首页 | 客服 | 上传赚现
AI助手
德优题库AI助手

AI助手

搜题▪组卷

(1)

服务热线

400-816-0029

    自建题库,共享分红

德优题库QQ交流群

233495. (2023•铁一中学•高二下二月) 某地区以“绿色出行”为宗旨开展“共享单车”业务.该地区某高级中学一兴趣小组由20名高二级学生和15名高一级学生组成,现采用分层抽样的方法抽取7人,组成一个体验小组去市场体验“共享单车”的使用.问:
(1)应从该兴趣小组中抽取高一级和高二级的学生各多少人;
(2)已知该地区有XY两种型号的“共享单车”,在市场体验中,该体验小组的高二级学生都租X型车,高一级学生都租Y型车.
①如果从组内随机抽取3人,求抽取的3人中至少有2人在市场体验过程中租X型车的概率;②已知该地区X型车每小时的租金为1元,Y型车每小时的租金为1.2元,设Z为从体验小组内随机抽取3人得到的每小时租金之和,求Z的分布列和数学期望.
共享时间:2023-06-26 难度:1
[考点]
离散型随机变量的均值(数学期望),
[答案]
(1)应从该兴趣小组中抽取中高一人数为3,高二人数为4;
(2)分布列见解析,期望为
[解析]
解:(1)高二与高一兴趣小组的人数之比为20:15=4:3,
故体验小组中高二人数为,高一人数为7﹣4=3.
故应从该兴趣小组中抽取中高一人数为3,高二人数为4
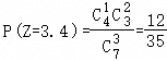
(2)①设A为“抽取的3人中至少有2人在市场体验过程中租X型车”,

Z可取3,3.2,3.4,3.6,


Z的分布列为:
Z 3 3.2 3.4 3.6
P
所以
[点评]
本题考查了"离散型随机变量的均值(数学期望),",属于"基础题",熟悉题型是解题的关键。
转载声明:
本题解析属于发布者收集录入,如涉及版权请向平台申诉! !版权申诉
168733. (2021•西安中学•仿真) 2021年,福建、河北、辽宁、江苏、湖北、湖南、广东、重庆8省市将迎来“3+1+2”新高考模式.“3”指的是:语文、数学、英语,统一高考;“1”指的是:物理和历史,考生从中选一科;“2”指的是:化学、生物、地理和政治,考生从四科中选两科.为了迎接新高考,某中学调查了高一年级1500名学生的选科倾向,随机抽取了100人,统计选考科目人数如表:
  选考物理 选考历史 总计
男生 40   50
女生      
总计   30  
(Ⅰ)补全2×2列联表,并根据表中数据判断是否有95%的把握认为“选考物理与性别有关”;
(Ⅱ)将此样本的频率视为总体的概率,随机调查该校3名学生,设这3人中选考历史的人数为X,求X的分布列及数学期望.
参考公式:K2,其中na+b+c+d
参考数据:
PK2k0 0.10 0.05 0.025 0.010 0.005 0.001
k0 2.706 3.841 5.024 6.635 7.879 10.828
共享时间:2021-06-10 难度:1 相似度:2
169033. (2020•西安中学•三模) 为迎接2022年北京冬奥会,推广滑雪运动,某滑雪场开展滑雪促销活动,该滑雪场的收费标准是:滑雪时间不超过1小时免费,超过1小时的部分每小时收费标准为40元(不足1小时的部分按1小时计算).有甲、乙两人相互独立地来该滑雪场运动,设甲、乙不超过1小时离开的概率分别为;1小时以上且不超过2小时离开的概率分别为;两人滑雪时间都不会超过3小时.
(Ⅰ)求甲、乙两人所付滑雪费用相同的概率;
(Ⅱ)设甲、乙两人所付的滑雪费用之和为随机变量ξ.求ξ的分布列与数学期望E(ξ).
共享时间:2020-04-01 难度:1 相似度:2
172094. (2023•铁一中学•高二下期中) 2022年12月6日全国各地放开对新冠疫情的管控,在强大的祖国庇护下平稳抗疫三年的中国人民迎来了与新冠变异毒株奥密克戎的首次正面交锋.某市为了更好的了解全体中小学生感染新冠感冒后的情况,以便及时补充医疗资源.从全市中小学生中随机抽取了100名抗原检测为阳性的中小学生监测其健康状况,100名中小学生感染奥密克戎后的疼痛指数为X,并以此为样本得到了如下图所示的表格:
疼痛指数X X≤10 10X<90 X≥90
人数(人) 10 81 9
名称 无症状感染者 轻症感染者 重症感染者
其中轻症感染者和重症感染者统称为有症状感染者.
(1)统计学中常用L表示在事件A发生的条件下事件B发生的似然比.现从样本中随机抽取1名学生,记事件A:该名学生为有症状感染者,事件B:该名学生为重症感染者,求似然比L的值;
(2)若该市所有抗原检测为阳性的中小学生的疼痛指数X近似的服从正态分布N(50,σ2),且.若从该市众多抗原检测为阳性的中小学生中随机抽取3名,设这3名学生中轻症感染者人数为Y,求Y的分布列及数学期望.
共享时间:2023-05-16 难度:1 相似度:2
168596. (2021•西安中学•九模) 交强险是车主必须为机动车购买的险种,若普通6座以下私家车投保交强险第一年的费用(基准保费)统一为a元,在下一年续保时,实行的是费率浮动机制,保费与上一年度车辆发生道路交通事故的情况相联系,发生交通事故的次数越多,费率也就越高,具体浮动情况如表:
交强险浮动因素和浮动费率比率表
  浮动因素 浮动比率
A1 上一个年度未发生有责任道路交通事故 下浮10%
A2 上两个年度未发生有责任道路交通事故 下浮20%
A3 上三个及以上年度未发生有责任道路交通事故 下浮30%
A4 上一个年度发生一次有责任不涉及死亡的道路交通事故 0%
A5 上一个年度发生两次及两次以上有责任道路交通事故 上浮10%
A6 上一个年度发生有责任道路交通死亡事故 上浮30%
某机构为了研究某一品牌普通6座以下私家车的投保情况,随机抽取了80辆车龄已满三年的该品牌同型号私家车的下一年续保时的情况,统计得到了下面的表格:
类型 A1 A2 A3 A4 A5 A6
数量 20 10 10 20 15 5
以这80辆该品牌车的投保类型的频率代替一辆车投保类型的概率,完成下列问题:
(1)按照我国《机动车交通事故责任强制保险条例》汽车交强险价格的规定,a=950.某同学家里有一辆该品牌车且车龄刚满三年,记X为该品牌车在第四年续保时的费用,求X的分布列与数学期望值;(数学期望值保留到个位数字)
(2)某二手车销售商专门销售这一品牌的二手车,且将下一年的交强险保费高于基本保费的车辆记为事故车.假设购进一辆事故车亏损4000元,一辆非事故车盈利8000元:
①若该销售商购进三辆(车龄已满三年)该品牌二手车,求这三辆车中至多有一辆事故车的概率;
②若该销售商一次购进100辆(车龄已满三年)该品牌二手车,求他获得利润的期望值.
共享时间:2021-06-23 难度:1 相似度:2
168688. (2021•西安中学•仿真) 随着改革开放的不断深入,祖国不断富强,人民生活水平逐步提高,为了进一步改善民生,2019年1月1日起我国实施了个人所得税的新政策,新政策的主要内容包括:
①个税起征点为5000元;
②每月应纳税所得额(含税)=(收入)﹣(个税起征点)﹣(专项附加扣除);
③专项附加扣除包括赡养老人、子女教育、继续教育、大病医疗等.
新个税政策下赡养老人的扣除标准为:独生子女每月扣除2000元,非独生子女与其兄弟姐妹按照每月2000元的标准分摊扣除,但每个人的分摊额度不能超过1000元;
子女教育的扣除标准为:每个子女每月扣除1000元(可由父母中的一方扣除,或者父母双方各扣除500元)
税率表如下:
级数 全月应纳税所得额 税率
1 不超过3000元的部分 3%
2 超过3000元至12000元的部分 10%
3 超过12000元至25000元的部分 20%
4 超过25000元至35000元的部分 25%
(1)税务部门在小李所在公司用分层抽样方法抽取某
月100位不同层次员工的税前收入,并制成右图的频率
分布直方图.
(ⅰ)请根据频率分布直方图估计该公司员工税前收入的中位数;
(ⅱ)同一组中的数据以这组数据所在区间中点的值
作代表,在不考虑他们的专项附加扣除的情况下,甲、乙两位同学用如下两种方法估计小李所在的公司员工该月平均纳税,请判断哪位同学的方法是正确的,不需说明理由.
甲同学:0.24×0+0.32×30+0.2×90+0.12×290+0.08×490+0.04×690=129.2(元)
乙同学:先计算收入的均值+0.04×14000=7200(元),再利用均值计算平均纳税为:(7200﹣5000)×0.03=66(元)
(2)为研究某城市月薪为20000元群体的纳税情况,现收集了该城市500名公司白领(每人至多1个孩子)的相关资料,通过整理数据知道:这500人中有一个孩子符合子女教育专项附加扣除(假定由他们各自全部扣除)的有400人,不符合子女教育专项附加扣除的人有100人,符合子女专项附加扣除的人中有300人也符合赡养老人专项附加扣除,不符合子女专项附加扣除的人中有50人符合赡养老人专项附加扣除,并且他们均不符合其他专项附加扣除(统计的500人中,任何两人均不在一个家庭且为独生子女).若他们的月收入均为20000元,依据样本估计总体的思想,试估计在新个税政策下这类人群每月应缴纳个税金额X(单位:元)的分布列与期望.

共享时间:2021-06-10 难度:1 相似度:2
168778. (2021•西安中学•八模) 新时代的青年应该注重体育锻炼,全面发展.为了强健学生体魄,陕西省西安中学决定全校学生参与课间健身操运动.为了调查学生对健身操的喜欢程度,现从全校学生中随机抽取了20名男生和20名女生的测试成绩(满分100分)组成一个样本,得到如图所示的茎叶图,并且认为得分不低于80分的学生为喜欢.
(1)请根据茎叶图填写下面的列联表,并判定能否有85%的把握认为该校学生是否喜欢健身操与性别有关?
  喜欢 不喜欢 合计
男生      
女生      
合计      
(2)用样本估计总体,将样本频率视为概率,现从全校男生,女生中各抽取1人,求其中喜欢健身操的人数X的分布列及数学期望.
参考公式及数据:K2,其中na+b+c+d
PK2k0 0.150 0.100 0.050 0.025 0.010 0.001
k0 2.072 2.706 3.841 5.024 6.635 10.828

共享时间:2021-06-19 难度:1 相似度:2
168849. (2021•西工大附中•十二模) .某市政府为了节约生活用电,计划在本市试行居民生活用电定额管理,即确定一户居民月用电量标准a,用电量不超过a的部分按平价收费,超出a的部分按议价收费.为此,政府调查了100户居民的月平均用电量(单位:度),以[160,180),[180,200),[200,220),[220,240),[240,260),[260,280),[280,300)分组的频率分布直方图如图所示.
(1)根据频率分布直方图的数据,求直方图中x的值并估计该市每户居民月平均用电量μ的值;
(2)用频率估计概率,利用(1)的结果,假设该市每户居民月平均用电量X服从正态分布N(μ,σ2
(ⅰ)估计该市居民月平均用电量介于μ~240度之间的概率;
(ⅱ)利用(ⅰ)的结论,从该市所有居民中随机抽取3户,记月平均用电量介于μ~240度之间的户数为ξ,求ξ的分布列及数学期望E(ξ).

共享时间:2021-07-22 难度:1 相似度:2
168964. (2021•交大附中•四模) 甲、乙两人进行抛硬币游戏,规定:每次抛币后,正面向上甲赢,否则乙赢.此时两个人正在游戏,且知甲再赢3次就获胜,而乙要再赢4次才获胜,其中一人获胜游戏结束.设再进行ξ次抛币后游戏结束.
(1)求概率P(ξ=4);
(2)求的分布列,并求其数学期望E(ξ).
共享时间:2021-04-20 难度:1 相似度:2
171738. (2024•西安八十三中•高二下期中) 一个不透明的盒子中有质地、大小均相同的7个小球,其中4个白球,3个黑球,现采取不放回的方式每次从盒中随机抽取一个小球,当盒中只剩一种颜色时,停止取球.
(1)求停止取球时盒中恰好剩3个白球的概率;
(2)停止取球时,记总的抽取次数为X,求X的分布列与数学期望:
共享时间:2024-05-17 难度:1 相似度:2
171371. (2023•西安中学•高三上期中) 2022年10月16日至10月22日,中国共产党第二十次全国代表大会在北京召开,此次大会是在全党全国各族人民迈上全面建设社会主义现代化国家新征程、向第二个百年奋斗目标进军的关键时刻召开的一次十分重要的大会.在树人中学团委的组织下,高二年级各班团支部举行了“学习二十大,做有为青年”的知识竞赛活动,经过激烈竞争,高二(1)班(以下简称一班)和高二(3)班(以下简称三班)进入了最后的年级决赛,决赛规定:共进行5轮比赛,每轮比赛每个班可以从AB两个题库中任选1题作答,在前两轮比赛中每个班的题目必须来自同一题库,后三轮比赛中每个班的题目必须来自同一题库,A题库每题20分,B题库每题30分,一班能正确回答AB题库每题的概率分别为,三班能正确回答AB题库每题的概率均为,且每轮答题结果互不影响.
(1)若一班前两轮选A题库,后三轮选B题库,求其总分不少于100分的概率;
(2)若一班和三班在前两轮比赛中均选了B题库,而且一班两轮得分60分,三班两轮得分30分,一班后三轮换成A题库,三班后三轮不更换题库,设一班最后的总分为X,求X的分布列,并从每班总分的均值来判断,哪个班赢下这场比赛?
共享时间:2023-11-22 难度:1 相似度:2
171438. (2024•长安区一中•高二下期中) 盒中有标记数字1,2,3,4的小球各2个,随机一次取出3个小球.
(1)求取出的3个小球上的数字两两不同的概率;
(2)记取出的3个小球上的最小数字为X,求X的分布列及数学期望EX).
共享时间:2024-05-30 难度:1 相似度:2
169524. (2024•铁一中学•高三上期末) 已知正四棱锥PABCD的底面边长和高都为2.现从该棱锥的5个顶点中随机选取3个点构成三角形,设随机变量X表示所得三角形的面积.
(1)求概率PX=2)的值;
(2)求随机变量X的概率分布及其数学期望EX).

共享时间:2024-02-27 难度:1 相似度:2
169919. (2023•长安区一中•高二下期末) 某学校共有1000名学生参加知识竞赛,其中男生500人,为了解该校学生在知识竞赛中的情况,采取分层抽样随机抽取了100名学生进行调查,分数分布在450~950分之间,根据调查的结果绘制的学生分数频率分布直方图如图所示:将分数不低于750分的学生称为“高分选手”.
(1)求a的值,并估计该校学生分数的平均数、中位数和众数;(同一组中的数据用该组区间的中点值作代表);
(2)现采用分层抽样的方式从分数落在[650,750),[750,850)内的两组学生中抽取8人,再从这8人中随机抽取3人,记被抽取的3名学生中属于“高分选手”的学生人数为随机变量X,求X的分布列及数学期望.

共享时间:2023-07-19 难度:1 相似度:2
170147. (2023•铁一中学•高二下期末) 某企业拥有甲、乙两条零件生产线,为了解零件质量情况,采用随机抽样方法从两条生产线共抽取180个零件,测量其尺寸(单位:mm)得到如下统计表,其中尺寸位于[55,58)的零件为一等品,位于[54,55)和[58,59)的零件为二等品,否则零件为三等品.
生产线 [53,54) [54,55) [55,56) [56,57) [57,58) [58,59) [59,60]
4 9 23 28 24 10 2
2 14 15 17 16 15 1
(1)将样本频率视为概率,从甲、乙两条生产线中分别随机抽取2个零件,每次抽取零件互不影响,以ξ表示这4个零件中一等品的数量,求ξ的分布列和数学期望E(ξ);
(2)已知该企业生产的零件随机装箱出售,每箱60个.产品出厂前,该企业可自愿选择是否对每箱零件进行检验.若执行检验,则每个零件的检验费用为5元,并将检验出的三等品更换为一等品或二等品;若不执行检验,则对卖出的每个三等品零件支付120元赔偿费用.现对一箱零件随机检验了10个,检出了1个三等品.将从两条生产线抽取的所有样本数据的频率视为概率,以整箱检验费用与赔偿费用之和的期望作为决策依据,是否需要对该箱余下的所有零件进行检验?请说明理由.
共享时间:2023-07-12 难度:1 相似度:2
170392. (2022•长安区一中•高二下期末) 甲、乙两个乒乓球运动员进行乒乓球比赛,已知每一局甲胜的概率为0.6,乙胜的概率为0.4,比赛时可以用三局二胜或五局三胜制,问:
(1)在哪一种比赛制度下,甲获胜的可能性大?
(2)若采用三局二胜制,求比赛场次ξ的分布列及数学期望.
共享时间:2022-07-21 难度:1 相似度:2

dygzsxyn

2023-06-26

高中数学 | 高二下 | 解答题

  • 下载量
  • 浏览量
  • 收益额
  • 0
  • 3
  • 0
相同试题
试题下载
试题内容
调用试题名称
共享人
唐老师
试题题型
解答题
试题难度
试题题源
2020*西工大*期末
下载次数
168次
下载金币
5德优币(当前结余18德优币)
温馨提示
该试题下载至自主题库后,下载、备课永久免费!
试卷设置
试卷名称
省市校区
阶段科目
年份卷型
选择类型
已选考点
在线训练
视频讲解
温馨提示
视频讲解正在加载中、请等待!
温馨提示
对不起!这是别人共享的试题,需要下载到自主题库后,可将该试题添加到白板
视频解析购买
支付方式
德优币数
本次消耗0德优币
温馨提示

客服电话:400-816-0029,服务邮箱:610066832@qq.com

视频资源

试题找茬
纠错类型
纠错描述
温馨提示
共享试题、试卷经平台审核通过后方可展示,并永久享用用户下载分红权!