首页 | 客服 | 上传赚现
AI助手
德优题库AI助手

AI助手

搜题▪组卷

(1)

服务热线

400-816-0029

    自建题库,共享分红

德优题库QQ交流群

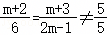
236387. (2017•高新一中•高二上期末) 已知两直线l1:(m+2)x+(m+3)y﹣5=0,l2:6x+(2m﹣1)y=5,若l1l1,则实数m等于           
共享时间:2017-02-11 难度:1
[考点]
直线的一般式方程与直线的平行关系,
[答案]
见试题解答内容
[解析]
解:∵两直线l1:(m+2)x+(m+3)y﹣5=0,
l2:6x+(2m﹣1)y=5,l1l1

解得m=﹣
实数m等于﹣
故答案为:﹣
[点评]
本题考查了"直线的一般式方程与直线的平行关系,",属于"基础题",熟悉题型是解题的关键。
转载声明:
本题解析属于发布者收集录入,如涉及版权请向平台申诉! !版权申诉
171454. (2023•长安区一中•高二上期中) 直线l1ax+y+1=0与直线l2:4x+ay+2=0平行,则实数a的值为       
共享时间:2023-11-29 难度:1 相似度:2
171711. (2023•西安八十五中•高二上期中) 已知直线l1xay+1=0,直线l2axy﹣3=0,若l1l2,则实数a的值为       
共享时间:2023-11-17 难度:1 相似度:2
236257. (2017•西安中学•高一上期末) 已知l1:2x+my+1=0与l2y=3x﹣1,若两直线平行,则m的值为            
共享时间:2017-02-15 难度:1 相似度:2
236468. (2016•西安中学•高一上期末) 已知直线l1ax+(a+2)y+2=0和l2x+ay+1=0,若l1l2a    
共享时间:2016-02-08 难度:1 相似度:2

dygzsxyn

2017-02-11

高中数学 | 高二上 | 填空题

  • 下载量
  • 浏览量
  • 收益额
  • 0
  • 3
  • 0
相同试题
试题下载
试题内容
调用试题名称
共享人
唐老师
试题题型
解答题
试题难度
试题题源
2020*西工大*期末
下载次数
168次
下载金币
5德优币(当前结余18德优币)
温馨提示
该试题下载至自主题库后,下载、备课永久免费!
试卷设置
试卷名称
省市校区
阶段科目
年份卷型
选择类型
已选考点
在线训练
视频讲解
温馨提示
视频讲解正在加载中、请等待!
温馨提示
对不起!这是别人共享的试题,需要下载到自主题库后,可将该试题添加到白板
视频解析购买
支付方式
德优币数
本次消耗0德优币
温馨提示

客服电话:400-816-0029,服务邮箱:610066832@qq.com

视频资源

试题找茬
纠错类型
纠错描述
温馨提示
共享试题、试卷经平台审核通过后方可展示,并永久享用用户下载分红权!