首页 | 客服 | 上传赚现
AI助手
德优题库AI助手

AI助手

搜题▪组卷

(1)

服务热线

400-816-0029

    自建题库,共享分红

德优题库QQ交流群

232982. (2024•交大附中•高二下一月) 在△ABC中,点DE分别在边BC和边AB上,且DC=2BDBE=2AEADCE于点P,设
(1)若,试用和实数t表示
(2)试用表示
(3)在边AC上有点F,使得,求证:BPF三点共线.

共享时间:2024-04-16 难度:1
[考点]
用平面向量的基底表示平面向量,
[答案]
见试题解答内容
[解析]
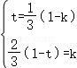
解:(1)由题意,所以+
++t+t)=t(1﹣t①,
(2)设k,由+
++k)=(1﹣k+k②,
由①、②得,t(1﹣t(1﹣k+k
所以,解得,所以+
(3)证明:由,得),所以++
所以,因为有公共点B,所以BPF三点共线.
[点评]
本题考查了"用平面向量的基底表示平面向量,",属于"基础题",熟悉题型是解题的关键。
转载声明:
本题解析属于发布者收集录入,如涉及版权请向平台申诉! !版权申诉
172355. (2022•西安中学•高一下期中) 已知△OAB中,点D在线段OB上,且OD=2DB,延长BAC,使BAAC.设
(1)用表示向量
(2)若向量共线,求k的值.

共享时间:2022-05-13 难度:1 相似度:2
231942. (2025•西安八十五中•高一下二月) 如图,在长方形ABCD中,E为边DC的中点,F为边BC上一点,且.设
(Ⅰ)试用基底{},表示
(Ⅱ)若G为长方形ABCD内部一点,且.求证:EGF三点共线.

共享时间:2025-06-27 难度:1 相似度:2
237207. (2021•师大附中•高一下期中) 如图,在平行四边形ABCD中,MAB的中点,NBD上靠近B的三等分点.
(1)用表示向量
(2)用向量证明:MNC三点共线.

共享时间:2021-05-17 难度:1 相似度:2
231789. (2025•长安区一中•高一下一月) 如图,在直角△ABC中,点D为斜边BC的靠近点B的三等分点,点EAD的中点,
(1)用表示
(2)求向量夹角的正弦值.

共享时间:2025-04-10 难度:2 相似度:1.5

dygzsxyn

2024-04-16

高中数学 | 高二下 | 解答题

  • 下载量
  • 浏览量
  • 收益额
  • 0
  • 3
  • 0
相同试题
试题下载
试题内容
调用试题名称
共享人
唐老师
试题题型
解答题
试题难度
试题题源
2020*西工大*期末
下载次数
168次
下载金币
5德优币(当前结余18德优币)
温馨提示
该试题下载至自主题库后,下载、备课永久免费!
试卷设置
试卷名称
省市校区
阶段科目
年份卷型
选择类型
已选考点
在线训练
视频讲解
温馨提示
视频讲解正在加载中、请等待!
温馨提示
对不起!这是别人共享的试题,需要下载到自主题库后,可将该试题添加到白板
视频解析购买
支付方式
德优币数
本次消耗0德优币
温馨提示

客服电话:400-816-0029,服务邮箱:610066832@qq.com

视频资源

试题找茬
纠错类型
纠错描述
温馨提示
共享试题、试卷经平台审核通过后方可展示,并永久享用用户下载分红权!