首页 | 客服 | 上传赚现
AI助手
德优题库AI助手

AI助手

搜题▪组卷

(1)

服务热线

400-816-0029

    自建题库,共享分红

德优题库QQ交流群

231932. (2025•西安八十五中•高一下二月) 已知,且,则向量在向量上的投影向量为(  )
A.       
B.     
C.       
D.
共享时间:2025-06-27 难度:3
[考点]
平面向量数量积的含义与物理意义,平面向量数量积的性质及其运算,平面向量的投影向量,
[答案]
C
[解析]
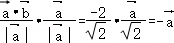
解:因为向量在向量上的投影向量为:
故选:C
[点评]
本题考查了"平面向量数量积的含义与物理意义,平面向量数量积的性质及其运算,平面向量的投影向量,",属于"典型题",熟悉题型是解题的关键。
转载声明:
本题解析属于发布者收集录入,如涉及版权请向平台申诉! !版权申诉
166553. (2024•华清中学•高二上一月) 已知向量=(2,1),=(1,﹣1),向量方向上的投影向量为(  )
A.(2,﹣2)                    
B.)   
C.)                    
D.
共享时间:2024-10-24 难度:3 相似度:2
169975. (2023•西工大附中•高一上期末) 已知||=||=1,+xx∈R),函数fx)=||,当x时,fx)有最小值,则上的投影向量为(  )
A.   
B.    
C.   
D..﹣
共享时间:2023-02-20 难度:2 相似度:1.67
167198. (2023•周至四中•高二上一月) 已知=(2,3,1),=(1,﹣2,﹣2),则上的投影向量为(  )
A.       
B.       
C.      
D.
共享时间:2023-10-15 难度:3 相似度:1.34
166457. (2024•铁一中学•高三上三月) 已知△ABC中,AB=2,AC=1,O为△ABC所在平面内一点,且满足,则的值为(  )
A.﹣4       
B.﹣1        
C..1       
D..4
共享时间:2024-01-29 难度:1 相似度:1.33
169048. (2020•西工大附中•一模) 已知AB是圆Ox2+y2=4上的两个动点,且|.若M是线段AB的中点,则=(  )
A..3       
B.    
C.2         
D..﹣3
共享时间:2020-03-01 难度:1 相似度:1.33
168310. (2021•西安中学•十模) 如果平面向量=(2,﹣4),=(﹣6,12),那么下列结论中不正确的是(  )

A. 

B. 

C.的夹角为180° 

D..向量方向上的投影为2

共享时间:2021-07-10 难度:1 相似度:1.33
168380. (2023•交大附中•十三模) 已知点P在棱长为2的正方体ABCDA1B1C1D1的表面上运动,则的最大值为(  )
A.6         
B.7         
C..8       
D..9
共享时间:2023-07-21 难度:1 相似度:1.33
168511. (2021•西安中学•六模) 已知||=1,||=2,且的夹角为,则||=(  )
A.       
B..2     
C.    
D.
共享时间:2021-05-18 难度:1 相似度:1.33
168703. (2021•西安中学•仿真) 已知向量,则△ABC的面积为(  )
A.1         
B..2        
C..3       
D..4
共享时间:2021-06-05 难度:1 相似度:1.33
168725. (2021•西安中学•仿真) 已知向量,则△ABC的面积为(  )
A..1       
B..2        
C..3       
D.4
共享时间:2021-06-10 难度:1 相似度:1.33
168793. (2021•西工大附中•十三模) 在△ABC中,若,则下列说法正确的是(  )

A.O是△ABC的外心              

C.O是△ABC的内心  

B.O是△ABC的重心              

D.O是△ABC的垂心

共享时间:2021-07-22 难度:1 相似度:1.33
168840. (2021•西工大附中•十二模) 正△ABC的边长为3,M是正△ABC所在平面内一点,则•(2)最小值是(  )
A.        
B.     
C.   
D.
共享时间:2021-07-22 难度:1 相似度:1.33
169340. (2024•师大附中•高一下期末) 柯西不等式是数学家柯西(Cauchy)在研究数学分析中的“流数”问题时得到的一个重要不等式,而柯西不等式的二维形式是同学们可以利用向量工具得到的:已知向量=(x1y1),=(x2y2),由得到,当且仅当x1y2x2y1时取等号.现已知a≥0,b≥0,a+b=5,则的最大值为(  )
A.18        
B..9        
C.   
D.
共享时间:2024-07-09 难度:1 相似度:1.33
169084. (2020•西工大附中•三模) 已知单位向量的夹角为,若垂直,则实数x的值为(  )
A.      
B.       
C.    
D.
共享时间:2020-04-14 难度:1 相似度:1.33
169183. (2020•交大附中•三模) 在矩形ABCD中,AB=3,AD=4,ACBD相交于点O,过点AAEBD,垂足为E,则=(  )

A.       
B.        
C.       
D.
共享时间:2020-04-15 难度:1 相似度:1.33

dygzsxyn

2025-06-27

高中数学 | 高一下 | 选择题

  • 下载量
  • 浏览量
  • 收益额
  • 0
  • 5
  • 0
相同试题
试题下载
试题内容
调用试题名称
共享人
唐老师
试题题型
解答题
试题难度
试题题源
2020*西工大*期末
下载次数
168次
下载金币
5德优币(当前结余18德优币)
温馨提示
该试题下载至自主题库后,下载、备课永久免费!
试卷设置
试卷名称
省市校区
阶段科目
年份卷型
选择类型
已选考点
在线训练
视频讲解
温馨提示
视频讲解正在加载中、请等待!
温馨提示
对不起!这是别人共享的试题,需要下载到自主题库后,可将该试题添加到白板
视频解析购买
支付方式
德优币数
本次消耗0德优币
温馨提示

客服电话:400-816-0029,服务邮箱:610066832@qq.com

视频资源

试题找茬
纠错类型
纠错描述
温馨提示
共享试题、试卷经平台审核通过后方可展示,并永久享用用户下载分红权!