+c=3.证明:
(1)
(2)
共享时间:2022-04-07 难度:1 相似度:2
231127. (2016•西工大附中•四模) (Ⅰ)已知c>0,关于x的不等式:x+|x﹣2c|≥2的解集为R.
求实数c的取值范围;
(Ⅱ)若c的最小值为m,又pqr是正实数,且满足p+q+r=3m,求证:p2+q2+r2≥3.
共享时间:2016-04-19 难度:1 相似度:2
171326. (2023•西安中学•高三上期中) a>0,b>0,a+b=2.
(1)证明:≥4;
(2)证明:a3+b3≥2.
共享时间:2023-11-28 难度:1 相似度:2
170769. (2020•西安中学•高二下期末) (Ⅰ)已知不等式x2ax+a﹣2>0(a>2)的解集为(﹣∞,x1)∪(x2,+∞),求的最小值.
(Ⅱ)若正数abc满足a+b+c=2,求证:
共享时间:2020-07-05 难度:1 相似度:2
170643. (2021•长安区一中•高二上期末) (1)证明:exx+1;
(2)证明:lnxx﹣1;
(3)证明:ex﹣1lnx+1).
共享时间:2021-02-28 难度:1 相似度:2
170298. (2022•西安中学•高二上期末) 选择合适的方法求证下列问题:
(Ⅰ)证明:
(Ⅱ)已知:x>0,y>0,且x+3y=1,求证:
共享时间:2022-02-23 难度:1 相似度:2
170038. (2023•西工大附中•高三上期末) 已知函数fx)=|x﹣1|+|x+1|,M为不等式fx)≤2的解集.
(1)求M
(2)证明:当abM,|ab+1|≥|a+b|.
共享时间:2023-02-04 难度:1 相似度:2
169128. (2020•西工大附中•三模) 已知abc均为正实数,且满足a+b+c=3.证明:
(1)+
(2)++
共享时间:2020-04-03 难度:1 相似度:2
168945. (2021•高陵一中•二模) .已知a>0,b>0且a2+b2=2.
(Ⅰ)若使+≥|2x﹣1|﹣|x﹣1|恒成立,求x的取值范围;
(Ⅱ)证明:(+)(a5+b5)≥4.
共享时间:2021-03-30 难度:1 相似度:2
168899. (2021•高新一中•二模) 已知函数fx)=|x+3|+|x﹣1|的最小值为m
(1)求m的值;
(2)若a>0,b>0,a+bm,求证:
共享时间:2021-03-23 难度:1 相似度:2
166701. (2024•高新一中•高一上一月) (1)已知abc∈R,求证:a2+b2+c2+4≥ab+3b+2c
(2)设abc均为正实数,求证:
共享时间:2024-10-24 难度:1 相似度:2
168554. (2021•西安中学•六模) 已知函数fx)=|x+4|+|x|.
(1)解不等式f(2x﹣1)≤6;
(2)记函数fx)的最小值为a,且m2+n2,其中mn均为正实数,求证:
共享时间:2021-05-15 难度:4 相似度:2
168414. (2021•西安中学•十模) 已知函数fx)=+lnxa≠0)
(1)求函数fx)的单调区间;
(2)若fx)≥0在(0,+∞)上恒成立,求a的取值范围;
(3)求证:ln2<ln3(n∈N*
共享时间:2021-07-03 难度:1 相似度:2
168370. (2022•长安区一中•三模) .已知abc都为正实数,且a+b+c=3.证明:
(1)
(2)
共享时间:2022-04-05 难度:1 相似度:2

dygzsxyn

2020-05-11

高中数学 | 高二下 | 解答题

  • 下载量
  • 浏览量
  • 收益额
  • 0
  • 2
  • 0
相同试题
试题下载
试题内容
调用试题名称
共享人
唐老师
试题题型
解答题
试题难度
试题题源
2020*西工大*期末
下载次数
168次
下载金币
5德优币(当前结余18德优币)
温馨提示
该试题下载至自主题库后,下载、备课永久免费!
试卷设置
试卷名称
省市校区
阶段科目
年份卷型
选择类型
已选考点
在线训练
视频讲解
温馨提示
视频讲解正在加载中、请等待!
温馨提示
对不起!这是别人共享的试题,需要下载到自主题库后,可将该试题添加到白板
视频解析购买
支付方式
德优币数
本次消耗0德优币
温馨提示

客服电话:400-816-0029,服务邮箱:610066832@qq.com

视频资源

试题找茬
纠错类型
纠错描述
温馨提示
共享试题、试卷经平台审核通过后方可展示,并永久享用用户下载分红权!