首页 | 客服 | 上传赚现
AI助手
德优题库AI助手

AI助手

搜题▪组卷

(1)

服务热线

400-816-0029

    自建题库,共享分红

德优题库QQ交流群

230822. (2022•临潼区•二模) 已知关于x的不等式|x﹣2|﹣|x﹣3|≤mx∈R恒成立.
(1)求实数m的最小值;
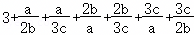
(2)若abc为正实数,k为实数m的最小值,且++k,求证:a+2b+3c≥9.
共享时间:2022-03-18 难度:2
[考点]
绝对值不等式的解法,不等式的证明,
[答案]
见试题解答内容
[解析]
解:(1)∵|x﹣2|﹣|x﹣3|≤|(x﹣2)﹣(x﹣3)|=1,
不等式|x﹣2|﹣|x﹣3|≤mx∈R恒成立,
m≥1,
m最小值为1.
(2)由(1)知k=1,




当且仅当a=2b=3c时等号成立,
a+2b+3c≥9.
[点评]
本题考查了"绝对值不等式的解法,不等式的证明,",属于"必考题",熟悉题型是解题的关键。
转载声明:
本题解析属于发布者收集录入,如涉及版权请向平台申诉! !版权申诉
168531. (2021•西安中学•六模) 已知函数fx)=|xa|﹣2|x2﹣1|.
(1)当x∈(﹣1,1)时,fx)<3,求a的取值范围;
(2)若0<x<1,a>1,求证:fx)﹣x
共享时间:2021-05-18 难度:2 相似度:2
167674. (2024•西安中学•一模) 已知a>0,b>0,c>0,函数fx)=|x+a|+|x﹣2|,不等式fx)≥5的解集为{x|x≤﹣2或x≥3}.
(1)求实数a的值;
(2)若fx)的最小值为Mb+cM,求证:
共享时间:2024-03-11 难度:2 相似度:2
168485. (2021•西安中学•三模) .已知函数fx)=|xa|+|2x﹣1|﹣1(a∈R)的一个零点为1.
(1)求不等式fx)≤1的解集;
(2)若,求证:m+2n≥10.
共享时间:2021-04-14 难度:2 相似度:2
168301. (2022•西工大附中•一模) .已知函数fx)=|x﹣1|.
(1)求不等式fx)+f(2x+2)>3的解集M
(2)设abM,求证:
共享时间:2022-03-12 难度:2 相似度:2
168278. (2021•西安中学•五模) 已知函数fx)=|x+1|﹣|x﹣2|.
(1)解不等式fx)≤2;
(2)记函数fx)的最大值为s,若++sa>0,b>0,c>0),证明:++≥3.
共享时间:2021-05-15 难度:2 相似度:2
168038. (2023•西安中学•七模) 已知关于x的不等式|x+1|﹣|x﹣2|≥|t﹣1|+t有解.
(1)求实数t的取值范围;
(2)若abc均为正数,mt的最大值,且2a+b+cm.求证:
共享时间:2023-06-04 难度:2 相似度:2
167858. (2024•西工大附中•模拟) .已知函数fx)=|x﹣2|.
(Ⅰ)求不等式fx)>4﹣|x+1|的解集;
(Ⅱ)设,若,求证:a+
共享时间:2024-03-05 难度:2 相似度:2
167720. (2024•西安一中•五模) 已知函数fx)=|x﹣2|+3|x|.
(1)求不等式fx)≥10的解集;
(2)若fx)的最小值为m,正数abc满足a+b+cm,求证a2+b2+c2
共享时间:2024-05-13 难度:2 相似度:2
167697. (2024•西安中学•五模) .已知关于x的不等式|x+1|﹣|x﹣2|≥|t﹣1|+t有解.
(1)求实数t的取值范围;
(2)若abc均为正数,mt的最大值,且2a+b+cm.求证:
共享时间:2024-05-09 难度:2 相似度:2
167881. (2024•西工大附中•模拟) 已知函数fx)=|x﹣2|.
(Ⅰ)求不等式fx)>4﹣|x+1|的解集;
(Ⅱ)设,若,求证:a+
共享时间:2024-03-05 难度:2 相似度:2
167108. (2023•西安中学•高三上二月) 已知函数fx)=|x﹣2|﹣|2x+2|.
(1)求不等式fx)+4>0的解集;
(2)记函数fx)的最大值为M,若a+b+cM,证明:(a﹣1)2+(b+1)2+(c﹣1)2
共享时间:2023-12-24 难度:2 相似度:2
167194. (2023•周至四中•一模) 已知函数fx)=2|x+2|﹣|x﹣5|.
(1)求不等式fx)≥4的解集;
(2)若fx)≥a2+2a﹣10恒成立,求实数a的取值范围.
共享时间:2023-03-04 难度:1 相似度:1.5
166815. (2024•西安八十五中•高一上一月) (1)已知abc,且a+b+c=0,证明:
(2)证明:a≥3).
共享时间:2024-10-22 难度:1 相似度:1.5
168107. (2023•西工大附中•十三模) 已知函数fx)=|2x﹣4|+|x+4|的最小值是m
(1)求m的值;
(2)若正数abc满足a+b+cm,求证:≤3
共享时间:2023-07-20 难度:1 相似度:1.5
168130. (2024•西安一中•二模) 已知函数fx)=||x﹣2|﹣|x+1||.
(1)求fx)的值域;
(2)求不等式的解集.
共享时间:2024-03-17 难度:1 相似度:1.5

dygzsxyn

2022-03-18

高中数学 | | 解答题

  • 下载量
  • 浏览量
  • 收益额
  • 0
  • 3
  • 0
相同试题
试题下载
试题内容
调用试题名称
共享人
唐老师
试题题型
解答题
试题难度
试题题源
2020*西工大*期末
下载次数
168次
下载金币
5德优币(当前结余18德优币)
温馨提示
该试题下载至自主题库后,下载、备课永久免费!
试卷设置
试卷名称
省市校区
阶段科目
年份卷型
选择类型
已选考点
在线训练
视频讲解
温馨提示
视频讲解正在加载中、请等待!
温馨提示
对不起!这是别人共享的试题,需要下载到自主题库后,可将该试题添加到白板
视频解析购买
支付方式
德优币数
本次消耗0德优币
温馨提示

客服电话:400-816-0029,服务邮箱:610066832@qq.com

视频资源

试题找茬
纠错类型
纠错描述
温馨提示
共享试题、试卷经平台审核通过后方可展示,并永久享用用户下载分红权!