首页 | 客服 | 上传赚现
AI助手
德优题库AI助手

AI助手

搜题▪组卷

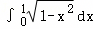
(1)

服务热线

400-816-0029

    自建题库,共享分红

德优题库QQ交流群

A.       
B.        
C.        
D.
共享时间:2020-02-05 难度:1
[考点]
定积分、微积分基本定理,
[答案]
A
[解析]
解:表示的几何意义是:
以(0,0)为圆心,1为半径第一象限内圆弧与坐标轴围成的面积
π×1=
故选:A
[点评]
本题考查了"定积分、微积分基本定理,",属于"基础题",熟悉题型是解题的关键。
转载声明:
本题解析属于发布者收集录入,如涉及版权请向平台申诉! !版权申诉
A.2π       
B..8        
C.
D.
共享时间:2022-11-21 难度:1 相似度:2
230992. (2017•高新一中•一模) 的值为(  )
A.        
B.       
C.        
D.
共享时间:2017-03-15 难度:1 相似度:2
236181. (2018•西安中学•高二下期末) ex+2xdx等于(  )
A.1         
B.e﹣1     
C.e       
D.e+1
共享时间:2018-07-08 难度:1 相似度:2
236961. (2015•高新一中•高二上期末) 曲线yx2﹣1与直线y=2x+2轴围成的封闭部分的面积为(  )
A.       
B.      
C.     
D.
共享时间:2015-02-23 难度:1 相似度:2
237340. (2021•西工大附中•高二下期中) 已知函数,则=(  )

A..π+2

C..π﹣2         

B.  

D.

共享时间:2021-05-16 难度:1 相似度:2
237813. (2018•铁一中学•高二下期中) 已知函数fx)=,则fxdx=(  )

A.      

C..1        

B..2       

D.

共享时间:2018-05-28 难度:1 相似度:2
237818. (2018•铁一中学•高二下期中) 图中,阴影部分是由直线yx﹣4和抛物线y2=2x所围成,则其面积是(  )

A..16      
B..18       
C..20      
D..22
共享时间:2018-05-28 难度:1 相似度:2
233484. (2023•铁一中学•高二下二月) 二项式(ax3的展开式的第二项的系数为﹣,则x2dx的值为(  )
A.3         
B.         
C.3或    
D..3或﹣
共享时间:2023-06-26 难度:2 相似度:1.5
236188. (2018•西安中学•高二下期末) 如图所示,在一个边长为1的正方形AOBC内,曲线yx2和曲线y围成一个叶形图(阴影部分),向正方形AOBC内随机投一点(该点落在正方形AOBC内任何一点是等可能的),则所投的点落在叶形图内部的概率是(  )

A.        
B.       
C.      
D.
共享时间:2018-07-08 难度:2 相似度:1.5
237254. (2021•西安中学•高二下期中) 如图所示,曲线yx2和曲线y围成一个叶形图(阴影部分),其面积是(  )

A..1       
B.         
C.        
D.
共享时间:2021-05-12 难度:2 相似度:1.5

dygzsxyn

2020-02-05

高中数学 | 高二上 | 选择题

  • 下载量
  • 浏览量
  • 收益额
  • 0
  • 3
  • 0
相同试题
试题下载
试题内容
调用试题名称
共享人
唐老师
试题题型
解答题
试题难度
试题题源
2020*西工大*期末
下载次数
168次
下载金币
5德优币(当前结余18德优币)
温馨提示
该试题下载至自主题库后,下载、备课永久免费!
试卷设置
试卷名称
省市校区
阶段科目
年份卷型
选择类型
已选考点
在线训练
视频讲解
温馨提示
视频讲解正在加载中、请等待!
温馨提示
对不起!这是别人共享的试题,需要下载到自主题库后,可将该试题添加到白板
视频解析购买
支付方式
德优币数
本次消耗0德优币
温馨提示

客服电话:400-816-0029,服务邮箱:610066832@qq.com

视频资源

试题找茬
纠错类型
纠错描述
温馨提示
共享试题、试卷经平台审核通过后方可展示,并永久享用用户下载分红权!