首页 | 客服 | 上传赚现
AI助手
德优题库AI助手

AI助手

搜题▪组卷

(1)

服务热线

400-816-0029

    自建题库,共享分红

德优题库QQ交流群

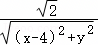
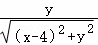
236923. (2016•长安区一中•高二下期末) 已知xy∈R,且,则存在θ∈R,使得(x﹣4)cosθ+ysinθ+=0的概率为(  )

A.     

B.      

C.    

D.

共享时间:2016-07-22 难度:1
[考点]
几何概型,
[答案]
D
[解析]
解:作出不等式组对应的平面区域如图:对应的区域为三角形OAB
若存在θ∈R,使得(x﹣4)cosθ+ysinθ+=0成立,
cosθ+sinθ)=﹣
令sinα=,则cosα=
则方程等价为sin(α+θ)=﹣
即sin(α+θ)=﹣
∵存在θ∈R,使得(x﹣4)cosθ+ysinθ+=0成立,
∴|﹣|≤1,即
即(x﹣4)2+y2≥2
则对应的区域在(4,0)为圆心,半径为的外部,
,解得,即A(3,1),
A也在圆上,则三角形OAC的面积S×1=2,
直线x+y=4的倾斜角为
则∠ACB,即扇形的面积为S
Pxy)构成的区域面积为S=2﹣
则对应的概率P
故选:D

[点评]
本题考查了"几何概型,",属于"常考题",熟悉题型是解题的关键。
转载声明:
本题解析属于发布者收集录入,如涉及版权请向平台申诉! !版权申诉
231620. (2015•西工大附中•三模) 如图所示,在正方形OABC中任取一点,则该点落在阴影部分的概率为(  )

A.        
B.         
C.      
D.
共享时间:2015-04-12 难度:1 相似度:2
172302. (2022•师大附中•高二下期中) 在区间(0,1)与(1,2)中各随机取1个数,则两数之和大于的概率为(  )
A.        
B.        
C.       
D.
共享时间:2022-05-16 难度:1 相似度:2
170405. (2022•长安区一中•高二上期末) 某路口人行横道的信号灯为红灯和绿灯交替出现,红灯持续时间为40秒.若一名行人来到该路口遇到红灯,则至少需要等待18秒才出现绿灯的概率为(  )
A.       
B.        
C.     
D.
共享时间:2022-02-04 难度:1 相似度:2
170429. (2022•长安区一中•高二上期末) 如图,点A的坐标为(1,0),点C的坐标为(2,4).函数fx)=x2,若在矩形ABCD内随机取一点.则该点取自阴影部分的概率为(  )

A.        
B.         
C.      
D.
共享时间:2022-02-23 难度:1 相似度:2
231451. (2016•西工大附中•九模) x∈[π,2π],则sinx≤﹣的概率为(  )
A.        
B.       
C.      
D.
共享时间:2016-06-15 难度:1 相似度:2
19738. (2021•陕西省•乙卷) 在区间(0,)随机取1个数,则取到的数小于的概率为(  )
A.
B.
C.
D.
共享时间:2021-06-21 难度:3 相似度:2
231381. (2016•西工大附中•七模) 一只蜜蜂在一个棱长为3的正方体内自由飞行,若蜜蜂在飞行过程中始终保持与正方体6个表面的距离均大于1,称其为“安全飞行”,则蜜蜂“安全飞行”的概率为(  )
A.        
B.        
C.       
D.
共享时间:2016-06-05 难度:1 相似度:2
231280. (2016•西工大附中•五模) 已知Ω={(xy)||x≤1,|y|≤1},A是曲线围成的区域,若向区域Ω上随机投一点P,则点P落入区域A的概率为(  )
A.      
B.       
C.      
D.
共享时间:2016-05-04 难度:1 相似度:2
172407. (2022•西安中学•高二下期中) 如图阴影部分为已曲边梯形,其曲线对应函数为yex﹣1,在长方形内随机投掷一颗黄豆,则它落在阴影部分的概率是(  )

A.      
B.      
C.      
D.
共享时间:2022-05-17 难度:1 相似度:2
169065. (2020•西工大附中•三模) 如图,网格纸上小正方形的边长为1,粗实线围成的各区域上分别且只能标记数字1,2,3,4,相邻区域标记的数字不同,其中,区域A和区域B标记的数字丢失.若在图上随机取一点,则该点恰好取自标记为1的区域的概率所有可能值中,最大的是(  )

A.       
B.      
C.        
D.
共享时间:2020-04-06 难度:1 相似度:2
172430. (2021•西安中学•高二上期中) 在(0,1)内任取一个实数b,则使得方程x2x+b=0有实数根的概率为(  )
A.        
B.       
C.      
D..1
共享时间:2021-11-29 难度:1 相似度:2
231256. (2016•西工大附中•五模) 已知A={(xy)||x|≤1,|y|≤1},B是曲线围成的封闭区域,若向区域A上随机投一点P,则点P落入区域B的概率为(  )
A.       
B.      
C.     
D.
共享时间:2016-05-11 难度:1 相似度:2
231227. (2016•西工大附中•九模) x∈[π,2π],则sinx≤﹣的概率为(  )
A.      
B.         
C.        
D.
共享时间:2016-06-18 难度:1 相似度:2
230898. (2017•西安中学•三模) 已知Ω={(xy)|0≤x≤1,0≤y≤1},A是由直线y=0,xa(0<a≤1)和曲线yx3围成的曲边三角形的平面区域,若向区域Ω上随机投一点P,点P落在区域A内的概率是,则a的值为(  )
A.       
B.         
C.        
D.
共享时间:2017-04-05 难度:1 相似度:2
230918. (2017•西工大附中•八模) 已知高峰期间某地铁始发站的发车频率为5分钟1班,由于是始发站,每次停靠1分钟后发车,则小明在高峰期间到该站后1分钟之内能上车的概率为(  )
A.        
B.         
C.      
D.
共享时间:2017-06-15 难度:1 相似度:2

dygzsxyn

2016-07-22

高中数学 | 高二下 | 选择题

  • 下载量
  • 浏览量
  • 收益额
  • 0
  • 2
  • 0
相同试题
试题下载
试题内容
调用试题名称
共享人
唐老师
试题题型
解答题
试题难度
试题题源
2020*西工大*期末
下载次数
168次
下载金币
5德优币(当前结余18德优币)
温馨提示
该试题下载至自主题库后,下载、备课永久免费!
试卷设置
试卷名称
省市校区
阶段科目
年份卷型
选择类型
已选考点
在线训练
视频讲解
温馨提示
视频讲解正在加载中、请等待!
温馨提示
对不起!这是别人共享的试题,需要下载到自主题库后,可将该试题添加到白板
视频解析购买
支付方式
德优币数
本次消耗0德优币
温馨提示

客服电话:400-816-0029,服务邮箱:610066832@qq.com

视频资源

试题找茬
纠错类型
纠错描述
温馨提示
共享试题、试卷经平台审核通过后方可展示,并永久享用用户下载分红权!