首页 | 客服 | 上传赚现
AI助手
德优题库AI助手

AI助手

搜题▪组卷

(1)

服务热线

400-816-0029

    自建题库,共享分红

德优题库QQ交流群

236195. (2018•西安中学•高二下期末) 已知二项式(+n的展开式中各项的系数和为256.
(1)求n
(2)求展开式中的常数项.
共享时间:2018-07-08 难度:1
[考点]
二项展开式的通项与项的系数,
[答案]
见试题解答内容
[解析]
解:(1)由题意,得,即n=8;
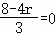
(2)该二项展开式的通项
,得r=2.
∴展开式中的常数项为
[点评]
本题考查了"二项展开式的通项与项的系数,",属于"基础题",熟悉题型是解题的关键。
转载声明:
本题解析属于发布者收集录入,如涉及版权请向平台申诉! !版权申诉
232109. (2024•西工大附中•高二下一月) 已知的展开式二项式系数和为64.
(1)求展开式中的常数项;
(2)求展开式中二项式系数最大的项.
共享时间:2024-04-28 难度:1 相似度:2
237827. (2018•铁一中学•高二下期中) 已知在的展开式中,第6项为常数项.
(1)求n的值;
(2)求展开式的所有项的系数之和;
(3)求展开式中所有的有理项.
共享时间:2018-05-28 难度:1 相似度:2

dygzsxyn

2018-07-08

高中数学 | 高二下 | 解答题

  • 下载量
  • 浏览量
  • 收益额
  • 0
  • 3
  • 0
相同试题
试题下载
试题内容
调用试题名称
共享人
唐老师
试题题型
解答题
试题难度
试题题源
2020*西工大*期末
下载次数
168次
下载金币
5德优币(当前结余18德优币)
温馨提示
该试题下载至自主题库后,下载、备课永久免费!
试卷设置
试卷名称
省市校区
阶段科目
年份卷型
选择类型
已选考点
在线训练
视频讲解
温馨提示
视频讲解正在加载中、请等待!
温馨提示
对不起!这是别人共享的试题,需要下载到自主题库后,可将该试题添加到白板
视频解析购买
支付方式
德优币数
本次消耗0德优币
温馨提示

客服电话:400-816-0029,服务邮箱:610066832@qq.com

视频资源

试题找茬
纠错类型
纠错描述
温馨提示
共享试题、试卷经平台审核通过后方可展示,并永久享用用户下载分红权!