首页 | 客服 | 上传赚现
AI助手
德优题库AI助手

AI助手

搜题▪组卷

(1)

服务热线

400-816-0029

    自建题库,共享分红

德优题库QQ交流群

237173. (2021•高新一中•高二上期中) 函数的图象大致为(  )
A.          
B.                                       
C.          
D.
共享时间:2021-11-18 难度:1
[考点]
函数的图象与图象的变换,
[答案]
D
[解析]
解:由已知可得f(﹣x)=fx),
则函数在R上为偶函数,图象关于y轴对称,故BC错误,
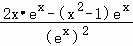
x>0时,fx)=,则f′(x)=
f′(x)>0,解得0<x<1+,令f′(x)<0,解得x>1+
则函数在(0,1+)单调递增,在(1+)上单调递减,故D正确,A错误,
故选:D
[点评]
本题考查了"函数的图象与图象的变换,",属于"基础题",熟悉题型是解题的关键。
转载声明:
本题解析属于发布者收集录入,如涉及版权请向平台申诉! !版权申诉
168769. (2021•西安中学•八模) 如图所示是一个无水游泳池,ABCDABCD′是一个四棱柱,游泳池是由一个长方体切掉一个三棱柱得到的.现在向泳池注水,如果进水速度是均匀的(单位时间内注入的水量不变),水面与AB的交点为M,则AM的高度h随时间t变化的图象可能是(  )

A.                
B.  
C.                
D.
共享时间:2021-06-19 难度:1 相似度:2
169488. (2024•铁一中学•高一上期末) 函数的图象大致为(  )
A.               
B.   
C.               
D.
共享时间:2024-02-13 难度:1 相似度:2
170737. (2020•西安中学•高二下期末) 函数fx)=的图象如图所示,则下列结论成立的是(  )

A.a>0,b>0,c<0             

C.a<0,b>0,c>0                                       

B.a<0,b>0,c<0             

D.a<0,b<0,c<0

共享时间:2020-07-09 难度:1 相似度:2
168789. (2021•西工大附中•十三模) 函数fx)=(﹣1)sinx图象的大致形状是(  )
A.            
B.                                       
C.              
D.
共享时间:2021-07-22 难度:1 相似度:2
168812. (2021•西工大附中•十二模) 函数fx)=(x3﹣3x)•的图象大致是(  )
A.              
B.  
C.             
D.
共享时间:2021-07-26 难度:1 相似度:2
168835. (2021•西工大附中•十二模) 函数fx)=(ex﹣1e1﹣x)sinx的部分图象是(  )

A.

C.

B.

D.

共享时间:2021-07-22 难度:1 相似度:2
168857. (2021•西工大附中•十模) 已知函数fx)=x2+2cosx,若f'(x)是fx)的导函数,则函数f'(x)的图象大致是(  )
A.              
B.                                       
C.               
D.
共享时间:2021-07-03 难度:1 相似度:2
169112. (2020•西工大附中•三模) 函数fx)=的部分图象大致为(  )
A.              
B. 
C.               
D.
共享时间:2020-04-03 难度:1 相似度:2
169158. (2020•高新一中•三模) 函数fx)=+x2﹣2|x|的大致图象为(  )
A.             
B.
C.             
D.
共享时间:2020-04-01 难度:1 相似度:2
169180. (2020•交大附中•三模) 函数fx)=(﹣1)sinx图象的大致形状是(  )
A.               
B.                                       
C.              
D.
共享时间:2020-04-15 难度:1 相似度:2
169512. (2024•铁一中学•高三上期末) 函数fx)=(x3﹣3x)•的图象大致是(  )
A.              
B.  
C.             
D.
共享时间:2024-02-27 难度:1 相似度:2
168719. (2021•西安中学•仿真) 已知函数fx)=(2x+2xln|x|的图象大致为(  )
A.            
B.
C.             
D.
共享时间:2021-06-10 难度:1 相似度:2
170677. (2021•铁一中学•高二上期末) 函数y=﹣x4+x2+2的图象大致为(  )

A.

C.

B. 

D.

共享时间:2021-02-27 难度:1 相似度:2
169639. (2024•交大附中•高一上期末) 如图是肖老师以恒定的速率夜跑时的离家距离(y)与跑步时间(x)之间的函数的图像,则肖老师跑步的路线可能是(  )

A.               
B.
C.                     
D.
共享时间:2024-02-04 难度:1 相似度:2
169705. (2023•师大附中•高一下期末) 下列图象中,符合函数的是(  )
A.          
B.                                       
C.        
D.
共享时间:2023-07-17 难度:1 相似度:2

dygzsxyn

2021-11-18

高中数学 | 高二上 | 选择题

  • 下载量
  • 浏览量
  • 收益额
  • 0
  • 3
  • 0
相同试题
试题下载
试题内容
调用试题名称
共享人
唐老师
试题题型
解答题
试题难度
试题题源
2020*西工大*期末
下载次数
168次
下载金币
5德优币(当前结余18德优币)
温馨提示
该试题下载至自主题库后,下载、备课永久免费!
试卷设置
试卷名称
省市校区
阶段科目
年份卷型
选择类型
已选考点
在线训练
视频讲解
温馨提示
视频讲解正在加载中、请等待!
温馨提示
对不起!这是别人共享的试题,需要下载到自主题库后,可将该试题添加到白板
视频解析购买
支付方式
德优币数
本次消耗0德优币
温馨提示

客服电话:400-816-0029,服务邮箱:610066832@qq.com

视频资源

试题找茬
纠错类型
纠错描述
温馨提示
共享试题、试卷经平台审核通过后方可展示,并永久享用用户下载分红权!