首页 | 客服 | 上传赚现
AI助手
德优题库AI助手

AI助手

搜题▪组卷

(1)

服务热线

400-816-0029

    自建题库,共享分红

德优题库QQ交流群

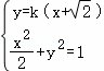
236867. (2015•西安一中•高二上期末) 已知椭圆ab>0)的离心率为,短轴的一个端点为M(0,1),过椭圆左顶点A的直线l与椭圆的另一交点为B
(Ⅰ)若l与直线xa交于点P,求的值;
(Ⅱ)若|AB|=,求直线l的倾斜角.
共享时间:2015-02-25 难度:3
[考点]
平面向量数量积的性质及其运算,直线的倾斜角,直线与圆锥曲线的综合,
[答案]
(Ⅰ)2;
(Ⅱ)
[解析]
解:(Ⅰ)∵椭圆ab>0)的离心率为,短轴的一个端点为M(0,1),
b=1,∴a
∴椭圆的方程为
∵直线l过椭圆左顶点A(﹣,0),设直线l的方程为ykx+
∵直线xa,即为,∴点P),
,消元可得(1+2k2x2+4k2x+4k2﹣2=0
可知为此方程的一个根,设Bx2y2
,∴
B
+=2;
(Ⅱ)|AB|=
∴8k4k2﹣7=0
k2=1
k=±1
∴直线l的倾斜角为
[点评]
本题考查了"平面向量数量积的性质及其运算,直线的倾斜角,直线与圆锥曲线的综合,",属于"难典题",熟悉题型是解题的关键。
转载声明:
本题解析属于发布者收集录入,如涉及版权请向平台申诉! !版权申诉
考点说明
灰色代表去掉的考点,绿色代表未变动的考点,红色代表新增的考点
171846. (2022•西安中学•高二上期中) 在平面直角坐标系中,O为坐标原点.已知曲线C上任意一点Pxy)(其中x≥0)到定点F(1,0)的距离比它到y轴的距离大1.
(1)求曲线C的轨迹方程;
(2)若过点F(1,0)的直线l与曲线C相交于不同的AB两点,求的值;
(3)若曲线C上不同的两点MN满足,求的取值范围.
共享时间:2022-11-28 难度:3 相似度:1.34
236803. (2016•西安中学•高二下期末) 在直角坐标系xOy中,动点MF1(﹣,0)、F2,0)的距离之和是4.
(1)求动点M的轨迹C的方程;
(2)设过点P(3,0)的直线l与轨迹C交于点AB,问是否存在定点Q,使得为定值?若存在,求出点Q的坐标及这个定值;若不存在,说明理由.
共享时间:2016-07-26 难度:3 相似度:1.34
236822. (2016•西安一中•高一下期末) 已知三角形ABC中,=(x1y1),=(x2y2).求三角形ABC的面积SABC
共享时间:2016-07-21 难度:1 相似度:1.33
236931. (2016•长安区一中•高二下期末) 设抛物线C1y2=4x的准线与x轴交于点F1,焦点为F2,椭圆C2F1F2为焦点,离心率e.设PC1C2的一个交点.
(1)求椭圆C2的方程.
(2)直线lC2的右焦点F2,交C1A1A2两点,且|A1A2|等于△PF1F2的周长,求l的方程.

共享时间:2016-07-22 难度:1 相似度:1.33
168919. (2021•高陵一中•二模) 已知离心率为的椭圆C的一个顶点恰好是抛物线x2=4y的焦点,过点M(4,0)且斜率为k的直线交椭圆CAB两点.
(Ⅰ)求椭圆C的方程;
(Ⅱ)求k的取值范围;
(Ⅲ)若k≠0,AP关于x轴对称,直线BPx轴于N,求证:|ON|为定值.
共享时间:2021-03-23 难度:1 相似度:1.33
168916. (2021•高陵一中•二模) 已知向量=(sinx,cosx),=(cosx,cosx),fx)=
(Ⅰ)在坐标系中画出函数fx)=的图像;
(Ⅱ)在△ABC中,BC,sinB=3sinC,若fA)=1,求△ABC的周长.
共享时间:2021-03-23 难度:1 相似度:1.33
171617. (2024•交大附中•高一下期中) (1)利用向量的方法证明:
cos(α﹣β)=cosαcosβ+sinαsinβ;
(2)探索是否可以用向量法证明:在△ABC中,若,则,若可以,请给出详细证明过程.
共享时间:2024-05-18 难度:1 相似度:1.33
170508. (2022•高新一中•高一上期末) 已知向量=(cos2ωx﹣sin2ωx,sinωx),=(,2cosωx),设函数fx)=的图象关于直线x对称,其中ω为常数,且ω∈(0,1).
(1)求函数fx)的最小正周期和单调递增区间;
(2)若将yfx)图象上各点的横坐标变为原来的,再将所得图象向右平移个单位,纵坐标不变,得到yhx)的图象,若关于x的方程hx)+k=0在[0,]上有且只有一个实数解,求实数k的取值范围.
共享时间:2022-02-10 难度:1 相似度:1.33
166877. (2024•西安八十三中•高二上二月) .已知动圆P与圆相切,且与圆相内切,记圆心P的轨迹为曲线C
(1)求曲线C的方程;
(2)设Q为曲线C上的一个不在x轴上的动点,过点F2OQO为坐标原点)的平行线交曲线CMN两个不同的点,记△QMN的面积为S,求S的最大值.
共享时间:2024-12-23 难度:1 相似度:1.33
236393. (2017•高新一中•高二上期末) 椭圆C的长轴是短轴的两倍,点在椭圆上.不过原点的直线l与椭圆相交于AB两点,设直线OAlOB的斜率分别为k1kk2,且k1kk2恰好构成等比数列,记△ABO的面积为S
(1)求椭圆C的方程.
(2)试判断|OA|2+|OB|2是否为定值?若是,求出这个值;若不是,请说明理由?
(3)求S的最大值.

共享时间:2017-02-11 难度:1 相似度:1.33
171178. (2024•西安八十三中•高三上期中) 已知向量=(cosx,﹣sinx),=(cosx,sinx﹣2cosx),x∈R,设fx)=
(1)求函数fx)的最小正周期;
(2)若fx)=,且x,求sin2x的值.
共享时间:2024-11-28 难度:1 相似度:1.33
168735. (2021•西安中学•仿真) 如图,椭圆C1的一个顶点为P(0,﹣1),离心率为l1l2是过点P且互相垂直的两条直线,其中,l1交圆C2x2+y2=4于AB两点,l2交椭圆C1于另一点D
(Ⅰ)求椭圆C1的方程;
(Ⅱ)求△ABD面积取最大值时,直线l1的方程.

共享时间:2021-06-10 难度:1 相似度:1.33
171102. (2024•西安三中•高二上期中) 设抛物线Cy2=4xFC的焦点,过F的直线LC相交于AB两点.
(1)设L的斜率为2,求|AB|的大小;
(2)求证:是一个定值.
共享时间:2024-11-16 难度:1 相似度:1.33
167520. (2023•关山中学•高三上一月) 已知向量=(sinx),=(cosx,﹣1).
(1)当时,求2cos2x﹣sin2x的值;
(2)求fx)=(+)•在[﹣,0]上的最大值.
共享时间:2023-10-20 难度:1 相似度:1.33
170934. (2025•长安区一中•高一下期中) 设平面内两个非零向量的夹角为θ,定义一种运算“⊗”:,试求解下列问题.
(1)已知向量满足,求的值;
(2)在平面直角坐标系中,已知点A(0,﹣1),B(﹣3,0),C(﹣2,2),求的值;
(3)已知向量,求ab的最小值.
共享时间:2025-05-02 难度:1 相似度:1.33

dygzsxyn

2015-02-25

高中数学 | 高二上 | 解答题

  • 下载量
  • 浏览量
  • 收益额
  • 0
  • 9
  • 0
相同试题
试题下载
试题内容
调用试题名称
共享人
唐老师
试题题型
解答题
试题难度
试题题源
2020*西工大*期末
下载次数
168次
下载金币
5德优币(当前结余18德优币)
温馨提示
该试题下载至自主题库后,下载、备课永久免费!
试卷设置
试卷名称
省市校区
阶段科目
年份卷型
选择类型
已选考点
在线训练
视频讲解
温馨提示
视频讲解正在加载中、请等待!
温馨提示
对不起!这是别人共享的试题,需要下载到自主题库后,可将该试题添加到白板
视频解析购买
支付方式
德优币数
本次消耗0德优币
温馨提示

客服电话:400-816-0029,服务邮箱:610066832@qq.com

视频资源

试题找茬
纠错类型
纠错描述
温馨提示
共享试题、试卷经平台审核通过后方可展示,并永久享用用户下载分红权!