首页 | 客服 | 上传赚现
AI助手
德优题库AI助手

AI助手

搜题▪组卷

(1)

服务热线

400-816-0029

    自建题库,共享分红

德优题库QQ交流群

236063. (2019•西安中学•高二下期末) 在直角坐标系xOy中,圆C的参数方程(φ为参数).以O为极点,x轴的非负半轴为极轴建立极坐标系.
(Ⅰ)求圆C的极坐标方程;
(Ⅱ)直线l的极坐标方程是ρ(sinθ+)=3,射线OM:θ=与圆C的交点为OP,与直线l的交点为Q,求线段PQ的长.
共享时间:2019-07-16 难度:2
[考点]
直线与圆的位置关系,简单曲线的极坐标方程,
[答案]
见试题解答内容
[解析]
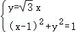
解:(I)圆C的参数方程(φ为参数).消去参数可得:(x﹣1)2+y2=1.
x=ρcosθ,y=ρsinθ代入化简得:ρ=2cosθ,即为此圆的极坐标方程.
II)如图所示,由直线l的极坐标方程是ρ(sinθ+)=3,射线OM:θ=
可得普通方程:直线l,射线OM
联立,解得,即Q
联立,解得
P
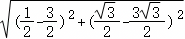
∴|PQ|==2.

[点评]
本题考查了"直线与圆的位置关系,简单曲线的极坐标方程,",属于"必考题",熟悉题型是解题的关键。
转载声明:
本题解析属于发布者收集录入,如涉及版权请向平台申诉! !版权申诉
172090. (2023•铁一中学•高二下期中) 如图,在极坐标系中,曲线C1是以C1(4,0)为圆心的半圆,曲线C2是以为圆心的圆,曲线C1C2都过极点O
(1)分别写出半圆C1C2的极坐标方程;
(2)直线l与曲线C1C2分别交于MN两点(异于极点O),PC2上的动点,求△PMN面积的最大值.

共享时间:2023-05-16 难度:1 相似度:1.5
169852. (2023•西安中学•高二下期末) 在平面直角坐标系xOy中,曲线C的参数方程为m为参数),以坐标原点O为极点,x轴的非负半轴为极轴建立极坐标系,直线l的极坐标方程为ρcos(θ+)=1.
(1)求直线l的直角坐标方程和曲线C的普通方程;
(2)已知点M(2,0),若直线l与曲线C相交于PQ两点,求的值.
共享时间:2023-07-04 难度:1 相似度:1.5
168967. (2021•交大附中•四模) 在平面直角坐标系xOy中,以坐标原点O为极点,x轴的正半轴为极轴建立极坐标系,曲线M的极坐标方程为ρ=2cosθ,若极坐标系内异于O的三点A(ρ1,φ),B(ρ2,φ+),C(ρ3,φ﹣)(ρ1,ρ2,ρ3>0)都在曲线M上.
(1)求证:=ρ23
(2)若过BC两点直线的参数方程为t为参数),求四边形OBAC的面积.
共享时间:2021-04-20 难度:1 相似度:1.5
169036. (2020•西安中学•三模) 在直角坐标系xOy中,以坐标原点为极点,x轴的正半轴为极轴建立极坐标系,曲线C1的极坐标方程为ρcosθ=4.
(1)M为曲线C1上的动点,点P在线段OM上,且满足|OM|•|OP|=16,求点P的轨迹C2的直角坐标方程;
(2)设点A的极坐标为(2,),点B在曲线C2上,求△OAB面积的最大值.
共享时间:2020-04-01 难度:1 相似度:1.5
169127. (2020•西工大附中•三模) 在平面直角坐标系xOy中,曲线C的参数方程为(其中α为参数,且0<α<π),在以坐标原点为极点,以x轴正半轴为极轴的极坐标系中,直线l的极坐标方程为ρcosθ+ρsinθ+b=0(b为常数,b∈R).
(1)点A的极坐标为,若直线l过点A,求曲线C的普通方程和直线l的直角坐标方程;
(2)若直线l与曲线C有两个交点,求b的取值范围.
共享时间:2020-04-03 难度:1 相似度:1.5
169329. (2025•西安八十五中•高二上期末) 已知圆C过点A(1,3)、B(2,2),且圆周被直线3x+y+7=0平分.
(1)求圆C的标准方程;
(2)已知过点(﹣4,5)的直线l被圆C截得的弦长为,求直线l的方程.
共享时间:2025-02-15 难度:1 相似度:1.5
169742. (2023•师大附中•高二下期末) 在平面直角坐标系xOy中,以O为极点,x轴的正半轴为极轴,建立极坐标系,曲线C的极坐标方程为ρ2cos2θ+3ρ2sin2θ=12,点P的极坐标为(2,π),倾斜角为α的直线l经过点P
(1)写出曲线C的直角坐标方程和直线l的参数方程;
(2)设直线l与曲线C交于AB两点,求的取值范围.
共享时间:2023-07-03 难度:1 相似度:1.5
169765. (2023•师大附中•高二下期末) 在平面直角坐标系xOy中,以O为极点,x轴的正半轴为极轴,建立极坐标系,曲线C的极坐标方程为ρ2cos2θ+3ρ2sin2θ=12,点P的极坐标为(2,π),倾斜角为α的直线l经过点P
(1)写出曲线C的直角坐标方程和直线l的参数方程;
(2)设直线l与曲线C交于AB两点,求的取值范围.
共享时间:2023-07-24 难度:1 相似度:1.5
169854. (2023•西安中学•高二下期末) 在平面直角坐标系中,曲线C1的参数方程为,以坐标原点O为极点,x轴的正半轴为极轴建立极坐标系,直线l的极坐标方程为,曲线C2的极坐标方程为ρ=2sinθ.
(1)探究直线l与曲线C2的位置关系,并说明理由;
(2)若曲线C3的极坐标方程为,且曲线C3与曲线C1C2分别交于MN两点,求|OM|2•|ON|2的取值范围.
共享时间:2023-07-04 难度:1 相似度:1.5
168760. (2021•西安中学•八模) 如图是美丽的三叶草图案,在以O为极点,Ox轴为极轴的极坐标系中,它由弧,弧,弧组成.已知它们分别是方程为,ρ=﹣4sinθ的圆上的一部分.
(1)分别写出点HMN的极坐标;
(2)设点P是由点HMN所确定的圆C上的动点,直线,求点PL的距离的最大值.

共享时间:2021-06-14 难度:1 相似度:1.5
170055. (2023•西工大附中•高二上期末) 在平面直角坐标系xOy中,已知圆Cx2+y2﹣4x=0及点A(﹣1,0),B(1,2).
(1)若直线l平行于AB,与圆C相交于DE两点,且DEAB,求直线l的方程;
(2)对于线段AC上的任意一点Q,若在以点B为圆心的圆上都存在不同的两点MN,使得点M是线段QN的中点,求圆B的半径r的取值范围.
共享时间:2023-03-01 难度:1 相似度:1.5
170126. (2023•铁一中学•高三上期末) 已知圆C的极坐标方程为ρ2+2ρsin(θ﹣)﹣2=0,直线l的方程为yx.以极点为坐标原点,极轴为x轴正半轴建立直角坐标系xOy
(1)求圆C的圆心坐标及半径;
(2)直线l与圆C的交点为AB,求三角形ABC的面积.
共享时间:2023-02-08 难度:1 相似度:1.5
170171. (2023•铁一中学•高二上期末) 如图,点是圆内的一个定点,点P是圆A上的任意一点,线段BP的垂直平分线l和半径AP相交于点Q,当点P在圆A上运动时,点Q的轨迹为曲线C
(1)求曲线C的方程;
(2)点E(2,0),F(0,1),直线QEy轴交于点M,直线QFx轴交于点N,求|EN|•|FM|的值.

共享时间:2023-02-15 难度:1 相似度:1.5
170663. (2021•长安区一中•高二上期末) 已知椭圆C=1和直线ly=2x+m
(1)当椭圆C与直线l有公共点时,求实数m的取值范围;
(2)设直线l与椭圆C相交于AB两点,求|AB|的最大值.
共享时间:2021-02-18 难度:5 相似度:1.5
170752. (2020•西安中学•高二下期末) 在平面直角坐标系xOy中,直线C1的参数方程为(其中t为参数).以坐标原点O为极点,x轴非负半轴为极轴建立极坐标系,并取相同的单位长度,曲线C2的极坐标方程为
(1)求直线C1的普通方程和曲线C2的直角坐标方程;
(2)过点P(3,2)作直线C1的垂线交曲线C2MN两点,求|PM|•|PN|.
共享时间:2020-07-09 难度:1 相似度:1.5

dygzsxyn

2019-07-16

高中数学 | 高二下 | 解答题

  • 下载量
  • 浏览量
  • 收益额
  • 0
  • 3
  • 0
相同试题
试题下载
试题内容
调用试题名称
共享人
唐老师
试题题型
解答题
试题难度
试题题源
2020*西工大*期末
下载次数
168次
下载金币
5德优币(当前结余18德优币)
温馨提示
该试题下载至自主题库后,下载、备课永久免费!
试卷设置
试卷名称
省市校区
阶段科目
年份卷型
选择类型
已选考点
在线训练
视频讲解
温馨提示
视频讲解正在加载中、请等待!
温馨提示
对不起!这是别人共享的试题,需要下载到自主题库后,可将该试题添加到白板
视频解析购买
支付方式
德优币数
本次消耗0德优币
温馨提示

客服电话:400-816-0029,服务邮箱:610066832@qq.com

视频资源

试题找茬
纠错类型
纠错描述
温馨提示
共享试题、试卷经平台审核通过后方可展示,并永久享用用户下载分红权!