首页 | 客服 | 上传赚现
AI助手
德优题库AI助手

AI助手

搜题▪组卷

(1)

服务热线

400-816-0029

    自建题库,共享分红

德优题库QQ交流群

230608. (2025•临潼区•二模) 已知数列{an}满足
(Ⅰ)求数列{an}的通项公式;
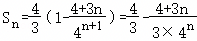
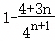
(Ⅱ)令,记数列{bn}的前n项和为Sn,求证:
共享时间:2025-03-24 难度:2
[考点]
数列的求和,数列递推式,
[答案]
见试题解答内容
[解析]
解:(Ⅰ)已知,①
n=1时,a1=3×1=3,
n≥2时,有,②
①﹣②得:,则an=3n
验证a1=3适合上式.
则数列{an}的通项公式为:an=3n
证明:(Ⅱ)∵an=3n



两式相减得


[点评]
本题考查了"数列的求和,数列递推式,",属于"必考题",熟悉题型是解题的关键。
转载声明:
本题解析属于发布者收集录入,如涉及版权请向平台申诉! !版权申诉
168525. (2021•西安中学•六模) 若数列{an}的前n项和Sn=2an﹣2,n∈N*.
(1)求数列{an}的通项公式;
(2)若bn=log2a2n﹣1n∈N*),求数列{bn}的前n项和Tn
共享时间:2021-05-18 难度:2 相似度:2
169332. (2025•西安八十五中•高二上期末) 设数列{an}的前n项和为Sn,已知S2=4,an+1=2Sn+1(n∈N*).数列{bn}是首项为a1,公差不为零的等差数列,且b1b2b7成等比数列.
(1)求数列{an}和{bn}的通项公式;
(2)若,数列{cn}的前n项和为Tn,且Tnm恒成立,求m的取值范围.
共享时间:2025-02-15 难度:2 相似度:2
171282. (2024•师大附中•高二上期中) 设各项均为正数的数列{an}的前n项和为Sn,且满足
(1)求出数列{an}的通项公式;
(2)设bna2n,数列{bn}的前n项和为Tn,求Tn≥780时,n的最小值.
共享时间:2024-11-26 难度:2 相似度:2
170875. (2025•师大附中•高二下期中) 已知数列{an}的前n项和为Sn,满足Sn=2an﹣2.
(1)求{an}的通项公式;
(2)删去数列{an}的第3i项(其中i=1,2,3,…),将剩余的项按从小到大的顺序排成新数列{bn},设{bn}的前n项和为Tn,请写出{bn}的前6项,并求出T6T2n
共享时间:2025-04-26 难度:2 相似度:2
168387. (2023•交大附中•十三模) 正项数列{an}的前n项和为Sn,已知2anSn+1.
(1)求证:数列{}为等差数列,并求出Snan
(2)若bn,求数列{bn}的前2023项和T2023
共享时间:2023-07-21 难度:2 相似度:2
168193. (2023•西工大附中•八模) 已知数列{an}满足a1=1,a2=3,数列{bn}为等比数列,且满足bnan+1an)=bn+1
(1)求数列{an}的通项公式;
(2)数列{bn}的前n项和为Sn,若 _____,记数列{cn}满足cn,求数列{cn}的前2n项和T2n
在①2S2S3﹣2;②b2,2a3b4成等差数列;③S6=126这三个条件中任选一个补充在第(2)问中,并对其求解.
注:若选择多个条件分别解答,按第一个解答计分.
共享时间:2023-06-11 难度:2 相似度:2
168147. (2023•西工大附中•六模) 已知数列{an}的前n项和为Sn,且对任意的n∈N*有Sn=2an+n﹣3.
(1)证明:数列{an﹣1}为等比数列;
(2)求数列的前n项和Tn
共享时间:2023-05-19 难度:2 相似度:2
169676. (2024•西电附中•高二上期末) 已知数列{an}和{bn}中,数列{an}的前n项和记为Sn.若点(nSn)在函数y=﹣x2+4x的图象上,点(nbn)在函数y=2x的图象上.
(Ⅰ)求数列{an}的通项公式;
(Ⅱ)求数列{anbn}的前n项和Tn
共享时间:2024-02-14 难度:2 相似度:2
167668. (2024•西安中学•一模) 已知等差数列{an}的首项为1,公差为2.正项数列{bn}的前n项和为Sn,且
(1)求数列{an}和数列{bn}的通项公式;
(2)若,求数列{cn}的前2n项和.
共享时间:2024-03-11 难度:2 相似度:2
171505. (2023•铁一中学•高二上期中) 已知数列{an}满足a1=2,
(1)设,求证:数列{bn}为等差数列,并求数列{an}的通项公式;
(2)设,数列{cncn+2}的前n项和为Tn,是否存在正整数m,使得对任意的n∈N*都成立?若存在,求出m的最小值;若不存在,试说明理由.
共享时间:2023-11-20 难度:3 相似度:1.67
169272. (2025•西工大附中•高二上期末) 已知数列{an}满足nan+1﹣(n+1)annn+1),且a1=1.
(1)证明是等差数列,并求{an}的通项公式;
(2)若数列{bn}满足,求{bn}的前n项和Sn
(3)若存在n∈N*,使得不等式成立,求实数λ的取值范围.
共享时间:2025-02-18 难度:3 相似度:1.67
167082. (2023•西安中学•高三上四月) 已知数列{an}的前n项和为Sn,且n∈N*
(1)求数列{an}的通项公式;
(2)设数列{bn}满足:b1=1,n≥2),求数列的前n项和Tn
(3)若对任意的n∈N*恒成立,求λ的取值范围.
共享时间:2023-02-19 难度:3 相似度:1.67
169192. (2020•交大附中•三模) 在等比数列{an}中,公比q∈(0,1),且满足a4=2,a32+2a2a6+a3a7=25.
(1)求数列{an}的通项公式;
(2)设bn=log2an,数列{bn}的前n项和为Sn,当取最大值时,求n的值.
共享时间:2020-04-15 难度:1 相似度:1.5
168410. (2021•西安中学•十模) 已知数列{an},{bn}满足a1=9,an+1=10an+9,bnan+1.
(1)证明:{bn}是等比数列;
(2)求数列{(﹣1)nlgbn}的前n项和Sn
共享时间:2021-07-03 难度:1 相似度:1.5
167624. (2024•师大附中•十模) 数列{an}的前n项的最大值记为Mn,即Mnmax{a1a2,…,an};前n项的最小值记为mn,即mnmin{a1a2,…,an},令pnMnmn,并将数列{pn}称为{an}的“生成数列”.
(1)设数列{pn}的“生成数列”为{qn},求证:pnqn
(2)若an=2n﹣3n,求其生成数列{pn}的前n项和.
共享时间:2024-07-09 难度:1 相似度:1.5

dygzsxyn

2025-03-24

高中数学 | | 解答题

  • 下载量
  • 浏览量
  • 收益额
  • 0
  • 4
  • 0
相同试题
试题下载
试题内容
调用试题名称
共享人
唐老师
试题题型
解答题
试题难度
试题题源
2020*西工大*期末
下载次数
168次
下载金币
5德优币(当前结余18德优币)
温馨提示
该试题下载至自主题库后,下载、备课永久免费!
试卷设置
试卷名称
省市校区
阶段科目
年份卷型
选择类型
已选考点
在线训练
视频讲解
温馨提示
视频讲解正在加载中、请等待!
温馨提示
对不起!这是别人共享的试题,需要下载到自主题库后,可将该试题添加到白板
视频解析购买
支付方式
德优币数
本次消耗0德优币
温馨提示

客服电话:400-816-0029,服务邮箱:610066832@qq.com

视频资源

试题找茬
纠错类型
纠错描述
温馨提示
共享试题、试卷经平台审核通过后方可展示,并永久享用用户下载分红权!