首页 | 客服 | 上传赚现
AI助手
德优题库AI助手

AI助手

搜题▪组卷

(1)

服务热线

400-816-0029

    自建题库,共享分红

德优题库QQ交流群

236899. (2016•长安区一中•高一下期末) 已知向量=(2,1),=(sinα﹣cosα,sinα+cosα),且,则cos2α+sin2α=(  )
A.        
B..﹣     
C.      
D..﹣
共享时间:2016-07-14 难度:1
[考点]
平面向量共线(平行)的坐标表示,
[答案]
B
[解析]
解:∵向量=(2,1),=(sinα﹣cosα,sinα+cosα),且
∴2(sinα+cosα)﹣(sinα﹣cosα)=0,
即sinα+3cosα=0,解得tanα=﹣3.
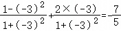
∴cos2α+sin2α=

故选:B
[点评]
本题考查了"平面向量共线(平行)的坐标表示,",属于"常考题",熟悉题型是解题的关键。
转载声明:
本题解析属于发布者收集录入,如涉及版权请向平台申诉! !版权申诉
171659. (2024•西安八十五中•高一下期中) 已知平面向量,若,则m=(  )
A.       
B.    
C.   
D.
共享时间:2024-05-10 难度:1 相似度:2
237854. (2017•师大附中•高一下期中) 已知向量=(1,m),=(m,2),若,则实数m等于(  )
A.     
B.       
C.
D.0
共享时间:2017-05-12 难度:1 相似度:2
168971. (2020•西安中学•一模) 已知向量,若,则锐角α为(  )
A.30°      
B.60°       
C.45°      
D..75°
共享时间:2020-03-02 难度:1 相似度:2
170172. (2023•高新一中•高一下期末) 已知向量共线,则=(  )
A.     
B.      
C.     
D.5
共享时间:2023-07-11 难度:1 相似度:2
233525. (2023•高新一中•高一下一月) 在平面直角坐标系xOy中,已知向量=(,﹣),=(sinx,cosx),x∈(0,π),若,则tanx的值(  )
A.4         
B..3        
C..﹣1     
D..0
共享时间:2023-04-12 难度:1 相似度:2
231205. (2016•西工大附中•十模) 已知向量=(3,1),=(1,3),=(k,﹣2),若()∥,则向量与向量的夹角的余弦值是(  )
A.      
B.         
C.     
D.
共享时间:2016-06-20 难度:2 相似度:1.5
233038. (2024•西安八十五中•高一下一月) 已知向量=(1,﹣2λ),若∥(),则实数λ的值为(  )
A.1         
B..0        
C.        
D.
共享时间:2024-04-18 难度:2 相似度:1.5
231929. (2025•西安八十五中•高一下二月) 已知向量=(1,﹣2λ),若∥(),则实数λ的值为(  )
A.1         
B.0         
C.        
D.
共享时间:2025-06-27 难度:2 相似度:1.5
231330. (2016•西工大附中•十模) 已知向量=(3,1),=(1,3),=(k,﹣2),若()∥,则向量与向量的夹角的余弦值是(  )
A.      
B.       
C.
D.
共享时间:2016-06-25 难度:2 相似度:1.5
237879. (2017•西安中学•高一下期中) ,且,则锐角α为(  )
A.       
B.        
C.       
D.
共享时间:2017-05-24 难度:2 相似度:1.5
172186. (2023•交大附中•高一下期中) 已知向量,若共线,则x的值为(  )
A.﹣2       
B..﹣1      
C..1       
D..2
共享时间:2023-05-18 难度:2 相似度:1.5
170600. (2021•长安区一中•高一上期末) 已知向量=(x,2),=(1,﹣1),且,则=(  )
A.4         
B..2        
C..0       
D..﹣4
共享时间:2021-02-11 难度:2 相似度:1.5
168041. (2023•长安区一中•二模) 已知向量,且,则sinαcosα=(  )
A..3       
B.﹣3        
C.    
D.
共享时间:2023-03-28 难度:2 相似度:1.5
167749. (2024•西安一中•三模) 已知平面向量,若,则cos2α=(  )
A.       
B..0        
C.        
D.
共享时间:2024-04-15 难度:2 相似度:1.5
167677. (2024•西安中学•五模) 已知向量=(1,﹣2λ),若∥(),则实数λ的值为(  )
A.1         
B.0         
C.        
D.
共享时间:2024-05-09 难度:2 相似度:1.5

dygzsxyn

2016-07-14

高中数学 | 高一下 | 选择题

  • 下载量
  • 浏览量
  • 收益额
  • 0
  • 3
  • 0
相同试题
试题下载
试题内容
调用试题名称
共享人
唐老师
试题题型
解答题
试题难度
试题题源
2020*西工大*期末
下载次数
168次
下载金币
5德优币(当前结余18德优币)
温馨提示
该试题下载至自主题库后,下载、备课永久免费!
试卷设置
试卷名称
省市校区
阶段科目
年份卷型
选择类型
已选考点
在线训练
视频讲解
温馨提示
视频讲解正在加载中、请等待!
温馨提示
对不起!这是别人共享的试题,需要下载到自主题库后,可将该试题添加到白板
视频解析购买
支付方式
德优币数
本次消耗0德优币
温馨提示

客服电话:400-816-0029,服务邮箱:610066832@qq.com

视频资源

试题找茬
纠错类型
纠错描述
温馨提示
共享试题、试卷经平台审核通过后方可展示,并永久享用用户下载分红权!