首页 | 客服 | 上传赚现
AI助手
德优题库AI助手

AI助手

搜题▪组卷

(1)

服务热线

400-816-0029

    自建题库,共享分红

德优题库QQ交流群

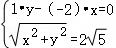
237209. (2021•师大附中•高一下期中) 已知是同一平面内的两个向量,其中=(1,﹣2),||=2
(Ⅰ)若,求向量的坐标;
(Ⅱ)若(2﹣3)•(2+)=﹣20,求的夹角θ的值.
共享时间:2021-05-17 难度:1
[考点]
平面向量数量积的坐标运算,
[答案]
见试题解答内容
[解析]
解:(Ⅰ)设,根据条件,则:

解得,或
,或(2,﹣4);
(Ⅱ)

解得



[点评]
本题考查了"平面向量数量积的坐标运算,",属于"基础题",熟悉题型是解题的关键。
转载声明:
本题解析属于发布者收集录入,如涉及版权请向平台申诉! !版权申诉
168709. (2021•西安中学•仿真) 设向量
(1)若,求x的值;
(2)设函数,求fx)的最大值.
共享时间:2021-06-05 难度:1 相似度:2
168732. (2021•西安中学•仿真) 设向量
(1)若,求x的值;
(2)设函数,求fx)的最大值.
共享时间:2021-06-10 难度:1 相似度:2
236329. (2017•长安区一中•高一上期末) 如图所示,AB分别是单位圆与x轴、y轴正半轴的交点,点P在单位圆上,∠AOP=θ(0<θ<π),C点坐标为(﹣2,0),平行四边形OAQP的面积为S
(1)求+S的最大值;
(2)若CBOP,求sin(2θ﹣)的值.

共享时间:2017-02-16 难度:2 相似度:1.5

dygzsxyn

2021-05-17

高中数学 | 高一下 | 解答题

  • 下载量
  • 浏览量
  • 收益额
  • 0
  • 3
  • 0
相同试题
试题下载
试题内容
调用试题名称
共享人
唐老师
试题题型
解答题
试题难度
试题题源
2020*西工大*期末
下载次数
168次
下载金币
5德优币(当前结余18德优币)
温馨提示
该试题下载至自主题库后,下载、备课永久免费!
试卷设置
试卷名称
省市校区
阶段科目
年份卷型
选择类型
已选考点
在线训练
视频讲解
温馨提示
视频讲解正在加载中、请等待!
温馨提示
对不起!这是别人共享的试题,需要下载到自主题库后,可将该试题添加到白板
视频解析购买
支付方式
德优币数
本次消耗0德优币
温馨提示

客服电话:400-816-0029,服务邮箱:610066832@qq.com

视频资源

试题找茬
纠错类型
纠错描述
温馨提示
共享试题、试卷经平台审核通过后方可展示,并永久享用用户下载分红权!