首页 | 客服 | 上传赚现
AI助手
德优题库AI助手

AI助手

搜题▪组卷

(1)

服务热线

400-816-0029

    自建题库,共享分红

德优题库QQ交流群

231815. (2025•西工大附中•高二下一月) 若复数z1z2在复平面内对应的点关于x轴对称,且z1=1+i,则复数=(  )
A..1       
B..﹣1      
C.i
D..﹣i
共享时间:2025-04-10 难度:1
[考点]
复数的乘法及乘方运算,
[答案]
C
[解析]
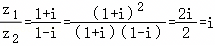
解:∵复数z1z2在复平面内对应的点关于x轴对称,且z1=1+i
∴由复平面内关于x轴的对称点的性质得z2=1﹣i
∴由复数运算法则得:

故选:C
[点评]
本题考查了"复数的乘法及乘方运算,",属于"基础题",熟悉题型是解题的关键。
转载声明:
本题解析属于发布者收集录入,如涉及版权请向平台申诉! !版权申诉
166969. (2024•西安中学•高一下一月) 若复数z1=2﹣iz2=3+4i,则下列说法正确的是(  )

A.

B.z1z2的虚部是﹣5i   

C. 

D.在复数范围内,z1是方程x2﹣4x+5=0的根

共享时间:2024-04-30 难度:1 相似度:2
169554. (2024•师大附中•高二下期末) 已知复数z满足,则z=(  )
A.﹣5﹣2i   
B.5﹣2i      
C..﹣5+2
D..5+2i
共享时间:2024-07-27 难度:1 相似度:2
231248. (2016•西工大附中•五模) 已知,则ff(1﹣i))=(  )

A.2﹣i      

C.1         

B.3         

D..3+i

共享时间:2016-05-11 难度:1 相似度:2
231272. (2016•西工大附中•五模) 已知,则ff(1﹣i))=(  )

A.2﹣i      

C..1        

B.3         

D..3+i

共享时间:2016-05-04 难度:1 相似度:2
166742. (2024•建大附中•一模) |i﹣2i3|=(  )
A.3         
B.1         
C.       
D.
共享时间:2024-03-13 难度:2 相似度:1.5
230537. (2025•西工大附中•十二模) 已知复数z=1+i2025,则|z|=(  )
A.2         
B.      
C..1       
D.
共享时间:2025-07-25 难度:2 相似度:1.5

dygzsxyn

2025-04-10

高中数学 | 高二下 | 选择题

  • 下载量
  • 浏览量
  • 收益额
  • 0
  • 3
  • 0
相同试题
试题下载
试题内容
调用试题名称
共享人
唐老师
试题题型
解答题
试题难度
试题题源
2020*西工大*期末
下载次数
168次
下载金币
5德优币(当前结余18德优币)
温馨提示
该试题下载至自主题库后,下载、备课永久免费!
试卷设置
试卷名称
省市校区
阶段科目
年份卷型
选择类型
已选考点
在线训练
视频讲解
温馨提示
视频讲解正在加载中、请等待!
温馨提示
对不起!这是别人共享的试题,需要下载到自主题库后,可将该试题添加到白板
视频解析购买
支付方式
德优币数
本次消耗0德优币
温馨提示

客服电话:400-816-0029,服务邮箱:610066832@qq.com

视频资源

试题找茬
纠错类型
纠错描述
温馨提示
共享试题、试卷经平台审核通过后方可展示,并永久享用用户下载分红权!