首页 | 客服 | 上传赚现
AI助手
德优题库AI助手

AI助手

搜题▪组卷

(1)

服务热线

400-816-0029

    自建题库,共享分红

德优题库QQ交流群

231267. (2016•西工大附中•五模) 已知椭圆E的中心在坐标原点,焦点在坐标轴上,且经过A(﹣2,0),B(2,0),C(1,).
(Ⅰ)求椭圆E的方程;
(Ⅱ)设经过D(1,0)点的直线l交椭圆异于AB的两点MN,试证明直线AMBN的交点在一条定直线上,并求出该直线的方程.
共享时间:2016-05-11 难度:1
[考点]
椭圆的几何特征,
[答案]
见试题解答内容
[解析]
解:(I)设椭圆EAx2+By2=1(A>0,B>0),
ABC代入得4A=1,A+B=1,
解得AB
可得椭圆E的方程为
II)证明:将直线lykx﹣1)代入椭圆方程得
(3+4k2x2﹣8k2x+4(k2﹣3)=0,
Mx1y1),Nx2y2),

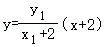
直线AM的方程为,即
直线BN的方程为,即
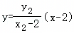
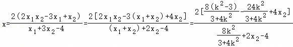
联立得


所以直线AM与直线BN的交点在定直线x=4上.
[点评]
本题考查了"椭圆的几何特征,",属于"常考题",熟悉题型是解题的关键。
转载声明:
本题解析属于发布者收集录入,如涉及版权请向平台申诉! !版权申诉
166563. (2024•华清中学•高二上一月) F1F2为椭圆C+=1的两个焦点,MC上一点且在第一象限.若△MF1F2为等腰三角形,则M的坐标为             
共享时间:2024-10-24 难度:1 相似度:2
168196. (2023•西工大附中•八模) 如图,椭圆C1=1(ab>0)的左右焦点分别为的F1F2,离心率为;过抛物线C2x2=4by焦点F的直线交抛物线于MN两点,当|MF|=时,M点在x轴上的射影为F1.连结NOMO并延长分别交C1AB两点,连接AB;△OMN与△OAB的面积分别记为SOMNSOAB,设λ=
(Ⅰ)求椭圆C1和抛物线C2的方程;
(Ⅱ)求λ的取值范围.

共享时间:2023-06-11 难度:1 相似度:2
231291. (2016•西工大附中•五模) 已知椭圆E的中心在坐标原点,焦点在坐标轴上,且经过A(﹣2,0),B(2,0),C(1,).
(Ⅰ)求椭圆E的方程;
(Ⅱ)设经过D(1,0)点的直线l交椭圆异于AB的两点MN,试证明直线AMBN的交点在一条定直线上,并求出该直线的方程.
共享时间:2016-05-04 难度:1 相似度:2
231195. (2016•西工大附中•二模) F1F2是椭圆Cx2+2y2=2λ(λ>0)的左、右焦点,P是椭圆上任意一点.
(1)记∠F1PF2=θ,求证:cosθ≥0;
(2)若F1(﹣1,0),点N(﹣2,0),已知椭圆C上的两个动点AB满足=λ,当λ∈[]时,求直线AB斜率的取值范围.
共享时间:2016-03-22 难度:1 相似度:2
231171. (2016•西工大附中•二模) F1F2是椭圆Cx2+2y2=2λ(λ>0)的左、右焦点,P是椭圆上任意一点.
(1)记∠F1PF2=θ,求证:cosθ≥0;
(2)若F1(﹣1,0),点N(﹣2,0),已知椭圆C上的两个动点AB满足=λ,当λ∈[]时,求直线AB斜率的取值范围.
共享时间:2016-03-22 难度:1 相似度:2
231099. (2016•西安一中•一模) 已知椭圆的左右焦点分别为F1F2,离心率为,点M在椭圆上,且满足MF2x轴,
(Ⅰ)求椭圆的方程;
(Ⅱ)若直线ykx+2交椭圆于AB两点,求△ABOO为坐标原点)面积的最大值.
共享时间:2016-03-14 难度:1 相似度:2
171285. (2024•师大附中•高二上期中) 已知F1F2分别是椭圆C+y2=1的左、右焦点.
(1)若P是第一象限内该椭圆上的一点,=﹣,求点P的坐标;
(2)若直线l与圆Ox2+y2相切,交椭圆CAB两点,是否存在这样的直线l,使得OAOB
共享时间:2024-11-26 难度:1 相似度:2
170792. (2020•西安中学•高二上期末) 已知椭圆C=1(ab>0)的离心率为,短轴长为4.
(1)求椭圆的标准方程;
(2)已知过点P(2,1)作弦且弦被P平分,则此弦所在的直线方程.
共享时间:2020-02-24 难度:1 相似度:2
170687. (2021•铁一中学•高二上期末) 已知椭圆C+=1(ab>0)的离心率e,左、右焦点分别为F1F2,抛物线y2=4x的焦点F恰好是椭圆C的一个顶点.
(1)求椭圆C的方程;
(2)已知圆Ox2+y2的切线l与椭圆相交于AB两点,证明:以AB为直径的圆必经过原点.
共享时间:2021-02-27 难度:1 相似度:2
170571. (2021•西安中学•高二上期末) (1)已知椭圆的离心率为,点(2,)在C上.求椭圆C的方程;
(2)求与椭圆4x2+5y2=20有相同的焦点,且顶点在原点的抛物线方程.
共享时间:2021-02-20 难度:1 相似度:2
170058. (2023•西工大附中•高二上期末) 如图,已知椭圆+=1(ab>0),椭圆的长轴长为8,离心率为
(1)求椭圆方程;
(2)椭圆内接四边形ABCD的对角线交于原点,且()•()=0,求四边形ABCD周长的最大值与最小值.

共享时间:2023-03-01 难度:1 相似度:2
168413. (2021•西安中学•十模) 已知椭圆C+=1的左、右顶点分别为AB,右焦点为F,折线|x﹣1|=mym≠0)与C交于MN两点.
(1)当m=2时,求|MF|+|NF|的值;
(2)直线AMBN交于点P,证明:点P在定直线上.
共享时间:2021-07-03 难度:1 相似度:2
169551. (2024•铁一中学•高二上期末) 设点P是椭圆上任意一点,过点P作椭圆的切线,与椭圆交于AB两点.
(1)求证:|PA|=|PB|;
(2)△OAB的面积是否为定值?若是,求出这个定值;若不是,请说明理由.

共享时间:2024-02-22 难度:1 相似度:2
168173. (2023•西工大附中•八模) 如图,椭圆C1=1(ab>0)的左右焦点分别为的F1F2,离心率为;过抛物线C2x2=4by焦点F的直线交抛物线于MN两点,当|MF|=时,M点在x轴上的射影为F1.连结NOMO并延长分别交C1AB两点,连接AB;△OMN与△OAB的面积分别记为SOMNSOAB,设λ=
(Ⅰ)求椭圆C1和抛物线C2的方程;
(Ⅱ)求λ的取值范围.

共享时间:2023-06-15 难度:1 相似度:2
170170. (2023•铁一中学•高二上期末) 已知椭圆C=1(ab>0)的离心率为,短轴端点到焦点的距离为2.
(1)求椭圆C的方程;
(2)设AB为椭圆C上任意两点,O为坐标原点,且OAOB.求证:原点O到直线AB的距离为定值,并求出该定值.
共享时间:2023-02-15 难度:2 相似度:1.5

dygzsxyn

2016-05-11

高中数学 | | 解答题

  • 下载量
  • 浏览量
  • 收益额
  • 0
  • 4
  • 0
相同试题
试题下载
试题内容
调用试题名称
共享人
唐老师
试题题型
解答题
试题难度
试题题源
2020*西工大*期末
下载次数
168次
下载金币
5德优币(当前结余18德优币)
温馨提示
该试题下载至自主题库后,下载、备课永久免费!
试卷设置
试卷名称
省市校区
阶段科目
年份卷型
选择类型
已选考点
在线训练
视频讲解
温馨提示
视频讲解正在加载中、请等待!
温馨提示
对不起!这是别人共享的试题,需要下载到自主题库后,可将该试题添加到白板
视频解析购买
支付方式
德优币数
本次消耗0德优币
温馨提示

客服电话:400-816-0029,服务邮箱:610066832@qq.com

视频资源

试题找茬
纠错类型
纠错描述
温馨提示
共享试题、试卷经平台审核通过后方可展示,并永久享用用户下载分红权!