首页 | 客服 | 上传赚现
AI助手
德优题库AI助手

AI助手

搜题▪组卷

(1)

服务热线

400-816-0029

    自建题库,共享分红

德优题库QQ交流群

231261. (2016•西工大附中•五模) 执行如图所示的程序框图,若输入A的值为2,则输出的P值为      

共享时间:2016-05-11 难度:1
[考点]
程序框图,
[答案]
见试题解答内容
[解析]
解:当S=1时,满足进行循环的条件,执行循环体后:P=2,S=1+
S时,满足进行循环的条件,执行循环体后:P=3,S=1++
S时,满足进行循环的条件,执行循环体后:P=4,S=1+++=2
S=2时,不满足进行循环的条件,
则输出P的值为 4
故答案为:4.
[点评]
本题考查了"程序框图,",属于"基础题",熟悉题型是解题的关键。
转载声明:
本题解析属于发布者收集录入,如涉及版权请向平台申诉! !版权申诉
168568. (2021•西安中学•九模) 执行下面的程序框图,如果输入xy∈R,那么输出z的最小值为    
共享时间:2021-06-30 难度:1 相似度:2
168797. (2021•西工大附中•十三模) 某程序框图如图所示,若使输出的结果不大于37,则输入的整数i的最大值为       

共享时间:2021-07-22 难度:1 相似度:2
170744. (2020•西安中学•高二下期末) 马林•梅森是17世纪法国著名的数学家和修道士,也是当时欧洲科学界一位独特的中心人物,梅森在欧几里得、费马等人研究的基础上对形如2p﹣1的数作了大量的计算、验证工作.人们为了纪念梅森在数论方面的这一贡献,将形如2p﹣1(其中p是素数)的素数,称为梅森素数.若执行如图所示的程序框图,则输出的梅森素数的个数是             

共享时间:2020-07-09 难度:1 相似度:2
231285. (2016•西工大附中•五模) 执行如图所示的程序框图,若输入A的值为2,则输出的P值为        

共享时间:2016-05-04 难度:1 相似度:2
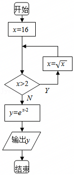
231413. (2016•西工大附中•六模) 执行如图所示的程序框图,输出结果y的值是       

共享时间:2016-05-26 难度:1 相似度:2
231437. (2016•西工大附中•六模) 执行如图所示的程序框图,输出结果y的值是      

共享时间:2016-05-25 难度:1 相似度:2
231486. (2016•西工大附中•八模) 阅读如图所示程序框图,若输出的n=5,则满足条件的整数p共有     个.

共享时间:2016-06-11 难度:1 相似度:2
231625. (2015•西工大附中•三模) 在一次演讲比赛中,6位评委对一位选手打分的茎叶图,如图1所示,若去掉一个最高分和一个最低分后,得
到一组数据xii=1,2,3,4),在如图2所示的程序框图中,是这四个数的平均数,则输出的V的值为     

共享时间:2015-04-12 难度:1 相似度:2
231649. (2015•西工大附中•二模) 定义运算ab为执行如图所示的程序框图输出的S值,则(2cos)⊗(2tan)的值为     

共享时间:2015-03-25 难度:1 相似度:2
237951. (2017•西安中学•高一下期中) (必做题)为调查长沙市中学生平均每人每天参加体育锻炼时间(单位:分钟),按锻炼时间分下一列四种情况统计:①0~10分钟;②11~20分钟;③21~30分钟;④30分钟以上.有10000名中学生参加了此项活动,如图是此次调查中某一项的流程图,其输出的结果是6200,则平均每天参加体育锻炼时间在0~20分钟内的学生的频率是           .

共享时间:2017-05-28 难度:1 相似度:2

dygzsxyn

2016-05-11

高中数学 | | 填空题

  • 下载量
  • 浏览量
  • 收益额
  • 0
  • 4
  • 0
相同试题
试题下载
试题内容
调用试题名称
共享人
唐老师
试题题型
解答题
试题难度
试题题源
2020*西工大*期末
下载次数
168次
下载金币
5德优币(当前结余18德优币)
温馨提示
该试题下载至自主题库后,下载、备课永久免费!
试卷设置
试卷名称
省市校区
阶段科目
年份卷型
选择类型
已选考点
在线训练
视频讲解
温馨提示
视频讲解正在加载中、请等待!
温馨提示
对不起!这是别人共享的试题,需要下载到自主题库后,可将该试题添加到白板
视频解析购买
支付方式
德优币数
本次消耗0德优币
温馨提示

客服电话:400-816-0029,服务邮箱:610066832@qq.com

视频资源

试题找茬
纠错类型
纠错描述
温馨提示
共享试题、试卷经平台审核通过后方可展示,并永久享用用户下载分红权!