首页 | 客服 | 上传赚现
AI助手
德优题库AI助手

AI助手

搜题▪组卷

(1)

服务热线

400-816-0029

    自建题库,共享分红

德优题库QQ交流群

237256. (2021•西安中学•高二下期中) ,则abc的大小顺序是(  )
A.abc 
B.cab  
C.acb   
D.bca
共享时间:2021-05-12 难度:2
[考点]
不等式比较大小,对数值大小的比较,
[答案]
C
[解析]
解:
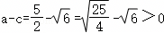
,∴,∴bc
,故ac
acb
故选:C
[点评]
本题考查了"不等式比较大小,对数值大小的比较,",属于"必考题",熟悉题型是解题的关键。
转载声明:
本题解析属于发布者收集录入,如涉及版权请向平台申诉! !版权申诉
170493. (2022•高新一中•高一上期末) 三个数a=0.42b=log20.3,c=20.6之间的大小关系是(  )
A.acb 
B.abc  
C.bac 
D.bca
共享时间:2022-02-10 难度:1 相似度:1.5
168605. (2021•西安中学•二模) alnb=π0.3ce﹣π,则(  )
A.acb 
B.cab  
C.abc   
D.bac
共享时间:2021-03-17 难度:1 相似度:1.5
169836. (2023•西安中学•高二下期末) 已知1<MaaNabPba,则MNP的大小关系正确的为(  )
A.NMP
B.PMN        
C.MPN   
D.PNM
共享时间:2023-07-04 难度:1 相似度:1.5
167951. (2023•师大附中•十一模) 已知a=log23,b=log34,,则(  )
A.cba 
B.bca  
C.cab   
D.acb
共享时间:2023-07-18 难度:1 相似度:1.5
168068. (2023•西工大附中•十三模) 已知实数abc满足lnaeb,则下列不等式中不可能成立的是(  )
A.abc
B.acb        
C.ca
D.cba
共享时间:2023-07-27 难度:1 相似度:1.5
169726. (2023•师大附中•高二下期末) 已知a=log23,b=log34,,则(  )
A.cba   
B.bca    
C.cab 
D.acb
共享时间:2023-07-03 难度:1 相似度:1.5
168420. (2021•西安中学•七模) 已知abc,则(  )
A.abc 
B.cba    
C.cab   
D.acb
共享时间:2021-06-06 难度:1 相似度:1.5
168538. (2021•西安中学•六模) 已知a=2blog37,c,则abc的大小关系(  )
A.acb   
B.bac  
C.cab
D.cba
共享时间:2021-05-15 难度:1 相似度:1.5
168653. (2021•西安中学•仿真) x∈(e﹣1,1),alnxc=2lnx,则abc的大小关系为(  )
A.cba   
B.bac    
C.abc 
D.bca
共享时间:2021-06-07 难度:1 相似度:1.5
167724. (2024•西安一中•四模) 已知aln5,b=log35,c=5﹣0.3,则(  )
A.bca   
B.cab    
C.cba   
D.bac
共享时间:2024-04-26 难度:1 相似度:1.5
168904. (2021•高陵一中•二模) alnb=π0.3ce﹣π,则(  )
A.acb   
B.cab    
C.abc   
D.bac
共享时间:2021-03-23 难度:1 相似度:1.5
168952. (2021•交大附中•四模) 已知xln3,y=3zlg,则(  )
A.yzx   
B.xyz    
C.zxy   
D.zyx
共享时间:2021-04-20 难度:1 相似度:1.5
168973. (2020•西安中学•一模) a=(0.5b=0.30.5c=log0.30.2,则abc的大小关系是(  )
A.abc
B.abc    
C.bac 
D.acb
共享时间:2020-03-02 难度:1 相似度:1.5
169064. (2020•西工大附中•三模) a=4b=logc=log43,则abc的大小关系是(  )
A.abc   
B.acb  
C.cab 
D.cba
共享时间:2020-04-06 难度:1 相似度:1.5
169135. (2020•西工大附中•二模) 已知a=40.7b=21.3,则(  )
A.abc   
B.cab    
C.cba 
D.bac
共享时间:2020-03-17 难度:1 相似度:1.5

dygzsxyn

2021-05-12

高中数学 | 高二下 | 选择题

  • 下载量
  • 浏览量
  • 收益额
  • 0
  • 3
  • 0
相同试题
试题下载
试题内容
调用试题名称
共享人
唐老师
试题题型
解答题
试题难度
试题题源
2020*西工大*期末
下载次数
168次
下载金币
5德优币(当前结余18德优币)
温馨提示
该试题下载至自主题库后,下载、备课永久免费!
试卷设置
试卷名称
省市校区
阶段科目
年份卷型
选择类型
已选考点
在线训练
视频讲解
温馨提示
视频讲解正在加载中、请等待!
温馨提示
对不起!这是别人共享的试题,需要下载到自主题库后,可将该试题添加到白板
视频解析购买
支付方式
德优币数
本次消耗0德优币
温馨提示

客服电话:400-816-0029,服务邮箱:610066832@qq.com

视频资源

试题找茬
纠错类型
纠错描述
温馨提示
共享试题、试卷经平台审核通过后方可展示,并永久享用用户下载分红权!