首页 | 客服 | 上传赚现
AI助手
德优题库AI助手

AI助手

搜题▪组卷

(1)

服务热线

400-816-0029

    自建题库,共享分红

德优题库QQ交流群

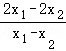
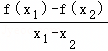
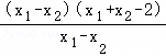
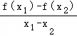
236755. (2015•师大附中•高二上期末) 函数fx)的导函数为f'(x),若对于定义域内任意x1x2x1x2),有恒成立,则称fx)为恒均变函数.给出下列函数:
fx)=2x+3;

fx)=x2﹣2x+3;
fx)=ex
fx)=lnx
其中为恒均变函数的序号是      (写出所有满足条件的函数的序号)
共享时间:2015-02-25 难度:1
[考点]
函数恒成立问题,
[答案]
见试题解答内容
[解析]
解:对于①fx)=2x+3,
=2,f′( )=2,
满足 f′( ),为恒均变函数.
对于②fx)=
=﹣f′( )=﹣
显然不满足 f′( ),故不是恒均变函数.
对于③fx)=x2﹣2x+3,
x1+x2﹣2
f′( )=2•﹣2=x1+x2﹣2,
故满足 f′( )为恒均变函数.
对于④fx)=ex
f′( )=
显然不满足f′( ),故不是恒均变函数.
对于⑤fx)=lnx
f′( )=
显然不满足 f′( ),故不是恒均变函数.
故答案为:①③.
[点评]
本题考查了"函数恒成立问题,",属于"基础题",熟悉题型是解题的关键。
转载声明:
本题解析属于发布者收集录入,如涉及版权请向平台申诉! !版权申诉
166365. (2024•长安区一中•高三上四月) 设函数fx)=(x+lnalnx+b),若fx)≥0,则ab的最小值为         
共享时间:2024-02-12 难度:1 相似度:2
166697. (2024•高新一中•高一上一月) abc恒成立,则m的取值范围是         
共享时间:2024-10-24 难度:1 相似度:2
237142. (2021•西工大附中•高二上期中) 已知函数,若对于任意的x∈N+fx)≥3恒成立,则a的取值范围是          
共享时间:2021-11-14 难度:1 相似度:2
237122. (2022•西工大附中•高二下期末) 已知函数fx)=x2﹣2xgx)=ax+2(a>0),若∀x1∈[﹣1,2],∃x2∈[﹣1,2],使得fx1)=gx2),则实数a的取值范围是            
共享时间:2022-07-01 难度:1 相似度:2
236772. (2016•西北大附中•高一下期末) 对任意实数x,不等式x2+2(1+kx+3+k>0恒成立,则k的取值范围是       
共享时间:2016-07-23 难度:1 相似度:2
233436. (2023•铁一中学•高一下二月) 已知函数fx)=x+1,gx)=2|x+2|+a若对任意x1∈[3,4],存在x2∈[﹣3,1],使fx1)≥gx2),则实数a的取值范围是        
共享时间:2023-06-22 难度:1 相似度:2
233343. (2022•西工大附中•高一上一月) 已知函数fx)=,若∀a∈[﹣2,2],∃x∈[,2]使不等式fx)≤m2﹣2am+成立,则实数m的取值范围为                
共享时间:2022-10-18 难度:1 相似度:2
233181. (2022•西安中学•高二上二月) 已知a∈R.设函数若关于x的不等式ffx))≥0恒成立,则a的取值范围为             
共享时间:2022-12-20 难度:1 相似度:2
232610. (2023•鄠邑二中•高三上三月) 不等式(a﹣2)x2+2(a﹣2)x﹣4<0对一切x∈R恒成立,则实数a的取值范围是      
共享时间:2023-01-21 难度:1 相似度:2
232590. (2023•鄠邑二中•高一上一月) x2+x+a≥2对x∈R恒成立,则实数a的取值范围为        
共享时间:2023-10-16 难度:1 相似度:2
171755. (2022•师大附中•高一上期中) 不等式对∀x∈R都成立,那么实数k的取值范围为           
共享时间:2022-11-26 难度:1 相似度:2
171543. (2023•高新一中•高一上期中) 已知fx)=x2﹣2x+3,,若对任意x1∈[0,3],都存在x2∈[﹣2,﹣1],使得fx1)≥gx2),则实数m的取值范围是             
共享时间:2023-11-13 难度:1 相似度:2
171082. (2024•碑林区•高一上期中) 已知定义域为[0,1]的函数fx)同时满足:
f(1)=1;
②对于任意的x∈[0,1],总有fx)≥0;
③若x1≥0,x2≥0,x1+x2≤1,则有fx1+x2)≥fx1)+fx2).
以下命题中正确的命题的序号为                (请写出所有正确的命题的序号).
(1)f(0)=0;
(2)函数yfx)的最大值为1;
(3)函数yfx)对一切实数x,都有fx)≤2x
共享时间:2024-11-15 难度:1 相似度:2
170231. (2023•西安三中•高二下期末) 已知函数,若对任意x1∈[1,2],存在x2∈[3,4]使得fx1)≥gx2)恒成立,则实数a的取值范围为       
共享时间:2023-07-07 难度:1 相似度:2
169895. (2023•长安区一中•高一上期末) 已知函数yfx)是定义在[﹣1,1]上的奇函数,且f(1)=1,若mn∈[﹣1,1],m+n≠0时,>0,不等式fx)≤t2﹣2at﹣2对所有的x∈[﹣1,1],a∈[﹣1,1]恒成立,则实数t的取值范围是           
共享时间:2023-02-03 难度:1 相似度:2

dygzsxyn

2015-02-25

高中数学 | 高二上 | 填空题

  • 下载量
  • 浏览量
  • 收益额
  • 0
  • 4
  • 0
相同试题
试题下载
试题内容
调用试题名称
共享人
唐老师
试题题型
解答题
试题难度
试题题源
2020*西工大*期末
下载次数
168次
下载金币
5德优币(当前结余18德优币)
温馨提示
该试题下载至自主题库后,下载、备课永久免费!
试卷设置
试卷名称
省市校区
阶段科目
年份卷型
选择类型
已选考点
在线训练
视频讲解
温馨提示
视频讲解正在加载中、请等待!
温馨提示
对不起!这是别人共享的试题,需要下载到自主题库后,可将该试题添加到白板
视频解析购买
支付方式
德优币数
本次消耗0德优币
温馨提示

客服电话:400-816-0029,服务邮箱:610066832@qq.com

视频资源

试题找茬
纠错类型
纠错描述
温馨提示
共享试题、试卷经平台审核通过后方可展示,并永久享用用户下载分红权!