首页 | 客服 | 上传赚现
AI助手
德优题库AI助手

AI助手

搜题▪组卷

(1)

服务热线

400-816-0029

    自建题库,共享分红

德优题库QQ交流群

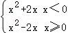
231504. (2015•西安中学•一模) 已知函数fx)=f(2﹣x2)>fx),则实数x的取值范围是(  )
A..(﹣∞,﹣1)∪(2,+∞)   
B.(﹣∞,﹣2)∪(1,+∞)                                   
C.(﹣1,2)                    
D.(﹣2,1)
共享时间:2015-03-05 难度:1
[考点]
分段函数的应用,
[答案]
D
[解析]
解:∵当x=0时,两个表达式对应的函数值都为零
∴函数的图象是一条连续的曲线
∵当x≤0时,函数fx)=x3为增函数;当x>0时,fx)=lnx+1)也是增函数
∴函数fx)是定义在R上的增函数
因此,不等式f(2﹣x2)>fx)等价于2﹣x2x
x2+x﹣2<0,解之得﹣2<x<1,
故选:D
[点评]
本题考查了"分段函数的应用,",属于"常考题",熟悉题型是解题的关键。
转载声明:
本题解析属于发布者收集录入,如涉及版权请向平台申诉! !版权申诉
166908. (2023•师大附中•高一上二月) 设函数,集合M={x|[fx)]2+2fx)+k=0,k∈R},则下列命题中正确的是(  )

A.k=1时,M={6}

C.k>1时,M=∅ 

B.M={abc},则k的取值范围为(﹣15,﹣3)  

D.M={abcd}(其中abcd),则2a+2b+c+d=14

共享时间:2023-12-16 难度:1 相似度:2
231115. (2016•西工大附中•四模) 定义在R上的奇函数fx),当x≥0时,
fx)=
则关于x的函数Fx)=fx)﹣a(0<a<1)的所有零点之和为(  )

A.1﹣2a     

C.2a﹣1      

B..1﹣2a  

D..2a﹣1

共享时间:2016-04-19 难度:1 相似度:2
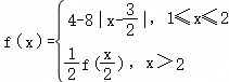
237759. (2017•西安中学•高一上期中) 已知函数,其中m>0,若存在实数b,使得函数yfx)与直线yb有三个不同的交点,则m的取值范围是(  )

A.(3,+∞) 

C.(3,8)    

B.(﹣∞,﹣3) 

D..(﹣8,﹣3)

共享时间:2017-11-10 难度:1 相似度:2
237350. (2021•西工大附中•高二下期中) 已知函数fx)=,若fx1)=fx2)(x1x2),则x1+x2的最大值为(  )

A.     

C.2ln2﹣  

B..3ln2﹣2 

D.ln2﹣1

共享时间:2021-05-16 难度:1 相似度:2
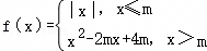
237096. (2021•西工大附中•高一上期中) 已知函数fx)=,若f(﹣a)+fa)<0,则实数a的取值范围是(  )

A.(﹣2,2)                    

C.[﹣2,0] 

B.(﹣2,0)∪(0,2)           

D..[﹣2,2]

共享时间:2021-11-30 难度:1 相似度:2
237074. (2021•高新一中•高一上期中) 若函数在R上单调递减,则实数a的取值范围是(  )

A.(0,1)   

C. 

B.

D.(1,+∞)

共享时间:2021-11-18 难度:1 相似度:2
237004. (2021•西安一中•高一上期中) 已知λ∈R,函数fx)=,函数fx)恰有2个零点,则λ的取值范围是(  )

A.(﹣∞,1]∪(4,+∞)         

C..(1,3]∪(4,+∞)                                       

B.(1,3)∪[4,+∞)           

D.(﹣∞,1)∪(4,+∞)

共享时间:2021-11-27 难度:1 相似度:2
236794. (2016•西安中学•高二下期末) 已知函数fx)=,若存在实数abcd,满足fa)=fb)=fc)=fd),其中dcba>0,则abcd的取值范围是(  )

A.(16,21) 

C.(16,24)

B.(17,21)    

D.(18,24)

共享时间:2016-07-26 难度:1 相似度:2
236707. (2016•西北大附中•高二下期末) 已知函数,若abc互不相等,且fa)=fb)=fc),则abc的取值范围是(  )

A.(1,10)  

C.(5,6)    

B.(10,12) 

D.(20,24)

共享时间:2016-07-10 难度:1 相似度:2
236699. (2016•西北大附中•高二下期末) 已知函数fx)=,若f[f(0)]=4a,则实数a等于(  )

A.        

C.         

B..2       

D.9

共享时间:2016-07-10 难度:1 相似度:2
236034. (2019•西安中学•高二下期末) 设函数的最小值是1,则实数a的取值范围是(  )

A.(﹣∞,4] 

C..[4,+∞)

B.(﹣∞,5] 

D.[5,+∞)

共享时间:2019-07-23 难度:1 相似度:2
231573. (2015•西安一中•二模) 已知函数fx)=,则下列式子成立的是(  )

A.f)<f(1)<f)      

C.f(1)<f)<f)                                 

B.f)<f(1)<f)      

D.f)<f)<f(1)

共享时间:2015-03-23 难度:1 相似度:2
231527. (2015•西安一中•一模) 已知函数fx)=f(2﹣x2)>fx),则实数x的取值范围是(  )

A.(﹣∞,﹣1)∪(2,+∞)      

C..(﹣∞,﹣2)∪(1,+∞)                                  

B.(﹣1,2)                    

D..(﹣2,1)

共享时间:2015-03-01 难度:1 相似度:2
168221. (2021•西安中学•四模) 已知函数fx)=|lnx|,若关于x的方程fx)+mgx)恰有三个不相等的实数解,则m的取值范围是(  )

A.[0,ln2]                     

C..(﹣2﹣ln2,0)

B.(﹣2﹣ln2,0]                

D.[0,2+ln2)

共享时间:2021-04-28 难度:1 相似度:2
231163. (2016•西工大附中•二模) 已知定义在[1,+∞)上的函数,当x∈[2n﹣1,2n](n∈N*)时,函数fx)的图象与x轴围成的图象面积为Sn,则S1+S2+…+Sn=(  )

A.2n        

C.2n        

B..2n+1﹣2  

D.n2+n

共享时间:2016-03-22 难度:1 相似度:2

dygzsxyn

2015-03-05

高中数学 | | 选择题

  • 下载量
  • 浏览量
  • 收益额
  • 0
  • 3
  • 0
相同试题
试题下载
试题内容
调用试题名称
共享人
唐老师
试题题型
解答题
试题难度
试题题源
2020*西工大*期末
下载次数
168次
下载金币
5德优币(当前结余18德优币)
温馨提示
该试题下载至自主题库后,下载、备课永久免费!
试卷设置
试卷名称
省市校区
阶段科目
年份卷型
选择类型
已选考点
在线训练
视频讲解
温馨提示
视频讲解正在加载中、请等待!
温馨提示
对不起!这是别人共享的试题,需要下载到自主题库后,可将该试题添加到白板
视频解析购买
支付方式
德优币数
本次消耗0德优币
温馨提示

客服电话:400-816-0029,服务邮箱:610066832@qq.com

视频资源

试题找茬
纠错类型
纠错描述
温馨提示
共享试题、试卷经平台审核通过后方可展示,并永久享用用户下载分红权!