首页 | 客服 | 上传赚现
AI助手
德优题库AI助手

AI助手

搜题▪组卷

(1)

服务热线

400-816-0029

    自建题库,共享分红

德优题库QQ交流群

231970. (2024•师大附中•高一下二月) 已知为空间的一个基底,则下列各组向量中能构成空间的一个基底的是(  )
A.           
B.
C.     
D.
共享时间:2024-06-19 难度:1
[考点]
空间向量基本定理及空间向量的基底,
[答案]
B
[解析]
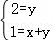
解:对于A,设,即,解得xy=1,
所以共面,不能构成空间的一个基底,故A错误;
对于B,设xy无解,所以不共面,能构成空间的一组基底,故B正确;
对于C,设,整理得,解得,所以共面,不能构成空间的一个基底,故C错误;
对于D,设,解得,所以共面,不能构成空间的一个基底,故D错误.
故选:B
[点评]
本题考查了"空间向量基本定理及空间向量的基底,",属于"基础题",熟悉题型是解题的关键。
转载声明:
本题解析属于发布者收集录入,如涉及版权请向平台申诉! !版权申诉
167223. (2023•周至六中•高二上一月) 已知{}为空间的一组基底,则下列向量也能作为空间的一组基底的是(  )

A.             

C.

B.        

D.

共享时间:2023-10-26 难度:1 相似度:2
231837. (2025•铁一中学•高二下一月) 下列命题不正确的是(  )

A.t为实数,若直线l⊥平面α,且l的方向向量为(t,2,4),α的法向量为,则t=1

B.已知空间向量=(1,2,0),=(0,﹣1,1),=(2,3,m),若共面,则m=1

C..已知两点A(1,﹣3),B(﹣2,1),若沿y轴将坐标平面折成直二面角,则折叠后AB两点间的距离为

D..在空间四边形OABC中,设MN分别为OABC的中点,则

共享时间:2025-04-23 难度:5 相似度:1.2

dygzsxyn

2024-06-19

高中数学 | 高一下 | 选择题

  • 下载量
  • 浏览量
  • 收益额
  • 0
  • 3
  • 0
相同试题
试题下载
试题内容
调用试题名称
共享人
唐老师
试题题型
解答题
试题难度
试题题源
2020*西工大*期末
下载次数
168次
下载金币
5德优币(当前结余18德优币)
温馨提示
该试题下载至自主题库后,下载、备课永久免费!
试卷设置
试卷名称
省市校区
阶段科目
年份卷型
选择类型
已选考点
在线训练
视频讲解
温馨提示
视频讲解正在加载中、请等待!
温馨提示
对不起!这是别人共享的试题,需要下载到自主题库后,可将该试题添加到白板
视频解析购买
支付方式
德优币数
本次消耗0德优币
温馨提示

客服电话:400-816-0029,服务邮箱:610066832@qq.com

视频资源

试题找茬
纠错类型
纠错描述
温馨提示
共享试题、试卷经平台审核通过后方可展示,并永久享用用户下载分红权!