首页 | 客服 | 上传赚现
AI助手
德优题库AI助手

AI助手

搜题▪组卷

(1)

服务热线

400-816-0029

    自建题库,共享分红

德优题库QQ交流群

231860. (2025•曲江二中•高二下一月) 已知函数fx)=mx﹣1)exx2+x上有两个极值点,则实数m的取值范围为(  )
A.                  
B. 
C.                   
D.
共享时间:2025-04-15 难度:1
[考点]
利用导数研究函数的极值,
[答案]
B
[解析]
解:因为函数fx)=mx﹣1)exx2+x上有两个极值点,
所以f′(x)在上有两个变号零点,
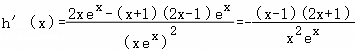
因为f′(x)=mxex﹣2x+1,令f′(x)=0,即mxex﹣2x+1=0,可得
,则
h′(x)>0,得,令h′(x)<0,得1<x<2,
所以函数hx)在上递增,在(1,2)上递减,
因为,如下图所示:

时,直线ym与函数hx)在上的图象有两个交点,
设两个交点的横坐标分别为x1x2,且x1x2
由图可知,当x2x<2时,,此时,
x1xx2时,,此时,
所以函数fx)在(0,x1)上递增,在(x1x2)上递减,在(x2,2)上递增,
此时函数fx)有两个极值点,合乎题意,
因此,实数m的取值范围为
故选:B
[点评]
本题考查了"利用导数研究函数的极值,",属于"基础题",熟悉题型是解题的关键。
转载声明:
本题解析属于发布者收集录入,如涉及版权请向平台申诉! !版权申诉
19743. (2021•陕西省•乙卷) a≠0,若xa为函数fx)=axa2xb)的极大值点,则(  )
A.ab
B.ab
C.aba2
D.aba2
共享时间:2021-06-21 难度:3 相似度:2
170784. (2020•西安中学•高二上期末) 若函数fx)=x2﹣2x+alnx有两个不同的极值点,则实数a的取值范围是(  )
A.a>1    
B.﹣1<a<0  
C.a<1    
D.0<a<1
共享时间:2020-02-24 难度:1 相似度:2
237263. (2021•西安中学•高二下期中) 已知函数fx)=axx2lnx存在极值,若这些极值的和大于5+ln2,则实数a的取值范围为(  )
A..(﹣∞,4)                
B..(4,+∞) 
C.(﹣∞,2)
D..(2,+∞)
共享时间:2021-05-12 难度:1 相似度:2
236964. (2015•高新一中•高二上期末) a∈R,若函数yex+axx∈R没有极值点,则(  )
A.a>1      
B.0<a<1    
C.a≥0    
D.a>0
共享时间:2015-02-23 难度:1 相似度:2
236749. (2015•师大附中•高二上期末) a∈R,若函数yex+2axx∈R有大于0的极值点,则(  )
A.a<﹣   
B.a>﹣    
C.a<﹣ 
D.a>﹣
共享时间:2015-02-25 难度:1 相似度:2
233466. (2023•铁一中学•高二下三月) 已知函数fx)=x3+ax2+bx有两个极值点x1x2,且fx1)=x2fx2)=x1,那么关于x的方程3[fx)]2+2afx)+b=0的不同实根的个数是(  )
A.6个      
B..4个     
C..2个    
D..1个
共享时间:2023-07-19 难度:1 相似度:2
233034. (2023•西安二中•高三上四月) 已知定义在R上的连续可导函数fx)无极值,且∀x∈R,f[fx)+2018x]=2019,若
上与函数fx)的单调性相同,则实数m的取值范围是(  )
A.(﹣∞,﹣2]
B..[﹣2,+∞)                
C..(﹣∞,2]     
D..[﹣2,﹣1]
共享时间:2023-02-24 难度:1 相似度:2
232951. (2023•交大附中•高三上六月) 已知函数有两个极值点,则t的取值范围为(  )

A.e3,+∞)   

C.

B.

D.

共享时间:2023-03-02 难度:1 相似度:2
232406. (2023•滨河中学•高二上二月) 已知f′(x)是函数fx)的导函数,若函数yef′(x的图象大致如图所示,则fx)的极大值点为(  )


A.a         
B.b        
C.c       
D.d
共享时间:2023-12-19 难度:1 相似度:2
232383. (2024•铁一中学•高二下一月) 若函数fx)=x3+ax2+6x﹣3在R上存在极值,则正整数a的最小值为(  )
A..4       
B..5        
C..6       
D..7
共享时间:2024-04-13 难度:1 相似度:2
231950. (2025•西安八十三中•高二下一月) 已知函数fx)=(x+1)exfx)=k有2个实数解,则k的取值范围是(  )
A.              
B.  
C.                
D.(0,+∞)
共享时间:2025-04-16 难度:1 相似度:2
231945. (2025•西安八十三中•高二下一月) 函数y=3xx3的极大值点是(  )
A.(1,2)   
B.1         
C..2       
D..﹣1
共享时间:2025-04-16 难度:1 相似度:2
231460. (2016•西工大附中•九模) 对于三次函数fx)=ax3+bx2+cx+da≠0),给出定义:设f′(x)是函数yfx)的导数,f″(x)是f′(x)的导数,若方程f″(x)=0有实数解x0,则称点(x0fx0))为函数yfx)的“拐点”.经过探究发现:任何一个三次函数都有“拐点”;任何一个三次函数都有对称中心,且“拐点”就是对称中心.设函数gx)=,则g)+g)+…+g)=(  )
A.2016      
B.2015      
C..4030    
D..1008
共享时间:2016-06-15 难度:1 相似度:2
19764. (2021•陕西省•乙卷) a≠0,若xa为函数fx)=axa2xb)的极大值点,则(  )
A.ab
B.ab
C.aba2
D.aba2
共享时间:2021-06-21 难度:3 相似度:2
230688. (2022•长安区•二模) 函数fx)的定义域为R,其导函数f′(x)的图像如图所示,则函数fx)极值点的个数为(  )

A..2
B..3               
C..4
D.5
共享时间:2022-03-16 难度:1 相似度:2

dygzsxyn

2025-04-15

高中数学 | 高二下 | 选择题

  • 下载量
  • 浏览量
  • 收益额
  • 0
  • 3
  • 0
相同试题
试题下载
试题内容
调用试题名称
共享人
唐老师
试题题型
解答题
试题难度
试题题源
2020*西工大*期末
下载次数
168次
下载金币
5德优币(当前结余18德优币)
温馨提示
该试题下载至自主题库后,下载、备课永久免费!
试卷设置
试卷名称
省市校区
阶段科目
年份卷型
选择类型
已选考点
在线训练
视频讲解
温馨提示
视频讲解正在加载中、请等待!
温馨提示
对不起!这是别人共享的试题,需要下载到自主题库后,可将该试题添加到白板
视频解析购买
支付方式
德优币数
本次消耗0德优币
温馨提示

客服电话:400-816-0029,服务邮箱:610066832@qq.com

视频资源

试题找茬
纠错类型
纠错描述
温馨提示
共享试题、试卷经平台审核通过后方可展示,并永久享用用户下载分红权!