首页 | 客服 | 上传赚现
AI助手
德优题库AI助手

AI助手

搜题▪组卷

(1)

服务热线

400-816-0029

    自建题库,共享分红

德优题库QQ交流群

236834. (2015•西安一中•高一上期末) 将直线2xy+λ=0沿x轴向左平移1个单位,所得直线与圆x2+y2+2x﹣4y=0相切,则实数λ的值为(  )
A.﹣3或7   
B.﹣2或8    
C.0或10    
D..1或11
共享时间:2015-02-22 难度:1
[考点]
直线与圆的位置关系,
[答案]
A
[解析]
解:把圆的方程化为标准式方程得(x+1)2+(y﹣2)2=5,圆心坐标为(﹣1,2),半径为
直线2xy+λ=0沿x轴向左平移1个单位后所得的直线方程为2(x+1)﹣y+λ=0,
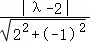
因为该直线与圆相切,则圆心(﹣1,2)到直线的距离dr
化简得|λ﹣2|=5,即λ﹣2=5或λ﹣2=﹣5,
解得λ=﹣3或7
故选:A
[点评]
本题考查了"直线与圆的位置关系,",属于"常考题",熟悉题型是解题的关键。
转载声明:
本题解析属于发布者收集录入,如涉及版权请向平台申诉! !版权申诉
166241. (2024•师大附中•高二上二月) O1x2+y2﹣2x+6y=0和圆O2x2+y2﹣6x=0的公共弦AB的垂直平分线的方程是(  )
A.2x﹣3y+3=0                  
B..2x﹣3y﹣5=0
C.3x﹣2y﹣9=0
D.3x﹣2y+7=0
共享时间:2024-12-29 难度:1 相似度:2
170040. (2023•西工大附中•高二上期末) 若过点(0,0)的直线l与圆C:(x+2)2+(y﹣2)2=16相交于AB两点,则|AB|的最小值(  )
A..2       
B.    
C..4       
D.
共享时间:2023-03-01 难度:1 相似度:2
167867. (2024•西工大附中•模拟) m∈R,直线l1mxy﹣3m+1=0与直线l2x+my﹣3m﹣1=0相交于点P,点Q是圆C:(x+1)2+(y+1)2=2上的一个动点,则|PQ|的最小值为(  )
A.       
B.   
C.   
D.
共享时间:2024-03-05 难度:1 相似度:2
168424. (2021•西安中学•七模) 设直线xya=0与圆x2+y2=4相交于AB两点,O为坐标原点,若△AOB为等边三角形,则实数a的值为(  )
A.    
B.     
C.±3       
D..±9
共享时间:2021-06-06 难度:1 相似度:2
168698. (2021•西安中学•仿真) 若直线xy+1=0与圆(xa2+y2=2有公共点,则实数a取值范围是(  )

A.[﹣3,﹣1]                   

C..[﹣1,3]   

B..[﹣3,1]                   

D.(﹣∞,﹣3]∪[1,+∞)

共享时间:2021-06-05 难度:1 相似度:2
168720. (2021•西安中学•仿真) 若直线xy+1=0与圆(xa2+y2=2有公共点,则实数a取值范围是(  )

A.[﹣3,﹣1]                   

C..[﹣1,3]   

B..[﹣3,1]                   

D.(﹣∞,﹣3]∪[1,+∞)

共享时间:2021-06-10 难度:1 相似度:2
168816. (2021•西工大附中•十二模) 若点P为圆x2+y2=1上的一个动点,点A(﹣1,0),B(1,0)为两个定点,则|PA|+|PB|的最大值是(  )
A.2         
B.      
C.4         
D.
共享时间:2021-07-26 难度:1 相似度:2
168861. (2021•西工大附中•十模) 已知直线ly=﹣2xmm>0)与圆Cx2+y2﹣2x﹣2y﹣23=0,直线l与圆C相交于不同两点MN.若||,则m的取值范围是(  )
A.[,5)
B.[2,5﹣3) 
C.( 5,5
D..(,2)
共享时间:2021-07-03 难度:1 相似度:2
169137. (2020•西工大附中•二模) 已知点A在圆C:(x+1)2+(y﹣1)2=1上,直线ly=2x﹣2与两坐标轴交点分别为MN两点,则△AMN面积的最小值为(  )
A.  
B.     
C.  
D.
共享时间:2020-03-17 难度:1 相似度:2
169259. (2025•西工大附中•高二上期末) 过直线yx+1上一动点P作圆M:(x﹣5)2+y2=2的一条切线l,切点为A,则线段PA长度的最小值为(  )
A..6       
B..4        
C.   
D.
共享时间:2025-02-18 难度:1 相似度:2
170181. (2023•高新一中•高一下期末) 已知直线lkxyk+1=0和圆Ox2+y2=4,则下列说法正确的是(  )

A..直线l恒过定点(1,﹣1)  

B.直线l与圆O相交

C..当k=1时,直线l被圆O截得的弦长为2  

D.直线l被圆O截得的最短弦的长度为

共享时间:2023-07-11 难度:1 相似度:2
167708. (2024•西安一中•五模) 已知直线与圆C:(x﹣1)2+y2=16相交于AB两点,则弦长|AB|的取值范围是(  )
A.
B.
C.
D.
共享时间:2024-05-13 难度:1 相似度:2
170407. (2022•长安区一中•高二上期末) x2+y2﹣4x+2y+1=0与直线y﹣2tx+2t﹣1=0(t∈R)的位置关系为(  )
A..相切    
B..相离     
C.相交      
D.无法确定
共享时间:2022-02-04 难度:1 相似度:2
170540. (2021•西安中学•高一上期末) 若直线yx+b与曲线y=3﹣有公共点,则b的取值范围是(  )
A.             
B.                                       
C.                
D.
共享时间:2021-02-10 难度:1 相似度:2
171055. (2024•高新一中•高二上期中) 在平面直角坐标系xOy中,若圆上存在点P,且点P关于直线yx+1的对称点Q在圆上,则r的取值范围是(  )
A.(3,7)   
B.[3,7]     
C..(3,+∞)
D..[3,+∞)
共享时间:2024-11-27 难度:1 相似度:2

dygzsxyn

2015-02-22

高中数学 | 高一上 | 选择题

  • 下载量
  • 浏览量
  • 收益额
  • 0
  • 3
  • 0
相同试题
试题下载
试题内容
调用试题名称
共享人
唐老师
试题题型
解答题
试题难度
试题题源
2020*西工大*期末
下载次数
168次
下载金币
5德优币(当前结余18德优币)
温馨提示
该试题下载至自主题库后,下载、备课永久免费!
试卷设置
试卷名称
省市校区
阶段科目
年份卷型
选择类型
已选考点
在线训练
视频讲解
温馨提示
视频讲解正在加载中、请等待!
温馨提示
对不起!这是别人共享的试题,需要下载到自主题库后,可将该试题添加到白板
视频解析购买
支付方式
德优币数
本次消耗0德优币
温馨提示

客服电话:400-816-0029,服务邮箱:610066832@qq.com

视频资源

试题找茬
纠错类型
纠错描述
温馨提示
共享试题、试卷经平台审核通过后方可展示,并永久享用用户下载分红权!