首页 | 客服 | 上传赚现
AI助手
德优题库AI助手

AI助手

搜题▪组卷

(1)

服务热线

400-816-0029

    自建题库,共享分红

德优题库QQ交流群

232507. (2023•华清中学•高一上二月) 函数(其中ab为常数)的图象经过(1,2),两点.
(1)求ab的值;并判断函数fx)的奇偶性;
(2)用函数单调性的定义证明:函数fx)在区间[1.+∞)上是增函数.
共享时间:2023-12-18 难度:2
[考点]
定义法求解函数的单调性,奇函数偶函数的判断,
[答案]
(1)ab=1,函数为奇函数;
(2)证明过程见解析.
[解析]
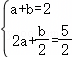
解:(1)∵函数的图象经过(1,2),两点,
,解得
fx)=x+
函数的定义域为{x|x≠0},且f(﹣x)=﹣x+=﹣(x+)=﹣fx),则函数为奇函数;
(2)证明:∀x1x2∈[1,+∞),设x1x2

x2x1≥1,∴x1x2<0,1﹣>0,
<0,即fx1)<fx2).
∴函数fx)在区间[1.+∞)上是增函数.
[点评]
本题考查了"定义法求解函数的单调性,奇函数偶函数的判断,",属于"易错题",熟悉题型是解题的关键。
转载声明:
本题解析属于发布者收集录入,如涉及版权请向平台申诉! !版权申诉
167584. (2023•新城一中•高一上二月) 已知定义域为(﹣1,1)的函数
(1)判断函数fx)的单调性,并证明;
(2)解不等式f(2x﹣1)﹣f(﹣x)<0.
共享时间:2023-12-13 难度:2 相似度:1
170969. (2024•曲江二中•高一上期中) 已知集合A={x|a﹣1<xa+2},
(1)当a=1时,求ABAB
(2)是否存在实数a,使得ABB,若存在,求实数a的取值范围,否则,说明理由.
共享时间:2024-11-24 难度:3 相似度:0.83

dygzsxyn

2023-12-18

高中数学 | 高一上 | 解答题

  • 下载量
  • 浏览量
  • 收益额
  • 0
  • 3
  • 0
相同试题
试题下载
试题内容
调用试题名称
共享人
唐老师
试题题型
解答题
试题难度
试题题源
2020*西工大*期末
下载次数
168次
下载金币
5德优币(当前结余18德优币)
温馨提示
该试题下载至自主题库后,下载、备课永久免费!
试卷设置
试卷名称
省市校区
阶段科目
年份卷型
选择类型
已选考点
在线训练
视频讲解
温馨提示
视频讲解正在加载中、请等待!
温馨提示
对不起!这是别人共享的试题,需要下载到自主题库后,可将该试题添加到白板
视频解析购买
支付方式
德优币数
本次消耗0德优币
温馨提示

客服电话:400-816-0029,服务邮箱:610066832@qq.com

视频资源

试题找茬
纠错类型
纠错描述
温馨提示
共享试题、试卷经平台审核通过后方可展示,并永久享用用户下载分红权!