首页 | 客服 | 上传赚现
AI助手
德优题库AI助手

AI助手

搜题▪组卷

(1)

服务热线

400-816-0029

    自建题库,共享分红

德优题库QQ交流群

237497. (2020•交大附中•高二上期中) 已知点A(1,1)、B(5,3),有向线段绕点A逆时针旋转的位置,则点C的坐标为(  )
A.(4,2)   
B..(﹣2,4)                 
C..(﹣5,1)     
D..(﹣1,5)
共享时间:2020-11-29 难度:1
[考点]
平面向量的坐标运算,
[答案]
D
[解析]
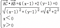
解:∵点A(1,1)、B(5,3),∴=(4,2),
Cxy),则=(x﹣1,y﹣1),
∵有向线段绕点A逆时针旋转的位置,

解得x=﹣1,y=5,
∴点C的坐标为(﹣1,5).
故选:D
[点评]
本题考查了"平面向量的坐标运算,",属于"常考题",熟悉题型是解题的关键。
转载声明:
本题解析属于发布者收集录入,如涉及版权请向平台申诉! !版权申诉
168739. (2021•西安中学•八模) 已知向量=(2,3),=(3,2),则||=(  )
A.       
B.2         
C.5      
D..50
共享时间:2021-06-14 难度:1 相似度:2
171513. (2024•高新一中•高一下期中) 已知点ABCD为平面内不同的四点,若,且,则=(  )
A..(4,﹣2)          
B..(﹣4,2)
C.(6,﹣3)
D.(﹣6,3)
共享时间:2024-05-26 难度:1 相似度:2
171722. (2024•西安八十三中•高二下期中) 已知向量,则与向量共线的向量的坐标可以是(  )
A.(﹣3,1)
B..(﹣8,3)  
C.(﹣9,4) 
D..(3,﹣2)
共享时间:2024-05-17 难度:1 相似度:2
231480. (2016•西工大附中•八模) 已知△ABC的三个顶点ABC的坐标分别为(0,1),(,0),(0,﹣2),O为坐标原点,动点P满足||=1,则|++|的最小值是(  )
A.﹣1    
B.﹣1  
C.+1   
D.+1
共享时间:2016-06-11 难度:1 相似度:2
233542. (2023•交大附中•高一下一月) 已知点A(1,2),B(﹣1,0),则=(  )
A.(2,0)
B..(2,2)      
C..(﹣2,﹣2)
D..(0,2)
共享时间:2023-04-30 难度:1 相似度:2
236309. (2017•长安区一中•高一上期末) 已知向量=(2,4),=(﹣1,1),则2=(  )
A.(5,7)   
B.(5,9)
C.(3,7)        
D..(3,9)
共享时间:2017-02-16 难度:1 相似度:2
170826. (2020•铁一中学•高一上期末) 已知向量=(cosα,3),=(sinα,﹣4),,则的值是(  )
A.      
B..﹣2      
C.      
D.
共享时间:2020-02-11 难度:2 相似度:1.5
231711. (2014•师大附中•八模) 已知向量=(2,3),=(﹣1,2),若共线,则m的值为(  )
A.        
B..2        
C.      
D..﹣2
共享时间:2014-06-12 难度:2 相似度:1.5
231734. (2014•师大附中•八模) 已知向量=(2,3),=(﹣1,2),若共线,则m的值为(  )
A.      
B..2        
C.    
D..﹣2
共享时间:2014-06-13 难度:2 相似度:1.5
233130. (2023•师大附中•高一下二月) 已知向量=(2,3),=(x,﹣6),且,则x=(  )
A..4       
B..﹣4      
C..9       
D..﹣9
共享时间:2023-06-16 难度:2 相似度:1.5
237706. (2019•西北大附中•高一下期中) 设向量=(1,0),=(),则下列结论中正确的是(  )
A.||=||                    
B.
C.                        
D.垂直
共享时间:2019-05-18 难度:3 相似度:1.33

dygzsxyn

2020-11-29

高中数学 | 高二上 | 选择题

  • 下载量
  • 浏览量
  • 收益额
  • 0
  • 3
  • 0
相同试题
试题下载
试题内容
调用试题名称
共享人
唐老师
试题题型
解答题
试题难度
试题题源
2020*西工大*期末
下载次数
168次
下载金币
5德优币(当前结余18德优币)
温馨提示
该试题下载至自主题库后,下载、备课永久免费!
试卷设置
试卷名称
省市校区
阶段科目
年份卷型
选择类型
已选考点
在线训练
视频讲解
温馨提示
视频讲解正在加载中、请等待!
温馨提示
对不起!这是别人共享的试题,需要下载到自主题库后,可将该试题添加到白板
视频解析购买
支付方式
德优币数
本次消耗0德优币
温馨提示

客服电话:400-816-0029,服务邮箱:610066832@qq.com

视频资源

试题找茬
纠错类型
纠错描述
温馨提示
共享试题、试卷经平台审核通过后方可展示,并永久享用用户下载分红权!