首页 | 客服 | 上传赚现
AI助手
德优题库AI助手

AI助手

搜题▪组卷

(1)

服务热线

400-816-0029

    自建题库,共享分红

德优题库QQ交流群

230525. (2025•长安区•二模) 已知双曲线C=1(b>0)的右焦点为F,直线lx+by=0是C的一条渐近线,Pl上一点,则下列说法中正确的是(  )

A.C的虚轴长为

B.C的离心率为  

C..|PF|的最小值为 

D..过点P(2,2)能作4条直线与C仅有一个交点

共享时间:2025-03-26 难度:1
[考点]
双曲线的离心率,
[答案]
ACD
[解析]
解:已知双曲线C=1(b>0)的右焦点为F,直线lx+by=0是C的一条渐近线,Pl上一点,
又双曲线的渐近线方程为bx±2y=0,

解得
所以双曲线
对于AC的虚轴长
A正确;
对于Ba=2,
C的离心率
B错误;
对于C,点到直线的距离为
即|PF|的最小值为
C正确;
对于D,过点P(2,2)垂直于x轴的直线为x=2,此直线与双曲线相切于点P,符合题意,
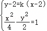
设过点P(2,2)斜率存在的直线为y﹣2=kx﹣2),
联立方程组
得(1﹣2k2x2+8kk﹣1)x﹣8k2+16k﹣12=0,
当(1﹣2k2x2﹣4kmx﹣2(m2+1)=0,
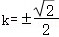
当1﹣2k2=0时,即时,直线平行于渐近线,与双曲线只有一个交点,符合题意,
当1﹣2k2≠0时,Δ=64k2k﹣1)2﹣4(1﹣2k2)(﹣8k2+16k﹣12)=0,
解得,此时直线与双曲线相切,
故过点P(2,2)能作4条直线与C仅有一个交点,
D正确.
故选:ACD

[点评]
本题考查了"双曲线的离心率,",属于"常考题",熟悉题型是解题的关键。
转载声明:
本题解析属于发布者收集录入,如涉及版权请向平台申诉! !版权申诉
169324. (2025•西安八十五中•高二上期末) 设双曲线的左、右焦点分别为F1F2,点P在双曲线C的右支上,且不与双曲线C的顶点重合,则下列命题中正确的是(  )

A.a=3,b=2,则双曲线C的两条渐近线的方程是

B..若点P的坐标为,则双曲线C的离心率大于3

C.PF1PF2,则△F1PF2的面积等于b2

D..若双曲线C为等轴双曲线,且|PF1|=2|PF2|,则

共享时间:2025-02-15 难度:5 相似度:2

dygzsxyn

2025-03-26

高中数学 | | 多选题

  • 下载量
  • 浏览量
  • 收益额
  • 0
  • 3
  • 0
相同试题
试题下载
试题内容
调用试题名称
共享人
唐老师
试题题型
解答题
试题难度
试题题源
2020*西工大*期末
下载次数
168次
下载金币
5德优币(当前结余18德优币)
温馨提示
该试题下载至自主题库后,下载、备课永久免费!
试卷设置
试卷名称
省市校区
阶段科目
年份卷型
选择类型
已选考点
在线训练
视频讲解
温馨提示
视频讲解正在加载中、请等待!
温馨提示
对不起!这是别人共享的试题,需要下载到自主题库后,可将该试题添加到白板
视频解析购买
支付方式
德优币数
本次消耗0德优币
温馨提示

客服电话:400-816-0029,服务邮箱:610066832@qq.com

视频资源

试题找茬
纠错类型
纠错描述
温馨提示
共享试题、试卷经平台审核通过后方可展示,并永久享用用户下载分红权!