首页 | 客服 | 上传赚现
AI助手
德优题库AI助手

AI助手

搜题▪组卷

(1)

服务热线

400-816-0029

    自建题库,共享分红

德优题库QQ交流群

244962. (2023•西工大附中•八下期末) 解一元二次方程:
(1)x2-6x-1=0 (配方法);
(2)2x2+x-1=0 (公式法).
共享时间:2023-07-15 难度:5
[考点]
配方法,
[答案]
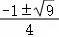
(1)
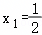
(2)x2=﹣1.
[解析]
解:(1)x2﹣6x﹣1=0,
x2﹣6x=1,
x2﹣6x+9=10,
x﹣3)2=10,
x﹣3=

(2)2x2+x﹣1=0,
a=2,b=1,c=﹣1,
b2﹣4ac=12﹣4×2×(﹣1)=9>0,
x
x2=﹣1.
[点评]
本题考查了"",属于"压轴题",熟悉题型是解题的关键。
转载声明:
本题解析属于发布者收集录入,如涉及版权请向平台申诉! !版权申诉
246790. (2023•交大附中•期末) 解方程:3x2-6x-5=0.
共享时间:2022-12-01 难度:5 相似度:2
181097. (2024•爱知中学•九下一月) 解方程:2x2﹣4x﹣1=0(用配方法)
共享时间:2024-04-24 难度:5 相似度:2
212179. (2025•滨河中学•四模) 解方程:3x2-6x+1=0.
共享时间:2025-04-25 难度:5 相似度:2
198990. (2022•交大附中•九上期中) 用配方法解方程:x2-6x-9=0.
共享时间:2022-11-26 难度:5 相似度:2
197983. (2024•交大附中•九上期中) 解方程:x2+4x-7=0.
共享时间:2024-11-10 难度:5 相似度:2
197714. (2024•西工大附中•九上期中) 解方程:3x2-6x=-1.
共享时间:2024-11-18 难度:5 相似度:2
196024. (2025•鄠邑区•九上期末) 解方程:x2+12x+27=0(用配方法).
共享时间:2025-02-28 难度:5 相似度:2
175615. (2024•理工大附中•九上一月) 解方程:x2-2x=2x+1.
共享时间:2024-10-13 难度:5 相似度:2
173332. (2024•爱知中学•九上一月) 解方程:x2-6x=3.
共享时间:2024-10-12 难度:5 相似度:2
共享时间:2024-10-28 难度:5 相似度:2
172908. (2024•高新一中•九上一月) 解方程:x2﹣4x+2=0.
共享时间:2024-10-17 难度:5 相似度:2
175400. (2024•七十中•九上一月) 解下列方程:
(1)(x-1)2=9
(2)x2+8x+15=0
(3)3x2+6x+2=0
(4)x(x-4)=8-2x
共享时间:2024-10-15 难度:5 相似度:1.5
192294. (2023•高新一中•九上一月) 按要求解下列关于x的一元二次方程.
(1)x2-6x-1=0(配方法);
(2)x2+3x+1=0(公式法).
共享时间:2023-10-28 难度:5 相似度:1.5
174142. (2024•铁一中学•九上二月) 解方程:
(1)x2﹣6x+9=7;
(2)(x﹣2)2=(2x+1)2
共享时间:2024-12-28 难度:5 相似度:1.5
173640. (2024•远东二中•九上一月) 用合适的方法解方程:
(1)y2-y-56=0;
(2)2x2-5x=7.
(3)4x2-8x+1=0(用配方法).
(4)4(5-2x)2=9(x+3)2
共享时间:2024-10-25 难度:5 相似度:1.5

csyn@dyw.com

2023-07-15

初中数学 | 八年级下 | 解答题

  • 下载量
  • 浏览量
  • 收益额
  • 0
  • 1
  • 0
相同试题
试题下载
试题内容
调用试题名称
共享人
唐老师
试题题型
解答题
试题难度
试题题源
2020*西工大*期末
下载次数
168次
下载金币
5德优币(当前结余18德优币)
温馨提示
该试题下载至自主题库后,下载、备课永久免费!
试卷设置
试卷名称
省市校区
阶段科目
年份卷型
选择类型
已选考点
在线训练
视频讲解
温馨提示
视频讲解正在加载中、请等待!
温馨提示
对不起!这是别人共享的试题,需要下载到自主题库后,可将该试题添加到白板
视频解析购买
支付方式
德优币数
本次消耗0德优币
温馨提示

客服电话:400-816-0029,服务邮箱:610066832@qq.com

视频资源

试题找茬
纠错类型
纠错描述
温馨提示
共享试题、试卷经平台审核通过后方可展示,并永久享用用户下载分红权!