首页 | 客服 | 上传赚现
AI助手
德优题库AI助手

AI助手

搜题▪组卷

(1)

服务热线

400-816-0029

    自建题库,共享分红

德优题库QQ交流群

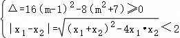
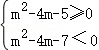
237507. (2020•交大附中•高二上期中) 关于x的方程2x2﹣4(m﹣1)x+m2+7=0的两根之差的绝对值小于2,则实数m的取值范围为                   .
共享时间:2020-11-29 难度:1
[考点]
一元二次方程的根的分布与系数的关系,
[答案]
{m|2﹣m≤﹣1,或5≤m<2+ }.
[解析]
解:∵关于x的方程2x2﹣4(m﹣1)x+m2+7=0的两根之差的绝对值小于2,
,即
求得2﹣m≤﹣1,或5≤m<2+
则实数m的取值范围为{m|2﹣m≤﹣1,或5≤m<2+ },
故答案为:{m|2﹣m≤﹣1,或5≤m<2+ }.
[点评]
本题考查了"一元二次方程的根的分布与系数的关系,",属于"基础题",熟悉题型是解题的关键。
转载声明:
本题解析属于发布者收集录入,如涉及版权请向平台申诉! !版权申诉
169894. (2023•长安区一中•高一上期末) 已知关于x的方程x2+kx+k2+k﹣2=0有两个实数根,且一根大于2,一根小于2,则实数k的取值范围为         
共享时间:2023-02-03 难度:1 相似度:2
170096. (2023•铁一中学•高一上期末) 已知方程x2﹣5xa=0的解集为{x1x2},且|x1x2|=3,则a     
共享时间:2023-02-22 难度:1 相似度:2
170721. (2020•西安中学•高一上期末) 若方程x2﹣2mx+4m=0的两根满足一根大于0,一根小于0,则m的取值范围是       
共享时间:2020-02-05 难度:1 相似度:2
232482. (2023•铁路中学•高一上一月) 已知一元二次方程ax2+bx+c=0(a≠0)的两实数根为2,﹣3,则cx2+bx+a=0的两个实数根之和为        
共享时间:2023-10-29 难度:1 相似度:2
167323. (2023•长安区一中•高三上二月) 若过点Pt,0)可以作曲线y=(1﹣xex的两条切线,切点分别为Ax1y1),Bx2y2),则t的取值范围是                           
共享时间:2023-12-21 难度:2 相似度:1.5

dygzsxyn

2020-11-29

高中数学 | 高二上 | 填空题

  • 下载量
  • 浏览量
  • 收益额
  • 0
  • 3
  • 0
相同试题
试题下载
试题内容
调用试题名称
共享人
唐老师
试题题型
解答题
试题难度
试题题源
2020*西工大*期末
下载次数
168次
下载金币
5德优币(当前结余18德优币)
温馨提示
该试题下载至自主题库后,下载、备课永久免费!
试卷设置
试卷名称
省市校区
阶段科目
年份卷型
选择类型
已选考点
在线训练
视频讲解
温馨提示
视频讲解正在加载中、请等待!
温馨提示
对不起!这是别人共享的试题,需要下载到自主题库后,可将该试题添加到白板
视频解析购买
支付方式
德优币数
本次消耗0德优币
温馨提示

客服电话:400-816-0029,服务邮箱:610066832@qq.com

视频资源

试题找茬
纠错类型
纠错描述
温馨提示
共享试题、试卷经平台审核通过后方可展示,并永久享用用户下载分红权!