首页 | 客服 | 上传赚现
AI助手
德优题库AI助手

AI助手

搜题▪组卷

(1)

服务热线

400-816-0029

    自建题库,共享分红

德优题库QQ交流群

231837. (2025•铁一中学•高二下一月) 下列命题不正确的是(  )

A.t为实数,若直线l⊥平面α,且l的方向向量为(t,2,4),α的法向量为,则t=1

B.已知空间向量=(1,2,0),=(0,﹣1,1),=(2,3,m),若共面,则m=1

C..已知两点A(1,﹣3),B(﹣2,1),若沿y轴将坐标平面折成直二面角,则折叠后AB两点间的距离为

D..在空间四边形OABC中,设MN分别为OABC的中点,则

共享时间:2025-04-23 难度:5
[考点]
空间向量的数乘及线性运算,空间向量的共线与共面,空间向量基本定理及空间向量的基底,点、线、面间的距离计算,空间向量语言表述线面的垂直、平行关系,
[答案]
D
[解析]
解:选项A,因为直线l⊥平面α,所以,解得t=1,故选项A正确;
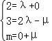
选项B,若共面,则=λ
所以(2,3,m)=λ(1,2,0)+μ(0,﹣1,1),即,解得m=1,故选项B正确;
选项C,过点BBCy轴于点C,连接CA,则BC=2,CA
若沿y轴将坐标平面折成直二面角,则|AB|=,故选项C正确;
选项D,故选项D错误.
故选:D
[点评]
本题考查了"空间向量的数乘及线性运算,空间向量的共线与共面,空间向量基本定理及空间向量的基底,点、线、面间的距离计算,空间向量语言表述线面的垂直、平行关系,",属于"压轴题",熟悉题型是解题的关键。
转载声明:
本题解析属于发布者收集录入,如涉及版权请向平台申诉! !版权申诉
170152. (2023•铁一中学•高二上期末) 如图,在三棱柱ABCA1B1C1中,点M是底面△A1B1C1的重心,若,则=(  )

A.                   

C.

B.                 

D.

共享时间:2023-02-15 难度:1 相似度:1.2
166509. (2024•城关中学•高二上二月) 已知三棱锥OABC中,点MN分别为ABOC的中点,且,则=(  )

A.
B.
C. 
D.
共享时间:2024-12-24 难度:1 相似度:1.2
169200. (2025•师大附中•高二上期末) 如图,三棱锥OABC中,,点NBC中点,点M满足,则=(  )

A.                 

C.   

B.               

D.

共享时间:2025-02-11 难度:1 相似度:1.2
169296. (2025•铁一中学•高二上期末) 已知四面体OABCG是△ABC的重心,若,则x+y﹣2z=(  )
A.0         
B.       
C.      
D.
共享时间:2025-02-12 难度:1 相似度:1.2
169319. (2025•西安八十五中•高二上期末) 《九章算术》中的“商功”篇主要讲述了以立体几何为主的各种形体体积的计算,其中堑堵是指底面为直角三角形的直棱柱.如图,在堑堵ABCA1B1C1中,MN分别是A1C1BB1的中点,GMN的中点,若x+y+z,则x+y+z=(  )

A.1         
B.         
C.        
D.
共享时间:2025-02-15 难度:1 相似度:1.2
169959. (2023•长安区一中•高二上期末) 在棱长为4的正方体ABCDA1B1C1D1中,点EF分别在棱AA1AB上,且C1EEF,则|AF|的最大值为(  )

A.        
B..1        
C.      
D..2
共享时间:2023-02-13 难度:1 相似度:1.2
170042. (2023•西工大附中•高二上期末) 如图,在平行六面体ABCDA1B1C1D1中,ACBD的交点为M,若,则(xyz)=(  )

A.             

C.  

B.           

D.

共享时间:2023-03-01 难度:1 相似度:1.2
170179. (2023•高新一中•高一下期末) 为庆祝神舟十三号飞船顺利返回,某校举行“特别能吃苦,特别能战斗,特别能攻关,特别能奉献”的航天精神演讲比赛,其冠军奖杯设计如图,奖杯由一个半径为6cm的铜球和一个底座组成,底座由边长为36cm的正三角形铜片沿各边中点的连线向上折叠成直二面角而成,则冠军奖杯的高度为(  )cm

A.   
B. 
C.
D.
共享时间:2023-07-11 难度:1 相似度:1.2
167553. (2023•关山中学•高二上一月) 如图,平行六面体ABCDA1B1C1D1中,ACBD的交点为M,设,则选项中与向量相等的是(  )

A.    
B.
C.                    
D.
共享时间:2023-10-16 难度:1 相似度:1.2
170798. (2020•西安中学•高二上期末) 已知=(2,﹣1,2),=(﹣4,2,x),且,则x=(  )
A..5       
B..4        
C..﹣4     
D..﹣5
共享时间:2020-02-15 难度:1 相似度:1.2
170998. (2024•华清中学•高二上期中) 已知三棱锥OABC,点MN分别为ABOC的中点,且表示,则等于(  )

A.+
B.++
C.+)                    
D.
共享时间:2024-11-22 难度:1 相似度:1.2
171092. (2024•西安三中•高二上期中) 平行六面体ABCDA1B1C1D1中,,则实数xyz的值分别为(  )
A.
B.
C.  
D.
共享时间:2024-11-16 难度:1 相似度:1.2
171378. (2023•西安中学•高二上期中) 如图,在三棱柱ABCA1B1C1中,EF分别是BCCC1的中点,G为△ABC的重心,则=(  )

A.           

C.

B.         

D.

共享时间:2023-11-16 难度:1 相似度:1.2
171381. (2023•西安中学•高二上期中) 如图,ABACBD=1,AB⊂平面α,AC⊥平面α,BDABBD与平面α成30°角,则CD间的距离为(  )

A.1         
B..2        
C.     
D.
共享时间:2023-11-16 难度:1 相似度:1.2
171704. (2023•西安八十五中•高二上期中) 如图,在平行六面体ABCDA1B1C1D1中,点E在面对角线A1B上,满足,点F为面对角线B1D1的中点,若,则=(  )

A.                 

C.

B.                 

D.

共享时间:2023-11-17 难度:1 相似度:1.2

dygzsxyn

2025-04-23

高中数学 | 高二下 | 选择题

  • 下载量
  • 浏览量
  • 收益额
  • 0
  • 3
  • 0
相同试题
试题下载
试题内容
调用试题名称
共享人
唐老师
试题题型
解答题
试题难度
试题题源
2020*西工大*期末
下载次数
168次
下载金币
5德优币(当前结余18德优币)
温馨提示
该试题下载至自主题库后,下载、备课永久免费!
试卷设置
试卷名称
省市校区
阶段科目
年份卷型
选择类型
已选考点
在线训练
视频讲解
温馨提示
视频讲解正在加载中、请等待!
温馨提示
对不起!这是别人共享的试题,需要下载到自主题库后,可将该试题添加到白板
视频解析购买
支付方式
德优币数
本次消耗0德优币
温馨提示

客服电话:400-816-0029,服务邮箱:610066832@qq.com

视频资源

试题找茬
纠错类型
纠错描述
温馨提示
共享试题、试卷经平台审核通过后方可展示,并永久享用用户下载分红权!