首页 | 客服 | 上传赚现
AI助手
德优题库AI助手

AI助手

搜题▪组卷

(1)

服务热线

400-816-0029

    自建题库,共享分红

德优题库QQ交流群

235979. (2020•交大附中•高二上期末) 过抛物线Cx2=2pyp>0)的焦点F的直线交该抛物线于AB两点,若3|AF|=|BF|,O为坐标原点,则            
共享时间:2020-02-16 难度:1
[考点]
抛物线的焦点与准线,
[答案]

[解析]
解:如图:

AAE垂直准线,交AE于点E,过BBG垂直准线,交准线于点G,过AAD垂直BG,分别交y轴、BG于点CD
设|AF|=x,则|BF|=3xF(0,),准线方程为:y=﹣
根据抛物线性质得,|AE|=|AF|=x,|BG|=|BF|=3x,|AB|=4x
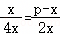
|BD|=3xx=2x,|FC|=px
在三角形ABD中,,即,解得x

故答案为:
[点评]
本题考查了"抛物线的焦点与准线,",属于"常考题",熟悉题型是解题的关键。
转载声明:
本题解析属于发布者收集录入,如涉及版权请向平台申诉! !版权申诉
考点说明
灰色代表去掉的考点,绿色代表未变动的考点,红色代表新增的考点
272968. (2022•西工大附中•高二下二月) 过抛物线Cy2=4x的焦点F,且斜率为的直线交C于点MMx轴上方),lC的准线,点Nl上且MNl,则M到直线NF的距离为                
共享时间:2022-06-29 难度:1 相似度:2
236509. (2016•西安一中•高二上期末) 已知直线l过抛物线C的焦点,且与C的对称轴垂直,lC交于AB两点,|AB|=10,PC的准线上一点,则△ABP的面积为     
共享时间:2016-03-01 难度:1 相似度:2
231286. (2016•西工大附中•五模) 过抛物线y2=4x的焦点F的直线交该抛物线于AB两点,O为坐标原点.若|AF|=3,则△AOB的面积为            
共享时间:2016-05-04 难度:1 相似度:2
232282. (2023•铁一中学•高三上四月) 抛物线绕其顶点顺时针旋转90°后得到抛物线C2,则C2的准线方程为    
共享时间:2023-02-28 难度:1 相似度:2
232460. (2023•南开中学•高二上二月) 已知抛物线y2=4x的焦点为F,点P在该抛物线上,且P的横坐标为4,则|PF|=      
共享时间:2023-12-28 难度:5 相似度:2
232568. (2023•黄河中学•高二上二月) 抛物线Cy2=36x的焦点为FP为抛物线C上一动点,M(4,9),则|PF|+|PM|的最小值为       
共享时间:2023-12-28 难度:1 相似度:2
235977. (2020•交大附中•高二上期末) 抛物线y=2x2的准线方程为              
共享时间:2020-02-16 难度:1 相似度:2
236103. (2018•西安中学•高二上期末) 过抛物线y2=4x的焦点作直线交抛物线于Ax1y1),Bx2y2),如果x1+x2=8,则|AB|=     
共享时间:2018-02-04 难度:1 相似度:2
236236. (2017•西安中学•高二上期末) 平面内动点P到点F(0,2)的距离和到直线ly=﹣2的距离相等,则动点P的轨迹方程为是       
共享时间:2017-02-20 难度:1 相似度:2
236303. (2017•西安一中•高二上期末) 已知抛物线y2=4x的焦点为F,准线为直线l,过抛物线上一点PPElE,若直线EF的倾斜角为150°,则|PF|=             .
共享时间:2017-02-19 难度:1 相似度:2
236862. (2015•西安一中•高二上期末) 若抛物线x2=2pyp>0)的焦点在圆x2+y2+2x﹣1=0上,则这条抛物线的准线方程为          
共享时间:2015-02-25 难度:1 相似度:2
231021. (2017•西安八十三中•二模) 已知抛物线yax2的准线方程是y=﹣,则实数a的值为     
共享时间:2017-03-24 难度:1 相似度:2
236880. (2015•西安一中•高二上期末) 抛物线y2=2pxp>0)上的动点Q到焦点的距离的最小值为1,则p     
共享时间:2015-02-12 难度:1 相似度:2
236925. (2016•长安区一中•高二下期末) 已知抛物线y2=2pxp>0)的准线与圆(x﹣2)2+y2=16相切,则p     
共享时间:2016-07-22 难度:1 相似度:2
237290. (2020•西安一中•高二上期中) 过抛物线y2=2pxp>0)的焦点作直线l交抛物线于点MN,交抛物线的准线于点P,若,则直线l的倾斜角为           .
共享时间:2020-11-15 难度:1 相似度:2

dygzsxyn

2020-02-16

高中数学 | 高二上 | 填空题

  • 下载量
  • 浏览量
  • 收益额
  • 0
  • 11
  • 0
相同试题
试题下载
试题内容
调用试题名称
共享人
唐老师
试题题型
解答题
试题难度
试题题源
2020*西工大*期末
下载次数
168次
下载金币
5德优币(当前结余18德优币)
温馨提示
该试题下载至自主题库后,下载、备课永久免费!
试卷设置
试卷名称
省市校区
阶段科目
年份卷型
选择类型
已选考点
在线训练
视频讲解
温馨提示
视频讲解正在加载中、请等待!
温馨提示
对不起!这是别人共享的试题,需要下载到自主题库后,可将该试题添加到白板
视频解析购买
支付方式
德优币数
本次消耗0德优币
温馨提示

客服电话:400-816-0029,服务邮箱:610066832@qq.com

视频资源

试题找茬
纠错类型
纠错描述
温馨提示
共享试题、试卷经平台审核通过后方可展示,并永久享用用户下载分红权!