首页 | 客服 | 上传赚现
AI助手
德优题库AI助手

AI助手

搜题▪组卷

(1)

服务热线

400-816-0029

    自建题库,共享分红

德优题库QQ交流群

170874. (2025•师大附中•高二下期中) 为解决农产品难卖、知名度不高等问题,某县凝聚电商直播群体及电商直播销售行业“新”力量助力乡村振兴.下表为某农户在7个月的直播中产生的农产品销售额:
时间代码x 1 2 3 4 5 6 7
销售额y
(单位:千元)
0.84 1.37 2.76 4.43 5.49 7.66 8.94
对数据进行处理后,得到如下统计量的值:
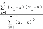
xiyi
4.5 165.2 140
参考公式:
(1)根据表格中的数据,求出y关于x的线性回归方程;
(2)规定当月销售额超过1.5万元时,能被评选为“优秀带货主播”,预测该农户在第几个月能被评选为“优秀带货主播”.
共享时间:2025-04-26 难度:1
[考点]
经验回归方程与经验回归直线,
[答案]
见试题解答内容
[解析]
解:(1)由表中数据可得

y关于x的线性回归方程是=1.4x﹣1.1.
(2)令=1.4x﹣1.1>15,解得x>11.5,
∴预测该农户在第12个月能被评选为“优秀带货主播”.
[点评]
本题考查了"经验回归方程与经验回归直线,",属于"常考题",熟悉题型是解题的关键。
转载声明:
本题解析属于发布者收集录入,如涉及版权请向平台申诉! !版权申诉
167036. (2023•西安中学•高三上一月) 3月14日OpenAI公司宣布正式发布为ChatGPT提供支持的更强大的下一代人工智能技术GPT﹣4,科技产业的发展迎来新的格局,数据显示,它在各种专业和学术基准上与人类水平相当,优秀到令人难以置信,虽然给各行业带来了不同程度的挑战,但是也孕育了新的发展机遇.下表是某教育公司从2019年至2023年人工智能上的投入情况,其中x表示年份代码(2019年用1表示,2020年用2表示,以此类推),y表示投入资金(单位:百万元).
x 1 2 3 4 5
y 3 7 8 10 12
(1)已知可用线性回归模型拟合yx的关系,请用相关系数加以说明;(若|r|>0.75,则线性相关程度很高)(运算结果保留两位小数)
(2)求y关于x的线性回归方程,并预测该公司2024年的投入资金.
参考公式与数据:

共享时间:2023-10-27 难度:1 相似度:2
236068. (2019•西安中学•高二下期末) 某基地蔬菜大棚采用水培、无土栽培方式种植各类蔬菜.过去50周的资料显示,该地周光照量X(小时)都在30小时以上,其中不足50小时的周数有5周,不低于50小时且不超过70小时的周数有35周,超过70小时的周数有10周.根据统计,该基地的西红柿增加量y(百斤)与使用某种液体肥料x(千克)之间对应数据为如图所示的折线图.
(1)依据数据的折线图,是否可用线性回归模型拟合yx的关系?请计算相关系数r并加以说明(精确到0.01);(若|r|>0.75,则线性相关程度很高,可用线性回归模型拟合)
(2)蔬菜大棚对光照要求较大,某光照控制仪商家为该基地提供了部分光照控制仪,但每周光照控制仪最多可运行台数受周光照量X限制,并有如表关系:
周光照量X(单位:小时) 30X<50 50X≤70 X>70
光照控制仪最多可运行台数 3 2 1
若某台光照控制仪运行,则该台光照控制仪周利润为3000元;若某台光照控制仪未运行,则该台光照控制仪周亏损1000元.以过去50周的周光照量的频率作为周光照量发生的概率,商家欲使周总利润的均值达到最大,应安装光照控制仪多少台?
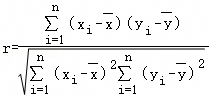
附:相关系数公式,参考数据

共享时间:2019-07-16 难度:1 相似度:2
172310. (2022•师大附中•高二下期中) 有人收集了某10年中某城市居民年收入与某种商品的销售额的相关数据:
n 1 2 3 4 5 6 7 8 9 10
年收入/亿元 23 28 39 43 49 51 53 56 58 60
商品销售额/万元 14 18 21 26 29 32 35 38 42 45
(1)建立商品年销售额y与居民年收入x之间的回归方程;
(2)通过建立的商品年销售额y与居民年收入x之间的回归方程,估计居民年收入为100亿元时,此商品的年销售额.
参考公式:
参考数据:
共享时间:2022-05-16 难度:1 相似度:2
172335. (2021•西安中学•高二上期中) 偏差是指个别测定值与测定的平均值之差,在成绩统计中,我们把某个同学的某科考试成绩与该科班平均分的差叫某科偏差,在某次考试成绩统计中,某老师为了对学生数学偏差x(单位:分)与物理偏差y(单位:分)之间的关系进行分析,随机挑选了8位同学,得到他们的两科成绩偏差数据如下:
学生序号 1 2 3 4 5 6 7 8
数学偏差x 20 15 13 3 2 ﹣5 ﹣10 ﹣18
物理偏差y 6.5 3.5 3.5 1.5 0.5 ﹣0.5 ﹣2.5 ﹣3.5
(1)若xy之间具有线性相关关系,求y关于x的线性回归方程;
(2)若该次考试该数学平均分为120分,物理平均分为91.5分,试由(1)的结论预测数学成绩为128分的同学的物理成绩.
参考数据:
共享时间:2021-11-26 难度:1 相似度:2
172442. (2021•西安中学•高二上期中) 某科技公司研发了一项新产品A,经过市场调研,对公司1月份至6月份销售量及销售单价进行统计,销售单价x(千元)和销售量y(千件)之间的一组数据如表所示:
月份 1 2 3 4 5 6
销售单价xi 9 9.5 10 10.5 11 8
销售量yi 11 10 8 6 5 15
(1)试根据1至5月份的数据,建立y关于x的回归直线方程;
(2)若由回归直线方程得到的估计数据与剩下的检验数据的误差不超过0.65千元,则认为所得到的回归直线方程是理想的,试问(1)中所得到的回归直线方程是否理想?
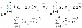
参考公式:回归直线方程,其中
参考数据:
共享时间:2021-11-29 难度:1 相似度:2
232262. (2023•铁一中学•高三上一月) 某学校为学生开设了一门模具加工课,经过一段时间的学习,拟举行一次模具加工大赛,学生小明、小红打算报名参加大赛.赛前,小明、小红分别进行了为期一周的封闭强化训练,下表记录了两人在封闭强化训练期间每天加工模具成功的次数,其中小明第7天的成功次数a忘了记录,但知道36≤a≤60,a∈Z.
  第一天 第二天 第三天 第四天 第五天 第六天 第七天
序号x 1 2 3 4 5 6 7
小明成功次数 16 20 20 25 30 36 a
小红成功次数 16 22 25 26 32 35 35
(1)求这7天内小明成功的总次数不少于小红成功的总次数的概率;
(2)根据小明这7天内前6天的成功次数,求其成功次数y关于序号x的线性回归方程,并估计小明第七天成功次数a的值.
参考公式:回归方程中斜率与截距的最小二乘估计公式分别为
参考数据:1×16+2×20+3×20+4×25+5×30+6×36=582;12+22+32+42+52+62=91.
共享时间:2023-10-22 难度:1 相似度:2
235984. (2020•交大附中•高二上期末) 为了解春季昼夜温差大小与某种子发芽多少之间的关系,现在从4月份的30天中随机挑选了5天进行研究,且分别记录了每天昼夜温差与每天每100颗种子浸泡后的发芽数,得到如下表格:
日期 4月1日 4月7日 4月15日 4月21日 4月30日
温差x/℃ 10 11 13 12 8
发芽数y/颗 23 25 30 26 16
(1)从这5天中任选2天,记发芽的种子数分别为mn,求事件“mn均不小于25”的概率;
(2)若由线性回归方程得到的估计数据与4月份所选5天的检验数据的误差均不超过2颗,则认为得到的线性回归方程是可靠的.请根据4月7日,4月15日与4月21日这三天的数据,求出y关于x的线性回归方程,并判定所得的线性回归方程是否可靠?
参考公式:
参考数据:
共享时间:2020-02-16 难度:1 相似度:2
236064. (2019•西安中学•高二下期末) 某羽绒服卖场为了解气温对营业额的影响,随机记录了该店3月份上旬中某5天的日营业额y(单元:千元)与该地当日最低气温x(单位:℃)的数据,如表:
x 2 5 8 9 11
y 12 10 8 8 7
(1)求y关于x的回归直线方程
(2)设该地3月份的日最低气温XN(μ,σ2),其中μ近似为样本平均数,σ2近似为样本方差,求P(0.6<X<3.8)
参考公式:
计算参考值:22+52+82+92+112=295,2×12+5×10+8×8+9×8+11×7=287,≈3.2,P(μ﹣σ<X<μ+σ)=0.6827,P(μ﹣2σ<X<μ+σ2)=0.9545.
共享时间:2019-07-16 难度:1 相似度:2
236802. (2016•西安中学•高二下期末) 某种产品的广告费用支出x(万元)与销售额y(万元)之间有如下的对应数据:
x 2 4 5 6 8
y 30 40 60 50 70
(1)求回归直线方程;
(2)据此估计广告费用为9万元时,销售收入y的值.
参考公式:回归直线的方程,其中
共享时间:2016-07-26 难度:1 相似度:2
167060. (2023•西安中学•高三上一月) 某地经过多年的环境治理,已将荒山改造成了绿水青山.为了估计一林区某种树木的总材积量,随机选取了10棵这种树木,测量每棵树的根部横截面(单位:m2)和材积量(单位:m3),得到如下数据:
样本号i 1 2 3 4 5 6 7 8 9 10 总和
根部横截面积xi 0.04 0.06 0.04 0.08 0.08 0.05 0.05 0.07 0.07 0.06 0.6
材积量yi 0.25 0.40 0.22 0.54 0.51 0.34 0.36 0.46 0.42 0.40 3.9
并计算得
(1)估计该林区这种树木平均一棵的根部横截面积与平均一棵的材积量.
(2)求该林区这种树木的根部横截面积与材积量的样本相关系数.(精确到0.01)
(3)现测量了该林区所有这种树木的根部横截面积,并得到了所有这种树木的根部横截面积总和为186m2.已知树木的材积量与其根部横截面积近似成正比,利用以上数据估计该林区这种树木的总材积量.
附:相关系数
共享时间:2023-10-30 难度:1 相似度:2
236825. (2016•西安一中•高一下期末) 某地区2007年至2013年农村居民家庭人均纯收入y(单位:千元)的数据如表:
年份 2007 2008 2009 2010 2011 2012 2013
年份代号t 1 2 3 4 5 6 7
人均纯收入y 2.9 3.3 3.6 4.4 4.8 5.2 5.9
(Ⅰ)求y关于t的线性回归方程;
(Ⅱ)利用(Ⅰ)中的回归方程,分析2007年至2013年该地区农村居民家庭人均纯收入的变化情况,并预测该地区2015年农村居民家庭人均纯收入.
附:回归直线的斜率和截距的最小二乘估计公式分别为:
共享时间:2016-07-21 难度:1 相似度:2
237143. (2021•西工大附中•高二上期中) 某养殖场通过某装置对养殖车间进行恒温控制,为了解用电量ykwh)与气温x(℃)之间的关系,随机统计了某5天的用电量与当天气温,并制作了对照表:
气温(℃) 3 4 5 6 7
用电量(kWh 2.5 3 4 4.5 6
(1)请利用所给数据求用电量y与气温x的线性回归方程
(2)利用线性回归方程预测气温10℃时的用电量.
参考公式:
共享时间:2021-11-14 难度:1 相似度:2
237229. (2021•师大附中•高二下期中) 从2020年1月起,我国各地暴发了新型冠状病毒肺炎疫情,某市疫情监控机构统计了2月11日到15日每天新增病例的情况,统计数据如下表:
2x 11 12 13 14 15
新增病例人数y 25 26 29 28 31
其中2月11日这一天新增的25人中有男性15人,女性10人.
(1)为了调查病毒的某项特征,对2月11日这一天的25人按性别分层抽取5人,求男性、女性分别被抽取的人数.
(2)疫情监控机构从这五天的数据中抽取四天的数据作线性回归分析,若抽取的是12,13,14,15日这四天的数据,求y关于x的线性回归方程
(在线性回归方程中,.)
共享时间:2021-05-11 难度:1 相似度:2
237381. (2021•西北大附中•高二下期中) 2021年2月25日,在全国脱贫攻坚总结表彰大会上,习近平总书记庄严宣告“经过全党全国各族人民共同努力,在迎来中国共产党成立一百周年的重要时刻,我国脱贫攻坚战取得了全面胜利,……,完成了消除绝对贫困的艰巨任务.”从已经脱贫的家庭中随机抽取10个家庭,获得第i个家庭的月收入xi(单位:千元)与月储蓄yi(单位:千元)的数据资料,算得.(是求和符号)
(1)求家庭的月储蓄y对月收入x的线性回归方程
(2)若该居民区某家庭月收入为7千元,预测该家庭的月储蓄.
附.线性回归方程中,,其中为样本平均值,线性回归方程也可写为
共享时间:2021-05-29 难度:1 相似度:2
237531. (2020•西安中学•高一下期中) 如表数据为某地区某种农产品的年产量x(单位:吨)及对应销售价格y(单位:千元/吨).
x 1 2 3 4 5
y 70 65 55 38 22
(1)若yx有较强的线性相关关系,根据上表提供的数据,用最小二乘法求出y关于x的线性回归方程;
(2)若该农产品每吨的成本为13.1千元,假设该农产品可全部卖出,利用上问所求的回归方程,预测当年产量为多少吨时,年利润Z最大?
(参考公式:回归直线方程为,其中.)
共享时间:2020-05-13 难度:1 相似度:2

ds@dyw.com

2025-04-26

高中数学 | 高二下 | 解答题

  • 下载量
  • 浏览量
  • 收益额
  • 0
  • 15
  • 0
相同试题
试题下载
试题内容
调用试题名称
共享人
唐老师
试题题型
解答题
试题难度
试题题源
2020*西工大*期末
下载次数
168次
下载金币
5德优币(当前结余18德优币)
温馨提示
该试题下载至自主题库后,下载、备课永久免费!
试卷设置
试卷名称
省市校区
阶段科目
年份卷型
选择类型
已选考点
在线训练
视频讲解
温馨提示
视频讲解正在加载中、请等待!
温馨提示
对不起!这是别人共享的试题,需要下载到自主题库后,可将该试题添加到白板
视频解析购买
支付方式
德优币数
本次消耗0德优币
温馨提示

客服电话:400-816-0029,服务邮箱:610066832@qq.com

视频资源

试题找茬
纠错类型
纠错描述
温馨提示
共享试题、试卷经平台审核通过后方可展示,并永久享用用户下载分红权!