首页 | 客服 | 上传赚现
AI助手
德优题库AI助手

AI助手

搜题▪组卷

(1)

服务热线

400-816-0029

    自建题库,共享分红

德优题库QQ交流群

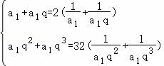
232094. (2024•西工大附中•高二下一月) 已知数列{an}是各项均为正数的等比数列,且a1+a2
(1)求数列{an}的通项公式;
(2)设bnan2+log2an,求数列{bn}的前n项和Tn
共享时间:2024-04-20 难度:2
[考点]
等比数列的通项公式,数列的求和,
[答案]
见试题解答内容
[解析]
解:(Ⅰ)设等比数列{an}的公比为q,且a1>0,q>0,则ana1qn﹣1
由已知得:,化简得
又∵a1>0,q>0,解得a1=1,q=2,
an=2n﹣1
(Ⅱ)由(Ⅰ)知bnan2+log2an=4n﹣1+(n﹣1),
Tn=(1+4+42+…+4n﹣1)+(1+2+3+…+n﹣1)
+
+
[点评]
本题考查了"等比数列的通项公式,数列的求和,",属于"易错题",熟悉题型是解题的关键。
转载声明:
本题解析属于发布者收集录入,如涉及版权请向平台申诉! !版权申诉
169192. (2020•交大附中•三模) 在等比数列{an}中,公比q∈(0,1),且满足a4=2,a32+2a2a6+a3a7=25.
(1)求数列{an}的通项公式;
(2)设bn=log2an,数列{bn}的前n项和为Sn,当取最大值时,求n的值.
共享时间:2020-04-15 难度:1 相似度:1.5
167624. (2024•师大附中•十模) 数列{an}的前n项的最大值记为Mn,即Mnmax{a1a2,…,an};前n项的最小值记为mn,即mnmin{a1a2,…,an},令pnMnmn,并将数列{pn}称为{an}的“生成数列”.
(1)设数列{pn}的“生成数列”为{qn},求证:pnqn
(2)若an=2n﹣3n,求其生成数列{pn}的前n项和.
共享时间:2024-07-09 难度:1 相似度:1.5
170056. (2023•西工大附中•高二上期末) 已知等比数列{an}的前n项和为Sn,且a1=1.
(1)求数列{an}的通项公式;
(2)设,求数列{bn}的前n项和Tn
共享时间:2023-03-01 难度:1 相似度:1.5
170122. (2023•铁一中学•高三上期末) 已知等差数列{an}(n∈N+)中,an+1ana2a9=232,a4+a7=37.
(1)求数列{an}的通项公式;
(2)若将数列{an}的项重新组合,得到新数列{bn},具体方法如下:b1a1b2a2+a3b3a4+a5+a6+a7b4a8+a9+a10+…a15,…,依此类推,第nbn由相应的{an}中2n﹣1项的和组成,求数列{bn}的前n项和Tn
共享时间:2023-02-08 难度:1 相似度:1.5
169010. (2020•西安中学•一模) 已知数列{an}的前n项和为Sn,且nanSn成等差数列,bn=2log2(1+an)﹣1.
(1)求数列{an}的通项公式;
(2)若数列{bn}中去掉数列{an}的项后余下的项按原顺序组成数列{cn},求c1+c2+…+c100的值.
共享时间:2020-03-12 难度:1 相似度:1.5
168801. (2021•西工大附中•十三模) 在等差数列{an}中,a3+a4=12,公差d=2,记数列{a2n﹣1}的前n项和为Sn
(1)求Sn
(2)设数列{}的前n项和为Tn,若a2a5am成等比数列,求Tm
共享时间:2021-07-22 难度:1 相似度:1.5
168410. (2021•西安中学•十模) 已知数列{an},{bn}满足a1=9,an+1=10an+9,bnan+1.
(1)证明:{bn}是等比数列;
(2)求数列{(﹣1)nlgbn}的前n项和Sn
共享时间:2021-07-03 难度:1 相似度:1.5
169675. (2024•西电附中•高二上期末) 在①a8=9,②S5=20,③a2+a9=13这三个条件中选择两个,补充在下面问题中,并进行解答.已知等差数列{an}的前n项和为Snn∈N*,_____,_____.
(1)求数列{an}的通项公式;
(2)设bn,求数列{bn}的前n项和Tn
注:如果选择多组条件分别解答,按第一个解答计分.
共享时间:2024-02-14 难度:1 相似度:1.5
230770. (2022•临潼区•一模) 已知数列{an}的前n项积
(Ⅰ)求数列{an}的通项公式;
(Ⅱ)记bn=log2an,数列{bn}的前n项为Sn,求Sn的最小值.
共享时间:2022-03-08 难度:1 相似度:1.5
230747. (2022•临潼区•一模) 已知数列{an}的前n项积
(Ⅰ)求数列{an}的通项公式;
(Ⅱ)记bn=log2an,数列{bn}的前n项为Sn,求Sn的最小值.
共享时间:2022-03-04 难度:1 相似度:1.5
167368. (2024•长安区•高二下一月) 已知数列{an}的前n项和为Sn,且Snn2+6n﹣2.
(1)求{an}的通项公式;
(2)判断数列是否为等比数列;
(3)证明:数列{a2n}为等差数列,并求该数列的前n项和Tn
共享时间:2024-04-22 难度:1 相似度:1.5
166679. (2024•高新一中•高二上二月) 已知数列{an}满足
(1)求{an}的通项公式;
(2)在anan+1之间插入n个数,使得这n+2个数依次构成公差为dn的等差数列,求数列的前n项和Tn
共享时间:2024-12-27 难度:1 相似度:1.5
167081. (2023•西安中学•高三上四月) 已知各项递增的等比数列{an},其前n项和为Sn,满足S2=6,S4=30.
(1)求{an}的通项公式;
(2)记数列{bn}的通项公式为bn=2n﹣1,将数列{an}与{bn}中的项按从小到大依次排列构成一个新数列{cn},求数列{cn}的前50项和T50
共享时间:2023-02-19 难度:1 相似度:1.5
167280. (2023•长安区一中•高三上五月) 在数列{an}中,a1=1,a2=3,且对任意的n∈N*,都有an+2=3an+1﹣2an
(Ⅰ)证明数列{an+1an}是等比数列,并求数列{an}的通项公式;
(Ⅱ)设,记数列{bn}的前n项和为Sn,若对任意的n∈N*都有,求实数m的取值范围.
共享时间:2023-12-29 难度:1 相似度:1.5
231072. (2016•西安一中•一模) 已知{an}中,a1=1,其前n项和为Sn,且满足an
(Ⅰ)求证:数列{}是等差数列;
(Ⅱ)证明:S1+S2+S3+…+Sn
共享时间:2016-03-14 难度:2 相似度:1

dygzsxyn

2024-04-20

高中数学 | 高二下 | 解答题

  • 下载量
  • 浏览量
  • 收益额
  • 0
  • 3
  • 0
相同试题
试题下载
试题内容
调用试题名称
共享人
唐老师
试题题型
解答题
试题难度
试题题源
2020*西工大*期末
下载次数
168次
下载金币
5德优币(当前结余18德优币)
温馨提示
该试题下载至自主题库后,下载、备课永久免费!
试卷设置
试卷名称
省市校区
阶段科目
年份卷型
选择类型
已选考点
在线训练
视频讲解
温馨提示
视频讲解正在加载中、请等待!
温馨提示
对不起!这是别人共享的试题,需要下载到自主题库后,可将该试题添加到白板
视频解析购买
支付方式
德优币数
本次消耗0德优币
温馨提示

客服电话:400-816-0029,服务邮箱:610066832@qq.com

视频资源

试题找茬
纠错类型
纠错描述
温馨提示
共享试题、试卷经平台审核通过后方可展示,并永久享用用户下载分红权!