首页 | 客服 | 上传赚现
AI助手
德优题库AI助手

AI助手

搜题▪组卷

(1)

服务热线

400-816-0029

    自建题库,共享分红

德优题库QQ交流群

233369. (2022•西工大附中•高一上二月) 已知函数fx)=ax+bf(1)=1,若对任意的xy都有fx+y)=fxfy)+fx)+fy).
(1)求fx)的解析式;
(2)设
(ⅰ)判断并证明Fx)的奇偶性;
(ⅱ)解不等式:
共享时间:2022-12-20 难度:1
[考点]
抽象函数的奇偶性,
[答案]
(1)fx)=2x﹣1,x∈R.
(2)(ⅰ)Fx)为奇函数,证明详情见解答.
(ⅱ){x|﹣1<x<1}.
[解析]
解:(1)因为f(1)=a+b=1,
因为对任意的xy都有fx+y)=fxfy)+fx)+fy),
x=1,y=0,则f(1)=f(1)•f(0)+f(1)+f(0)=1,
所以f(0)=0,
所以f(0)=a0+b=1+b=0,
解得b=﹣1,a=2,
所以fx)=2x﹣1,x∈R.
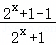
(2)Fx)=x∈R,
(ⅰ)F(﹣x)==﹣Fx),
所以Fx)为奇函数.
(ⅱ)因为y=2x+1是R上的增函数,
所以yR上的减函数,
所以Fx)=R上的增函数,
所以F[1+logx+1)]+F[log2(2﹣x)]>0,
所以F[1+logx+1)]>﹣F[log2(2﹣x)],
因为Fx)为奇函数,
所以﹣F[log2(2﹣x)]=F[﹣log2(2﹣x)],
所以F[1+logx+1)]>F[﹣log2(2﹣x)],
因为Fx)在R上单调递增,
所以1+logx+1)>﹣log2(2﹣x),
所以1+>﹣log2(2﹣x),
所以1﹣log2x+1)>﹣log2(2﹣x),
所以1>log2x+1)﹣log2(2﹣x)=log2),
因为y=log2x是定义在(0,+∞)上的增函数,且log22=1,
所以log22>log2),
所以2>
又2﹣x>0,x+1>0,
所以﹣1<x<1,
所以原不等式的解集为{x|﹣1<x<1}.
[点评]
本题考查了"抽象函数的奇偶性,",属于"基础题",熟悉题型是解题的关键。
转载声明:
本题解析属于发布者收集录入,如涉及版权请向平台申诉! !版权申诉
171242. (2023•师大附中•高一上期中) 设函数fx)对任意xy∈R,都有fx+y)=fx)+fy),当x<0时,fx)>0,f(﹣1)=1.
(1)判断函数fx)的奇偶性和单调性,并加以证明;
(2)当x∈[﹣2,1]时,求函数的值域.
共享时间:2023-11-30 难度:1 相似度:2

dygzsxyn

2022-12-20

高中数学 | 高一上 | 解答题

  • 下载量
  • 浏览量
  • 收益额
  • 0
  • 2
  • 0
相同试题
试题下载
试题内容
调用试题名称
共享人
唐老师
试题题型
解答题
试题难度
试题题源
2020*西工大*期末
下载次数
168次
下载金币
5德优币(当前结余18德优币)
温馨提示
该试题下载至自主题库后,下载、备课永久免费!
试卷设置
试卷名称
省市校区
阶段科目
年份卷型
选择类型
已选考点
在线训练
视频讲解
温馨提示
视频讲解正在加载中、请等待!
温馨提示
对不起!这是别人共享的试题,需要下载到自主题库后,可将该试题添加到白板
视频解析购买
支付方式
德优币数
本次消耗0德优币
温馨提示

客服电话:400-816-0029,服务邮箱:610066832@qq.com

视频资源

试题找茬
纠错类型
纠错描述
温馨提示
共享试题、试卷经平台审核通过后方可展示,并永久享用用户下载分红权!