首页 | 客服 | 上传赚现
AI助手
德优题库AI助手

AI助手

搜题▪组卷

(1)

服务热线

400-816-0029

    自建题库,共享分红

德优题库QQ交流群

232245. (2023•铁一中学•高一上二月) 在函数定义域内,若存在正实数mn,使得函数在区间[mn]上的值域为[m+λ,n+λ]则称此函数为“λ档类正方形函数”(其中λ∈R),已知函数
(1)当k=0时,求函数yfx)的值域;
(2)当x>0时,是否存在k∈(0,1),使得函数fx)为“1档类正方形函数”?若存在,求出实数k的取值范围,若不存在,请说明理由.
共享时间:2023-12-20 难度:1
[考点]
复合函数的值域,
[答案]
(1)(log32,+∞);
(2)存在,
[解析]
解:(1)当k=0时,x∈R),
因为3x+2>2,所以
所以函数yfx)的值域为(log32,+∞).
(2)假设存在k∈(0,1),使得函数fx)为“1档类正方形函数,即存在正实数mn,使得函数fx)在区间[mn]上的值域为[m+1,n+1],
由题意,当x>0,0<k<1时,设t=3xt>1),
所以t=3x在(0,+∞)上为增函数,
设真数为gt)=2kt2﹣(k﹣1)t+k+2,
对称轴为
所以当t∈(1,+∞)时,gt)为增函数,且gt)>g(1)=2k+3>0,
所以fx)在(0,+∞)上为增函数,
所以fxminfm)=m+1,
fxmaxfn)=n+1,
所以mn为方程fx)=x+1的两个不等实根,
即方程在(0,+∞)上有两个不等实根,
即2k•9x﹣(k﹣1)3x+k+2=3x+1在(0,+∞)上有两个不等实根,
t=3xt>1),
所以2kt2﹣(k﹣1)t+k+2=3t
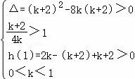
即方程2kt2﹣(k+2)t+k+2=0有两个大于1的不等实根,
ht)=2kt2﹣(k+2)t+k+2,
即函数ht)有两个大于1的零点,
因为0<k<1,
所以
解得
所以存在正实数mn,使得函数fx)为“1档类正方形函数,且k的范围是
[点评]
本题考查了"复合函数的值域,",属于"常考题",熟悉题型是解题的关键。
转载声明:
本题解析属于发布者收集录入,如涉及版权请向平台申诉! !版权申诉
166351. (2024•西工大附中•高一上二月) 一般地,若函数fx)的定义域是[ab],值域为[kakb],则称[kakb]为fx)的“k倍跟随区间”,若函数的定义域为[ab],值域也为[ab],则称[ab]为fx)的“跟随区间”.
(1)写出二次函数的一个“跟随区间”;
(2)求证:函数不存在“跟随区间”;
(3)已知函数有“4倍跟随区间”[4m,4n],当nm取得最大值时,求a的值.
共享时间:2024-12-29 难度:1 相似度:2

dygzsxyn

2023-12-20

高中数学 | 高一上 | 解答题

  • 下载量
  • 浏览量
  • 收益额
  • 0
  • 3
  • 0
相同试题
试题下载
试题内容
调用试题名称
共享人
唐老师
试题题型
解答题
试题难度
试题题源
2020*西工大*期末
下载次数
168次
下载金币
5德优币(当前结余18德优币)
温馨提示
该试题下载至自主题库后,下载、备课永久免费!
试卷设置
试卷名称
省市校区
阶段科目
年份卷型
选择类型
已选考点
在线训练
视频讲解
温馨提示
视频讲解正在加载中、请等待!
温馨提示
对不起!这是别人共享的试题,需要下载到自主题库后,可将该试题添加到白板
视频解析购买
支付方式
德优币数
本次消耗0德优币
温馨提示

客服电话:400-816-0029,服务邮箱:610066832@qq.com

视频资源

试题找茬
纠错类型
纠错描述
温馨提示
共享试题、试卷经平台审核通过后方可展示,并永久享用用户下载分红权!