首页 | 客服 | 上传赚现
AI助手
德优题库AI助手

AI助手

搜题▪组卷

(1)

服务热线

400-816-0029

    自建题库,共享分红

德优题库QQ交流群

236044. (2019•西安中学•高二下期末) 已知函数fx)=|2x+1|﹣|x﹣1|.
(1)解不等式fx)<2;
(2)若不等式|a﹣1|≥fx)+|x﹣1|+|2x﹣3|的解集非空,求实数a的取值范围.
共享时间:2019-07-23 难度:1
[考点]
绝对值不等式的解法,
[答案]
见试题解答内容
[解析]
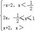
解:(1)fx)=|2x+1|﹣|x﹣1|=

x∈∅,
综上,不等式的解集是(﹣4,).
(2)fx)+|x﹣1|+|2x﹣3|=|2x+1|+|2x﹣3|⩾|2x+1﹣(2x﹣3)|=4,
当且仅当(2x﹣1)(2x﹣3)≤0,即时等号成立,
∵不等式|a﹣1|⩾fx)+|x﹣1|+|2x﹣3|解集非空,
∴|a﹣1|⩾[fx)+|x﹣1|+|2x﹣3|]min,即|a﹣1|⩾4,
a﹣1⩽﹣4或a﹣1⩾4,∴a⩽﹣3或a⩾5,
∴实数a的取值范围是(﹣∞,﹣3]∪[5,+∞).
[点评]
本题考查了"绝对值不等式的解法,",属于"常考题",熟悉题型是解题的关键。
转载声明:
本题解析属于发布者收集录入,如涉及版权请向平台申诉! !版权申诉
169082. (2020•西工大附中•三模) 已知函数fx)=|x+a|﹣|2x﹣2|(a∈R).
(1)证明:fx)≤|a|+1;
(2)若a=2,且对任意x∈R都有kx+3)≥fx)成立,求实数k的取值范围.
共享时间:2020-04-06 难度:1 相似度:2
168577. (2021•西安中学•九模) 已知函数fx)=|x+1|+|x+a|.
(1)若a=﹣4,求函数fx)的最小值;
(2)若存在x0∈R,使得fx)≤|2a+3|成立,求实数a的取值范围.
共享时间:2021-06-30 难度:1 相似度:2
168130. (2024•西安一中•二模) 已知函数fx)=||x﹣2|﹣|x+1||.
(1)求fx)的值域;
(2)求不等式的解集.
共享时间:2024-03-17 难度:1 相似度:2
19777. (2021•陕西省•乙卷) 已知函数fx)=|xa|+|x+3|.
(1)当a=1时,求不等式fx)≥6的解集;
(2)若fx)>﹣a,求a的取值范围.
共享时间:2021-06-21 难度:4 相似度:2
168232. (2021•西安中学•四模) 已知fx)=(x﹣1)|xa|﹣2|x﹣2|,a∈R.
(1)当a=2时,求不等式fx)<0的解集;
(2)求f(2)+f(3)的最小值.
共享时间:2021-04-28 难度:1 相似度:2
168255. (2021•西安中学•五模) 已知函数fx)=|x﹣2|﹣2|x|.
(1)求不等式fx)>1的解集;
(2)若正数abc满足,求的最小值.
共享时间:2021-05-01 难度:1 相似度:2
168324. (2021•西安中学•十模) 已知函数fx)=|2xa|﹣|x+1|.
(1)当a=2时,求不等式fx)<1的解集;
(2)若a>0,不等式fx)+2>0恒成立,求实数a的取值范围.
共享时间:2021-07-10 难度:1 相似度:2
168416. (2021•西安中学•十模) 已知函数fx)=|x﹣2a|﹣2|x+a|.
(1)若f(1)≥1,求实数a的取值范围;
(2)若对任意x∈R,fx2)≤0恒成立,求a的最小值.
共享时间:2021-07-03 难度:1 相似度:2
168508. (2021•西安中学•三模) .已知函数fx)=|x+1|+|2x﹣1|.
(1)求不等式fx)≥2的解集;
(2)若∃x∈[﹣1,0],使得不等式fx)≥a|x﹣3|成立,求实数a的最大值.
共享时间:2021-04-03 难度:1 相似度:2
168600. (2021•西安中学•九模) 已知不等式|x﹣2|﹣|xm|≤1对任意x∈R成立,记实数m的最小值为m0
(1)求m0
(2)已知实数abc满足:a+b+2cm0a2+b2+c2,求c的最大值.
共享时间:2021-06-23 难度:1 相似度:2
167969. (2023•师大附中•十一模) 已知fx)=|xa|+|x+3a﹣2|,gx)=﹣x2+2ax+1(a∈R).
(1)当a=2时,解关于x的不等式fx)≥7;
(2)若对∀x1x2∈R,都有fx1)>gx2)成立,求a的取值范围.
共享时间:2023-07-18 难度:1 相似度:2
168669. (2021•西安中学•仿真) 已知函数fx)=|x﹣4|+|x﹣1|.
(1)解不等式fx)≤4;
(2)若方程fx)﹣1﹣kx=0解集为空集,求k的取值范围.
共享时间:2021-06-07 难度:1 相似度:2
168784. (2021•西安中学•八模) 已知函数fx)=|2x|+|x﹣1|,x∈R.
(Ⅰ)求fx)≥2的解集;
(Ⅱ)若fx)=kx有2个不同的实数根,求实数k的取值范围.
共享时间:2021-06-19 难度:1 相似度:2
168807. (2021•西工大附中•十三模) .已知函数fx)=|x﹣2|﹣|2xa|,a∈R.
(1)当a=3时,解不等式fx)>0;
(2)当x∈(﹣∞,2)时,fx)<0恒成立,求a的取值范围.
共享时间:2021-07-22 难度:1 相似度:2
168830. (2021•西工大附中•十二模) 已知函数fx)=|x﹣2|+2|x+1|,x∈R.
(1)求函数fx)的图象与直线y=6围成区域的面积;
(2)若对于m>0,n>0,且m+n=4时,不等式fx)≥mn恒成立,求实数x的取值范围.
共享时间:2021-07-26 难度:1 相似度:2

dygzsxyn

2019-07-23

高中数学 | 高二下 | 解答题

  • 下载量
  • 浏览量
  • 收益额
  • 0
  • 3
  • 0
相同试题
试题下载
试题内容
调用试题名称
共享人
唐老师
试题题型
解答题
试题难度
试题题源
2020*西工大*期末
下载次数
168次
下载金币
5德优币(当前结余18德优币)
温馨提示
该试题下载至自主题库后,下载、备课永久免费!
试卷设置
试卷名称
省市校区
阶段科目
年份卷型
选择类型
已选考点
在线训练
视频讲解
温馨提示
视频讲解正在加载中、请等待!
温馨提示
对不起!这是别人共享的试题,需要下载到自主题库后,可将该试题添加到白板
视频解析购买
支付方式
德优币数
本次消耗0德优币
温馨提示

客服电话:400-816-0029,服务邮箱:610066832@qq.com

视频资源

试题找茬
纠错类型
纠错描述
温馨提示
共享试题、试卷经平台审核通过后方可展示,并永久享用用户下载分红权!