首页 | 客服 | 上传赚现
AI助手
德优题库AI助手

AI助手

搜题▪组卷

(1)

服务热线

400-816-0029

    自建题库,共享分红

德优题库QQ交流群

237187. (2021•高新一中•高二上期中) 设椭圆的四个顶点围成的菱形的面积为4,且点M(0,﹣1)为椭圆上一点.抛物线Ny2=2pxp>0)的焦点F与点M关于直线y=﹣x对称.
(1)求椭圆W及抛物线N的方程;
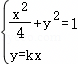
(2)直线lykxk<0)与椭圆交于AB,与抛物线N交于D(异于原点),若,求四边形AMBF的面积.
共享时间:2021-11-18 难度:1
[考点]
直线与圆锥曲线的综合,
[答案]
(1)y2=4x
(2)
[解析]
解:(1)由题意可知,b=1,有,所以ab=2,所以a=2,
所以椭圆W的方程为M(0,﹣1)关于y=﹣x对称的点为(1,0),
所以F(1,0),
所以抛物线N的方程:y2=4x
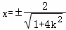
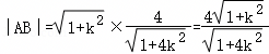
(2)由直线l的方程:ykxk<0)则,得(1+4k2x2=4,
所以,所以
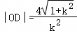
联立,所以,所以
,所以,所以k2=1,k=﹣1,
因为F(1,0)到l的距离为,且
所以△ABF的面积,,由对称性可知,△ABM的面积等于△ABF的面积,
所以四边形AMBF的面积
[点评]
本题考查了"直线与圆锥曲线的综合,",属于"常考题",熟悉题型是解题的关键。
转载声明:
本题解析属于发布者收集录入,如涉及版权请向平台申诉! !版权申诉
170893. (2024•师大附中•高二上期中) 北京时间2022年4月16日9时56分,神舟十三号载人飞船返回舱在东风着陆场成功着陆,全国人民都为我国的科技水平感到自豪.某学校科技小组在计算机上模拟航天器变轨返回试验.如图,航天器按顺时针方向运行的轨迹方程为,变轨(即航天器运行轨迹由椭圆变为抛物线)后返回的轨迹是以y轴为对称轴,为顶点的抛物线的一部分(从点C到点B).已知观测点A的坐标(6,0),当航天器与点A距离为4时,指挥中心向航天器发出变轨指令;(1)求航天器变轨时点C的坐标;
(2)求航天器降落点B与观测点A之间的距离.

共享时间:2024-11-18 难度:1 相似度:2
168713. (2021•西安中学•仿真) 如图,椭圆C1的一个顶点为P(0,﹣1),离心率为l1l2是过点P且互相垂直的两条直线,其中,l1交圆C2x2+y2=4于AB两点,l2交椭圆C1于另一点D
(Ⅰ)求椭圆C1的方程;
(Ⅱ)若△ABD面积为,求直线l1的方程.

共享时间:2021-06-05 难度:1 相似度:2
172183. (2022•西安三中•高二上期中) 已知直线lyx+b与抛物线Cy2=2x
(1)若直线l与抛物线C相切,求实数b的值;
(2)若直线l与抛物线C相交于AB两点,且|AB|=4,求直线l的方程.
共享时间:2022-11-22 难度:1 相似度:2
231004. (2017•高新一中•一模) 如图,曲线与正方形L:|x|+|y|=4的边界相切.
(1)求m+n的值;
(2)设直线lyx+b交曲线CAB,交LCD,是否存在的这样的曲线C,使得|CA|,|AB|,|BD|成等差数列?若存在,求出实数b的取值范围;若不存在,请说明理由.

共享时间:2017-03-15 难度:1 相似度:2
231243. (2016•西工大附中•九模) 已知椭圆Cab>0)的离心率为e,以原点为圆心,椭圆短半轴长为半径的圆与直线xy=0相切.
(Ⅰ)求椭圆C的标准方程;
(Ⅱ)设F1(﹣1,0),F2(1,0),若过F1的直线交曲线CAB两点,求的取值范围.
共享时间:2016-06-18 难度:1 相似度:2
231468. (2016•西工大附中•九模) 如图,已知椭圆C+y2=1,点B坐标为(0,﹣1),过点B的直线交椭圆Cy轴左侧另外一点A,且线段AB的中点E在直线yx上.
(1)求直线AB的方程;
(2)若点P为椭圆C上异于AB的任意一点,直线APBP分别交直线yx于点MN,直线BM交椭圆于另外一点Q
①证明:|OM||ON|为定值;
②证明:AQN三点共线.

共享时间:2016-06-15 难度:1 相似度:2
169792. (2023•师大附中•高二上期末) 如图,已知椭圆,过其左焦点且斜率为1的直线与椭圆及其准线的交点从左到右的顺序为ABCD,设fm)=||AB|﹣|CD||.
(1)求fm)的解析式;
(2)求fm)的最值.

共享时间:2023-02-13 难度:1 相似度:2
231680. (2015•西工大附中•二模) 椭圆+=1(ab>0)的左、右焦点为F1F2,离心率为,过点F1的直线l交椭圆于AB两点,△AF2B的周长为8.
(1)求椭圆方程.
(2)若椭圆的左、右顶点为CD,四边形ABCD的面积为,求直线l的方程.

共享时间:2015-03-21 难度:1 相似度:2
169194. (2020•交大附中•三模) 已知椭圆C1+=1的离心率与双曲线y2=1的离心率互为倒数,直线lyx+2与以原点为圆心,以椭圆C1的短半轴长为半径的圆相切.
(1)求椭圆C1的方程;
(2)设椭圆C1的左焦点为F1,右焦点为F2,直线l1过点F1且垂直于椭圆的长轴,动直线l2垂直l1于点P,线段PF2垂直平分线交l2于点M,求点M的轨迹C2的方程;
(3)设第(2)问中的C2x轴交于点Q,不同的两点RSC2上,且满足,求的取值范围.
共享时间:2020-04-15 难度:1 相似度:2
168919. (2021•高陵一中•二模) 已知离心率为的椭圆C的一个顶点恰好是抛物线x2=4y的焦点,过点M(4,0)且斜率为k的直线交椭圆CAB两点.
(Ⅰ)求椭圆C的方程;
(Ⅱ)求k的取值范围;
(Ⅲ)若k≠0,AP关于x轴对称,直线BPx轴于N,求证:|ON|为定值.
共享时间:2021-03-23 难度:1 相似度:2
171102. (2024•西安三中•高二上期中) 设抛物线Cy2=4xFC的焦点,过F的直线LC相交于AB两点.
(1)设L的斜率为2,求|AB|的大小;
(2)求证:是一个定值.
共享时间:2024-11-16 难度:1 相似度:2
168735. (2021•西安中学•仿真) 如图,椭圆C1的一个顶点为P(0,﹣1),离心率为l1l2是过点P且互相垂直的两条直线,其中,l1交圆C2x2+y2=4于AB两点,l2交椭圆C1于另一点D
(Ⅰ)求椭圆C1的方程;
(Ⅱ)求△ABD面积取最大值时,直线l1的方程.

共享时间:2021-06-10 难度:1 相似度:2
168620. (2021•西安中学•二模) 已知离心率为的椭圆C的一个顶点恰好是抛物线x2=4y的焦点,过点M(4,0)且斜率为k的直线交椭圆CAB两点.
(Ⅰ)求椭圆C的方程;
(Ⅱ)求k的取值范围;
(Ⅲ)若k≠0,AP关于x轴对称,直线BPx轴于N,求证:|ON|为定值.
共享时间:2021-03-17 难度:1 相似度:2
231730. (2014•师大附中•八模) 如图,椭圆C+=1(ab>0)的右焦点为F,右顶点、上顶点分别为点AB,且|AB|=|BF|.
(Ⅰ)求椭圆C的离心率;
(Ⅱ)若斜率为2的直线l过点(0,2),且l交椭圆CPQ两点,OPOQ.求直线l的方程及椭圆C的方程.

共享时间:2014-06-12 难度:1 相似度:2
168435. (2021•西安中学•七模) 如图,已知椭圆的离心率为E的左顶点为A、上顶点为B,点P在椭圆上,且△PF1F2的周长为
(Ⅰ)求椭圆的方程;
(Ⅱ)设CD是椭圆E上两不同点,CDAB,直线CDx轴、y轴分别交于MN两点,且的取值范围.

共享时间:2021-06-06 难度:1 相似度:2

dygzsxyn

2021-11-18

高中数学 | 高二上 | 解答题

  • 下载量
  • 浏览量
  • 收益额
  • 0
  • 3
  • 0
相同试题
试题下载
试题内容
调用试题名称
共享人
唐老师
试题题型
解答题
试题难度
试题题源
2020*西工大*期末
下载次数
168次
下载金币
5德优币(当前结余18德优币)
温馨提示
该试题下载至自主题库后,下载、备课永久免费!
试卷设置
试卷名称
省市校区
阶段科目
年份卷型
选择类型
已选考点
在线训练
视频讲解
温馨提示
视频讲解正在加载中、请等待!
温馨提示
对不起!这是别人共享的试题,需要下载到自主题库后,可将该试题添加到白板
视频解析购买
支付方式
德优币数
本次消耗0德优币
温馨提示

客服电话:400-816-0029,服务邮箱:610066832@qq.com

视频资源

试题找茬
纠错类型
纠错描述
温馨提示
共享试题、试卷经平台审核通过后方可展示,并永久享用用户下载分红权!