首页 | 客服 | 上传赚现
AI助手
德优题库AI助手

AI助手

搜题▪组卷

(1)

服务热线

400-816-0029

    自建题库,共享分红

德优题库QQ交流群

230591. (2025•西工大附中•十三模) .已知椭圆C的长轴是短轴的倍,且椭圆上一点到焦点的最远距离为3,AB是椭圆左右顶点,过AB作椭圆的切线,取椭圆上x轴上方任意两点PQPQ的左侧),并过PQ两点分别作椭圆的切线交于R点,直线RP交点A的切线于I,直线RQ交点B的切线于J,过RAB的垂线交IK
(1)求椭圆的标准方程.
(2)若R(1,2),直线RPRQ的斜率分别为k1k2,求k1k2的值.
(3)求证:

共享时间:2025-07-25 难度:1
[考点]
直线与椭圆的综合,
[答案]
(1)
(2)
(3)证明见解析.
[解析]
解:(1)由题意:,解得
所以椭圆的标准方程为:
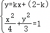
(2)设过点R的切线方程为:y﹣2=kx﹣1),即ykx+(2﹣k),
联立,消去y并整理得:(4k2+3)x2+8k(2﹣kx+4(2﹣k2﹣12=0,
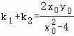
由Δ=0=64k2(2﹣k2=4(4k2+3)[4(2﹣k2﹣12],
整理得:3k2+4k﹣1=0,所以k1k2
(3)证明:设Rx0y0)(y0>0),RK的延长线交x轴于K点,如图:

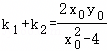
PQ两点处切线斜率分别为k1k2,则
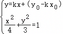
R点的椭圆的切线方程为:yy0kxx0),
联立,消去y并化简整理得:
由Δ=0得,
化简整理得:
由韦达定理得:
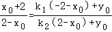
所以yIk1(﹣2﹣x0)+y0yJk2(2﹣x0)+y0
所以要证明,只需证明



因为,所以上式成立,
成立.
[点评]
本题考查了"直线与椭圆的综合,",属于"常考题",熟悉题型是解题的关键。
转载声明:
本题解析属于发布者收集录入,如涉及版权请向平台申诉! !版权申诉
169741. (2023•师大附中•高二下期末) 已知椭圆的左顶点为APC上一点,O为原点,|PA|=|PO|,∠APO=90°,△APO的面积为1.
(1)求椭圆C的方程;
(2)设BC的右顶点,过点(1,0)且斜率不为O的直线lC交于MN两点,证明:3tan∠MAB=tan∠NBA
共享时间:2023-07-03 难度:1 相似度:2
168058. (2023•长安区一中•二模) 如图,双曲线的中心在原点,焦点到渐近线的距离为,左、右顶点分别为AB.曲线C是以双曲线的实轴为长轴,虚轴为短轴,且离心率为的椭圆,设P在第一象限且在双曲线上,直线BP交椭圆于点M,直线AP与椭圆交于另一点N
(1)求椭圆及双曲线的标准方程;
(2)设MNx轴交于点T,是否存在点P使得xP=4xT(其中xPxT为点PT的横坐标),若存在,求出P点的坐标,若不存在,请说明理由.

共享时间:2023-03-28 难度:1 相似度:2
169570. (2024•师大附中•高二下期末) 已知椭圆C=1(ab>0)经过点,其右焦点为
(1)求椭圆C的离心率;
(2)若点PQ在椭圆C上,右顶点为A,且满足直线APAQ的斜率之积为.求△APQ面积的最大值.
共享时间:2024-07-27 难度:1 相似度:2
169417. (2024•西安中学•高三上期末) 设椭圆C+=1(ab>0)的离心率为,圆Ox2+y2=2与x轴正半轴交于点A,圆O在点A处的切线被椭圆C截得的弦长为
(1)求椭圆C的方程;
(2)过圆O上任意一点作圆的切线交椭圆C于点MN,求证:以MN为直径的圆过点O
共享时间:2024-02-27 难度:1 相似度:2
169313. (2025•铁一中学•高二上期末) 极点与极线是法国数学家吉拉德・迪沙格于1639年在射影几何学的奠基之作《圆锥曲线论稿》中正式阐述的.对于椭圆,极点Px0y0)(不是坐标原点)对应的极线为.已知椭圆的长轴长为,左焦点与抛物线y2=﹣12x的焦点重合,对于椭圆E,极点P(﹣6,0)对应的极线为lP,过点P的直线l与椭圆E交于MN两点,在极线lP上任取一点Q,设直线MQNQPQ的斜率分别为k1k2k3k1k2k3均存在).
(1)求极线lP的方程;
(2)求证:k1+k2=2k3
(3)已知过点Q且斜率为2的直线与椭圆E交于AB两点,直线PAPB与椭圆E的另一个交点分别为CD,证明直线CD恒过定点,并求出定点的坐标.
共享时间:2025-02-12 难度:1 相似度:2
168873. (2021•西工大附中•十模) 已知椭圆E的方程为,离心率,且短轴长为4.
(1)求椭圆E的方程;
(2)已知A(2,0),B(﹣2,0),若直线l与圆x2+y2=4相切,且交椭圆ECD两点,记△ACD的面积为S1,记△BCD的面积为S2,求S1S2的最大值.
共享时间:2021-07-03 难度:1 相似度:2
168850. (2021•西工大附中•十二模) 已知椭圆C=1的左顶点为A,过其右焦点F作直线交椭圆CDE(异于左、右顶点)两点,直线ADAE与直线lx=4分别交于MN,线段MN的中点为H,连接FH
(1)求证:FHDE
(2)求△DEH面积的最小值.
共享时间:2021-07-22 难度:1 相似度:2
168690. (2021•西安中学•仿真) 设椭圆ab>0)的离心率为,圆Ox2+y2=2与x轴正半轴交于点A,圆O在点A处的切线被椭圆C截得的弦长为
(Ⅰ)求椭圆C的方程;
(Ⅱ)设圆O上任意一点P处的切线交椭圆C于点MN,试判断|PM|•|PN|是否为定值?若为定值,求出该定值;若不是定值,请说明理由.
共享时间:2021-06-10 难度:1 相似度:2
168528. (2021•西安中学•六模) 已知椭圆C+=1(ab>0)的离心率为,定点M(2,0),椭圆短轴的端点是B1B2,且MB1MB2
(1)求椭圆C的方程;
(2)设过点M且斜率不为0的直线交椭圆CAB两点.试问x轴上是否存在异于M的定点P,使PM平分∠APB?若存在,求出点P的坐标;若不存在,说明理由.
共享时间:2021-05-18 难度:1 相似度:2
168505. (2021•西安中学•三模) 已知椭圆C,点A(1,),B(1,2).
(Ⅰ)若直线l与椭圆C交于MN两点,且A为线段MN的中点,求直线MN的斜率;
(Ⅱ)若直线l2y=2x+tt≠0)与椭圆C交于PQ两点,求△BPQ面积的最大值.
共享时间:2021-04-03 难度:1 相似度:2
168459. (2021•西安中学•七模) 已知斜率为k的直线l与椭圆C+=1交于AB两点,线段AB的中点为M(1,m)(m>0).
(1)证明:k<﹣
(2)设FC的右焦点,PC上一点,且++.证明:||,||,||成等差数列,并求该数列的公差.
共享时间:2021-06-02 难度:1 相似度:2
166255. (2024•师大附中•高二上二月) 设椭圆的离心率为,且短轴长为4,过点E(0,1)的直线lx轴相交于点M,与椭圆相交于AB两点.
(1)求椭圆的方程;
(2)若,求直线l的方程.
共享时间:2024-12-29 难度:1 相似度:2
168298. (2022•西工大附中•一模) 已知椭圆C=1(ab>0)的离心率为A1A2分别为椭圆C的左、右顶点,B为椭圆C的上顶点,F1为椭圆C的左焦点,且△A1F1B的面积为
(Ⅰ)求椭圆C的方程;
(Ⅱ)设过点D(1,0)的动直线l交椭圆于EF两点(点Ex轴上方),MN分别为直线A1EA2Fy轴的交点,O为坐标原点,求的值.
共享时间:2022-03-12 难度:1 相似度:2
167327. (2023•长安区一中•高三上二月) 已知椭圆W+=1的长轴长为4,左、右顶点分别为AB,经过点P(1,0)的动直线与椭圆W相交于不同的两点CD(不与点AB重合).
(Ⅰ)求椭圆W的方程及离心率;
(Ⅱ)求四边形ACBD面积的最大值.
共享时间:2023-12-21 难度:1 相似度:2
166330. (2024•西安中学•高二上二月) 已知椭圆C1,椭圆C2C1的短轴为长轴且与C1有相同的离心率.
(1)求椭圆C2的方程;
(2)设O为坐标原点,点AB分别在C1C2上,,求直线AB的方程.
共享时间:2024-12-23 难度:1 相似度:2
相同试题
试题下载
试题内容
调用试题名称
共享人
唐老师
试题题型
解答题
试题难度
试题题源
2020*西工大*期末
下载次数
168次
下载金币
5德优币(当前结余18德优币)
温馨提示
该试题下载至自主题库后,下载、备课永久免费!
试卷设置
试卷名称
省市校区
阶段科目
年份卷型
选择类型
已选考点
在线训练
视频讲解
温馨提示
视频讲解正在加载中、请等待!
温馨提示
对不起!这是别人共享的试题,需要下载到自主题库后,可将该试题添加到白板
视频解析购买
支付方式
德优币数
本次消耗0德优币
温馨提示

客服电话:400-816-0029,服务邮箱:610066832@qq.com

视频资源

试题找茬
纠错类型
纠错描述
温馨提示
共享试题、试卷经平台审核通过后方可展示,并永久享用用户下载分红权!